Electrodeposition of ordered silicon fibers from the KI–KF–KCl–K2SiF6 melt for lithium-ion power sources
- Authors: Leonova А.М.1, Leonova N.М.1, Minchenko L.М.1, Suzdaltsev А.V.2,3
-
Affiliations:
- Ural Federal University
- Уральский федеральный университет
- Институт высокотемпературной электрохимии УрО РАН
- Issue: No 5 (2024)
- Pages: 554-564
- Section: Articles
- URL: https://bakhtiniada.ru/0235-0106/article/view/271533
- DOI: https://doi.org/10.31857/S0235010624050098
- ID: 271533
Cite item
Full Text
Abstract
The possibility of using silicon-based anodes in lithium-ion power sources is actively investigated due to the increased lithium capacitance of silicon. This work reports the preparation of submicron silicon fibers on glassy carbon in KI–KF–KCl–K2SiF6 melt at 720°C. For this purpose, the parameters of silicon electrodeposition in the form of fibers were determined by cyclic voltammetry, experimental batches of ordered silicon fibers with an average diameter from 0.1 to 0.3 μm were obtained under galvanostatic electrolysis conditions, and using the obtained silicon fibers, anode half-cells of lithium-ion current sources were fabricated and their electrochemical behavior and behavior under multiple lithiation and delithiation were studied. By means of voltammetric studies, it is observed that charging and discharging of the anode based on the obtained silicon fibers occurs at potentials from 0.2 to 0.05 V and from 0.2 to 0.5 V, respectively. Cycling of electrodeposited silicon fibers in anode half-cells of lithium-ion power source was carried out. Depending on the charge current, the discharge capacity ranged from 200 to 500 mAh/g at Coulomb efficiency of 98–100 %. Also, multiple cycling of the sample of lithium-ion power source with a lithium counter electrode was performed. In the course of 800 cycling with current 0.5C, the discharge capacity of the sample decreased from 165 to 65 mAh/g. Scanning electron microscopy shows the volumetric expansion of the of silicon fibers during cycling.
Keywords
Full Text
ВВЕДЕНИЕ
Для повышения доли использования возобновляемой энергии в мировой энергетике необходимо постоянно совершенствовать материалы и устройства для преобразования и накопления энергии [1]. Одним из направлений в рамках данной задачи является повышение плотности энергии в литий-ионных источниках тока. Это может быть достигнуто при использовании анодных материалов с емкостью, превышаю щей емкость графита. Перспективными материалами с увеличенной емкостью выступают кремний [2, 3], германий [4], оксиды переходных металлов [5], а также различные композиции из вышеперечисленных материалов с графитом. Несмотря на высокую теоретическую емкость кремния, работоспособность его при литировании и делитировании может быть обеспечена лишь при использовании наноразмерных и субмикронных частиц или сплошных пленок [6].
Традиционно получение кремния указанных размеров предполагает ряд процессов – восстановление кварца до кремния металлургической чистоты, хлорирование и гидрохлорирование металлургического кремния, восстановление хлорсиланов до кристаллов кремния [7], зонную перекристаллизацию кремния и получение анодов на основе кремния методами плазменного или лазерного напыления [8]. Альтернативой выступают методы электроосаждения кремния из расплавленных солей [9–12], позволяющие при сокращении количества стадий и энергозатрат управляемо получать кремний необходимой морфологии и размеров.
Одними из наиболее перспективных и часто используемых электролитов для получения кремния являются расплавы на основе водорастворимой системы KF–KCl с добавками K2SiF6, SiO2 и SiCl4 [13–15] и расплавы на основе системы CaCl2–CaO [16, 17]. Для расплавов KF–KCl–K2SiF6 к настоящему времени хорошо изучена кинетика катодного процесса в зависимости от материала подложки и условий поляризации, получены экспериментальные партии осадков кремния в зависимости от параметров электролиза и предложена диаграмма [12], характеризующая влияние этих параметров на морфологию осадков кремния. Кремний различной морфологии получен и при электролизе расплавов CaCl2–CaO, хотя кинетика и механизм синтеза кремния до конца не изучен.
