Ab initio исследование структуры расплавленных солевых систем MX–NdX3 (M – Na, K, Rb, Cs; X – F, Cl)
- Авторы: Стулов Ю.В.1, Антипов С.В.1, Кузнецов С.А.1
-
Учреждения:
- Институт химии и технологии редких элементов и минерального сырья им. И.В. Тананаева – обособленное подразделение Федерального государственного бюджетного учреждения науки Федерального исследовательского центра “Кольский научный центр РАН”
- Выпуск: № 6 (2023)
- Страницы: 590-601
- Раздел: Статьи
- URL: https://bakhtiniada.ru/0235-0106/article/view/162323
- DOI: https://doi.org/10.31857/S0235010623060099
- EDN: https://elibrary.ru/YZPSXF
- ID: 162323
Цитировать
Полный текст
Аннотация