Регулирование морфологией осадков кремния может осуществляться в том числе посредством введения в электролит примесей или модифицирующих добавок, оказывающих влияние на физико-химические свойства электролита и параметры электрохимического зарождения. В первую очередь это касается изменения электропроводности и поверхностного натяжения расплава. Ранее [18] для этого было предложено использовать галогенидные расплавы на основе иодидов. В результате исследований была показана возможность получения тонких пленок кремния и их микролегирования [19].
В настоящей работе показана возможность использования расплава KI–KF–KCl–K2SiF6 для субмикронных волокон кремния с целью их применения в аноде литий-ионного источника тока.
ЭКСПЕРИМЕНТ
Для электрохимических измерений и электроосаждения использовали соли квалификации ХЧ (ОАО «Вектон»), которые предварительно очищали от примесей путем гидрофторирования (KF, K2SiF6), йодирования (KI), а также предварительного потенциостатического очистного электролиза [18]. Электроосаждение кремния проводили в герметичной реторте из нержавеющей стали [9], заполненной электрохимически очищенным аргоном. Контейнером для расплава служил стеклоуглеродный тигель, помещенный в графитовый стакан. В качестве рабочего электрода использовали графитовый цилиндр, противоэлектродом и квазиэлектродом сравнения служил монокристаллический кремний. Реторту размещали в шахтной печи сопротивления и нагревали до рабочей температуры 720°С. Температуру расплава задавали при помощи термопары S-типа и термопарного модуля USB-TC01 (National Instruments, USA). По окончании электролиза осадки отмывали от остатков электролита в водном растворе HF и сушили в вакуумном шкафу при 200°С.
Морфологию и элементный состав электроосажденных образцов кремния до и после литирования исследовали с помощью сканирующего электронного микроскопа Tescan Vega 4 (Tescan, Чехия) с детектором Xplore 30 EDS (Oxford, Великобритания).
Электрохимические характеристики полученных кремниевых волокон исследовали в 3-электродном полуэлементе [20], где в качестве рабочего электрода выступала анодная масса с волокнами кремния на подложке из нержавеющей стали, а в качестве противоэлектрода и электрода сравнения – пластинки из литиевой фольги. Для изготовления анодной массы на основе волокон кремния использовали электропроводящую добавку 10 мас. % графита и 10 мас. % связующего (раствор карбоксиметилцеллюлозы в дистиллированной воде). После смешения компонентов анодную массу сушили в сушильном вакуумном шкафу. Изготовление анодных полуэлементов ЛИИТ осуществляли в герметичном перчаточном боксе с атмосферой высокочистого аргона (O2, H2O < 0.1 ppm). Все электроды были разделены двумя слоями полипропиленового сепаратора и плотно помещены в ячейку. Ячейка была заполнена 1 мл электролита-1 М LiPF6 в смеси карбонатов EC/DMC/DEC (1:1:1 по объему). Электрохимические измерения и циклические эксперименты проводились с использованием потенциостата Zive-SP2 (WonATech, Южная Корея) и потенциостата-гальваностата P-20X8 (Electrochemical Instruments, Россия).
РЕЗУЛЬТАТЫ И ОБСУЖДЕНИЕ
Вольтамперометрия в расплаве KI–KF–KCl–K2SiF6. Для определения параметров (потенциал, ток) электроосаждения кремния на стеклоуглероде в расплаве KI–KF–KCl–K2SiF6 методом циклической вольтамперометрии была получена вольтамперная зависимость, которая приведена на Рис. 1. Исследуемый процесс начинается при потенциалах отрицательнее 0 В относительно кремниевого квазиэлектрода сравнения с формированием единственного катодного пика электровосстановления ионов кремния при потенциале около –0.17 В и катодной плотности тока 0.08 А/см2. Дальнейшее смещение потенциала стеклоуглерода приводит к выделению калия и разрушению электрода. При развертке потенциала рабочего электрода в анодную область также формируется единственный пик растворения электроосажденного кремния при потенциале 0.08 В и анодной плотности тока 0.08 А/см2. Форма вольтамперной зависимости указывает на протекание исследуемого процесса в одну 4-х электронную стадию в условиях эксперимента. Подобные зависимости были получены в галогенидных расплавах других составов [6, 9, 11, 18]. На основании электрохимических измерений для электроосаждения кремния в виде осадков с развитой поверхностью была выбрана катодная плотность тока 0.05 А/см2.
Рис. 1. Типичная вольтамперограмма, полученная на стеклоуглероде в расплаве (мол. %) 75KI–16KF–8KCl–1K2SiF6 при температуре 720°С и скорости развертки потенциала 0.02 В/с.
Морфология полученного кремния. Электроосаждение кремния из расплава KI–KF–KCl–K2SiF6 на стеклоуглероде вели при катодной плотности тока 0.05 А/см2. Потенциал катода при этом составлял от –0.1 до –0.2 В относительно потенциала кремниевого квазиэлектрода сравнения. Микрофотографии полученного кремния после отмывки в растворе HF приведены на Рис. 2. Полученные осадки представлены волокнами упорядоченной формы со средним диаметром от 0.1 до 0.3 мкм и длиной от 5 до 20 мкм. Такая морфология обеспечивает высокую удельную поверхность для интеркаляции лития.
Рис. 2. Микрофотографии осадков кремния, полученных при электролизе расплава KI–KF–KCl–K2SiF6 на стеклоуглероде при катодной плотности тока 0.05 А/см2 и температуре 720°С в течение 60 мин.
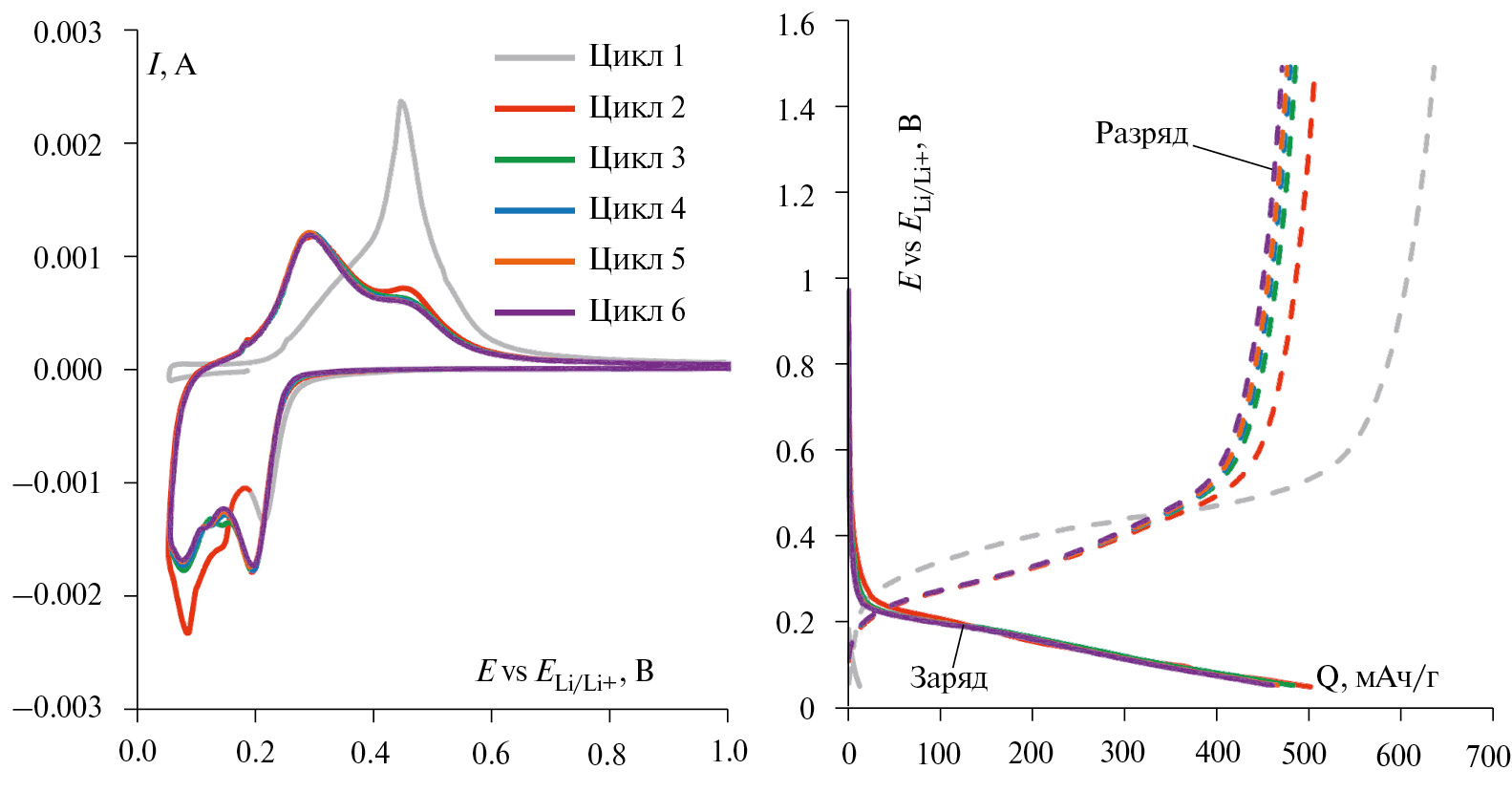
Электрохимическое поведение волокон кремния. На Рис. 3a приведены циклические вольтамперные зависимости для первых шести циклов заряда-разряда. К третьему циклу наблюдается воспроизводимость получаемых зависимостей. На них в катодной области можно отметить пики в области потенциалов отрицательнее 0.2 В, связанные с разрядом ионов лития и образованием соединений типа LixSiy переменного состава [6]. Для предотвращения выделения элементарного лития развертку осуществляли до потенциала 0.05 В относительно потенциала литиевого электрода. В анодной области формируется два четки пика при потенциалах около 0.3 и 0.48 В, связанные с окислением лития из полученных соединений LixSiy. На Рис. 3б приведены соответствующие первым 6 циклам зарядно-разрядные зависимости в координатах потенциал-емкость. Согласно приведенным данным, заряд протекает в области потенциалов от 0.2 до 0.05 В, в то время как разряд – при потенциале от 0.2 до 0.5 В. Это указывает на емкостной характер реакции восстановления лития с его последующей интеркаляцией в объем кремния.
Рис. 3. Циклические вольтамперограммы (а) и зарядно-разрядные зависимости (б), характеризующие поведение анода на основе кремниевых волокон в первые 6 циклов литирования/делитирования.
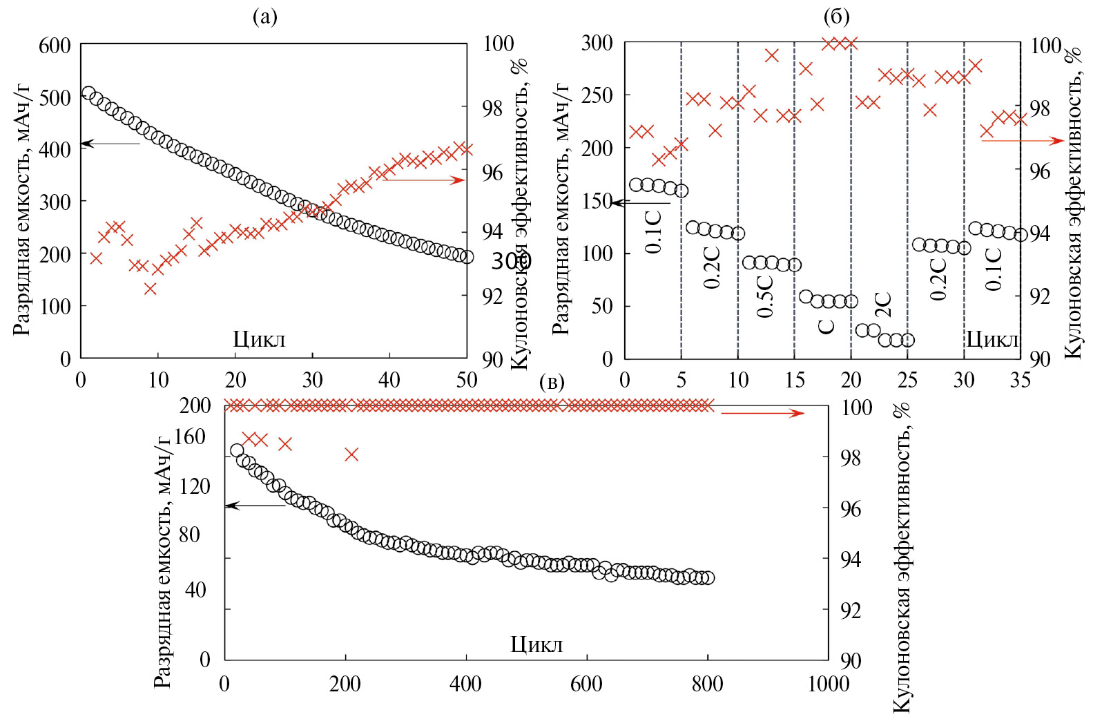
Зависимости на Рис. 4 характеризуют электрохимическое поведение анода на основе полученных волокон кремния при литировании током 0.1С и разными токами. В течение первых 50-и циклов разрядная емкость снизилась с 520 до 200 мАч/г, после чего стабилизировалась на значении 200–220 мАч/г. На Рис. 4б приведены значения разрядной емкости анода при его заряде токами от 0.1С до 2С, которые указывают на возможность заряда исследуемых образцов при высоком токе. Также несмотря на относительно низкие значения разрядной емкости отмечается работоспособность изготовленного анодного полуэлемента в ходе многократного циклирования.
Рис. 4. Изменение разрядной емкости и Кулоновской эффективности работы анода на основе кремниевых волокон при литировании/делитировании током 0.1С (а); разными токами заряда (б); при многократном литировании током 0.5С (в).
Для определения воспроизводимости результатов была проведена серия повторных измерений разрядной емкости анодного полуэлемента ЛИИТ с новой партией электроосажденных волокон кремния при литировании одним током 0.5С. На Рис. 4в приведены зависимости изменения разрядной емкости и Кулоновской эффективности в ходе многократного циклирования. Всего было выполнено 800 циклов заряда/разряда, в ходе которых емкость снизилась с 165 до 65 мАч/г при Кулоновской эффективности 98–100%. Снижение емкости во время циклирования объясняется расширением объема кремния, образованием на поверхности электрода межфазного слоя и нарушением электрического контакта между соседними частицами кремния [21].
Морфология кремния после литирования. На Рис. 5 приведены микрофотографии кремниевого материала после многократного циклирования. Кремний на них представлен агломерированными дендритами со средним диаметром от 0.3 до 0.5 мкм, что подтверждает вышеприведенное предположение об объемном расширении волокон кремния.
Рис. 5. Микрофотографии анодного материала кремния после литирирования.
Полученные результаты сравнимы с результатами исследований по исследованию электрохимического поведения электроосажденных кремниевых волокон из других расплавов [2, 6], при этом относительно низкая емкость и ее снижение в ходе циклирования могут указывать на деградацию жидкого электролита или границы токоподвод-анод. В связи с этим поведение полученных волокон кремния должно быть изучено с другими электролитами и конструкционными материалами.
ЗАКЛЮЧЕНИЕ
В работе методом циклической вольтамперометрии изучен катодный процесс на стеклоуглероде в расплаве (мол. %) 75KI–16KF–8KCl–1K2SiF6 при температуре 720°С. Показано, что исследуемый процесс протекает в одну стадию: выделение кремния имеет место в области потенциалов от 0 до –0.3 В относительно потенциала кремниевого квазиэлектрода сравнения. На основании электрохимических измерений выбраны параметры электроосаждения кремния в виде осадков с развитой поверхностью: катодная плотность тока 0.05 А/см2 с контролем потенциала катода.
В ходе гальваностатического электролиза расплава KI–KF–KCl–K2SiF6 были получены осадки кремния в виде волокон упорядоченной формы со сррискедним диаметром от 0.1 до 0.3 мкм и длиной от 5 до 20 мкм.
Из полученных волокон кремния были изготовлен образец анодного полуэлемента литий-ионного источника с целью изучения электрохимического поведения полученного кремния при литировании/делитировании. Показано, что заряд анода на основе полученных волокон кремния имеет место при потенциалах от 0.2 до 0.05 В относительно потенциала лития, что обусловлено образованием соединений лития с кремнием. Соответственно, разряд анода происходит при потенциалах от 0.2 до 0.5 В. Показано изменение разрядной емкости с 520 до 200 мАч/г в течение первых 50 циклов заряда/разряда при токе заряда 0.1С и кулоновской эффективности 98–100%. Также отмечена возможность заряда образцов анодов на основе кремния при токах заряда до 2С; разрядная емкость при этом составила от 25 до 250 мАч/г.
Сделан вывод о необходимости проведения дальнейших исследований при использовании альтернативных материалов электролита и токоподвода к аноду.
Работа выполнена в рамках соглашения № 075-03-2024-009/1 от 15.02.2024 (номер темы в ЕГИСУ НИОКТР – FEUZ-2020-0037).
About the authors
А. М. Leonova
Ural Federal University
Email: a.v.suzdaltsev@urfu.ru
Russian Federation, Yekaterinburg
N. М. Leonova
Ural Federal University
Email: a.v.suzdaltsev@urfu.ru
Russian Federation, Yekaterinburg
L. М. Minchenko
Ural Federal University
Email: a.v.suzdaltsev@urfu.ru
Russian Federation, Yekaterinburg
А. V. Suzdaltsev
Уральский федеральный университет; Институт высокотемпературной электрохимии УрО РАН
Author for correspondence.
Email: a.v.suzdaltsev@urfu.ru
Russian Federation, Екатеринбург; Екатеринбург
References
- Li S.A., Ryzhikova Ye.V., Skundin A.M. Problemy optimizatsii sootnosheniya aktivnykh mass v elektrodakh litiyionnykh akkumulyatorov [Problems of optimizing the ratio of active masses in the electrodes of lithium-ion batteries] // Elektrokhimicheskaya energetika 2020. 20. № 2. Р. 68–72. [In Russian].
- Suzdal’tsev A.V., Gevel T.A., Parasotchenko Yu.A., Pavlenko O.B. Kratkiy obzor rezul’tatov ispol’zovaniya elektroosazhdennogo kremniya dlya ustroystv preobrazovaniya i nakopleniya energii [Brief review of the results of using electrodeposited silicon for energy conversion and storage devices] // Rasplavy. 2023. № 1. P. 99–108. [In Russian].
- Chemezov O.V., Isakov A.V., Apisarov A.P., Brezhestovskiy M.S., Bushkova O.V., Batalov N.N., Zaykov Yu.P., Shashkin A.P. Elektroliticheskoye polucheniye nanovolokon kremniya iz rasplava KCl–KF–K2SiF6–SiO2 dlya kompozitsionnykh anodov litiy-ionnykh akkumulyatorov [Electrolytic production of silicon nanofibers from KCl–KF–K2SiF6–SiO2 melt for composite anodes of lithium-ion batteries] // Elektrokhimicheskaya energetika. 2013. 13. № 4. P. 201–204. [In Russian].
- Kulova T.L. Novyye elektrodnyye materialy dlya litiy-ionnykh akkumulyatorov (Obzor) [New electrode materials for lithium-ion batteries (Review)] // Elektrokhimiya. 2013. 49. № 1. P. 1–25. [In Russian].
- Zhuravlev V.D., Shchekoldin S.I., Andryushin S.Ye., Sherstobitova Ye.A., Nefedova K.V., Bushkova O.V. Elektrokhimicheskiye kharakteristiki i fazovyy sostav litiymargantsevoy shpineli s izbytkom litiya Li1+xMn2O4 [Electrochemical characteristics and phase composition of lithium-manganese spinel with excess lithium Li1+xMn2O4] // Elektrokhimicheskaya energetika. 2020. 20. № 3. P. 157–170. [In Russian].
- Gevel T., Zhuk S., Leonova N., Leonova A., Trofimov A., Suzdaltsev A., Zaikov Yu. Electrochemical synthesis of nano-sized silicon from KCl–K2SiF6 melts for powerful lithium-ion batteries // Applied Sciences. 2021. 11. 10927.
- Kaybichev A.V., Kaybichev I.A. Osobennosti ochistki tekhnicheskogo kremniya pri plavke v gelii s vozdeystviyem na rasplav elektricheskogo polya na molibdenovom i grafitovom elektrode [Peculiarities of Purification of Technical Silicon during Melting in Helium with the Effect of an Electric Field on the Melt on a Molybdenum and Graphite Electrode] // Rasplavy. 2019. № 3. P. 258–264. [In Russian].
- Dian J., Macek A., Nižňanský D., Němec I., Vrkoslav V., Chvojka T., Jelínek I. SEM and HRTEM study of porous silicon – relationship between fabrication, morphology and optical properties // Applied Surface Science 2004. 238. Р.169–174.
- Zaykov Yu.P., Zhuk S.I., Isakov A.V., Grishenkova O.V., Isayev V.A. Elektroosazhdeniye kremniya iz rasplava KF–KCl–KI–K2SiF6 [Electrodeposition of silicon from KF–KCl–KI–K2SiF6 melt] // Rasplavy. 2016. № 5. P. 441–454. [In Russian].
- Kuznetsova S.V., Dolmatov B.C., Kuznetsov S.A. Vol’tamperometricheskoye issledovaniye elektrovosstanovleniya kompleksov kremniya v khloridno-ftoridnom rasplave [Voltammetric study of the electroreduction of silicon complexes in a chloride-fluoride melt] // Elektrokhimiya 2009. 45. P. 797–803. [In Russian].
- Gevel T.A., Zhuk S.I., Ustinova Yu.A., Suzdal’tsev A.V., Zaykov Yu.P. Elektrovydeleniye kremniya iz rasplava KCl–K2SiF6 [Electrolysis of silicon from KCl–K2SiF6 melt] // Rasplavy. 2021. № 2. P. 187–198. [In Russian].
- Yasuda K., Kato T., Norikawa Yu., Nohira T. Silicon electrodeposition in a water-soluble KF–KCl molten salt: Properties of Si films on graphite substrates // J. Electrochem. Soc. 2021. 168. 112502.
- Zaykov Y.P., Zhuk S.I., Isakov A.V., Grishenkova O.V., Isaev V.A. Electrochemical nucleation and growth of silicon in the KF–KCl–K2SiF6 melt // J. Solid State Electrochem. 2015. 19. Р. 1341–1345.
- Gevel T., Zhuk S., Suzdaltsev A.V., Zaikov Yu.P. Study into the possibility of silicon electrodeposition from a low-fluoride KCl–K2SiF6 melt // Ionics 2022. 28. Р. 3537–3545.
- Dong Y., Slade T., Stolt M.J., Li L., Girard S.N., Mai L., Jin S. Low-temperature molten-salt production of silicon nanowires by the electrochemical reduction of CaSiO3 // Angew. Chem. 2017. 129. Р. 14645–14649.
- Juzeliunas E., Fray D.J. Silicon electrochemistry in molten salts. Chemical Reviews 2020. 120. Р. 1690–1709.
- Laptev M.V., Isakov A.V., Grishenkova O.V., Vorob’ev A.S., Khudorozhkova A.O., Akashev L.A., Zaikov Y.P. Electrodeposition of thin silicon films from the KF–KCl–KI–K2SiF6 melt // J. Electrochem. Soc. 2020. 167. 042506,
- Laptev M.V., Khudorozhkova A.O., Isakov A.V., Grishenkova O.V., Zhuk S.I., Zaikov Y.P. Electrodeposition of aluminum-doped thin silicon films from a KF–KCl–KI–K2SiF6–AlF3 melt // J. Serb. Chem. Soc. 2021. 86. Р. 1075–1087.
- Leonova N.M., Leonova A.M., Bashirov O.A., Lebedev A.S., Trofimov A.A., Suzdal’tsev A.V. Anody na osnove S/SiC dlya litiy-ionnykh istochnikov toka [Anodes based on C/SiC for lithium-ion power sources] // Elektrokhimicheskaya energetika 2023. 23. № 1. P. 41–50. [In Russian].
- Casimir A., Zhang H., Ogoke O., Amine J., C., Lu J., Wu G. Silicon-based anodes for lithium-ion batteries: Effectiveness of materials synthesis and electrode preparation // Nano Energy. 2016. 21. Р. 359–376.
Supplementary files







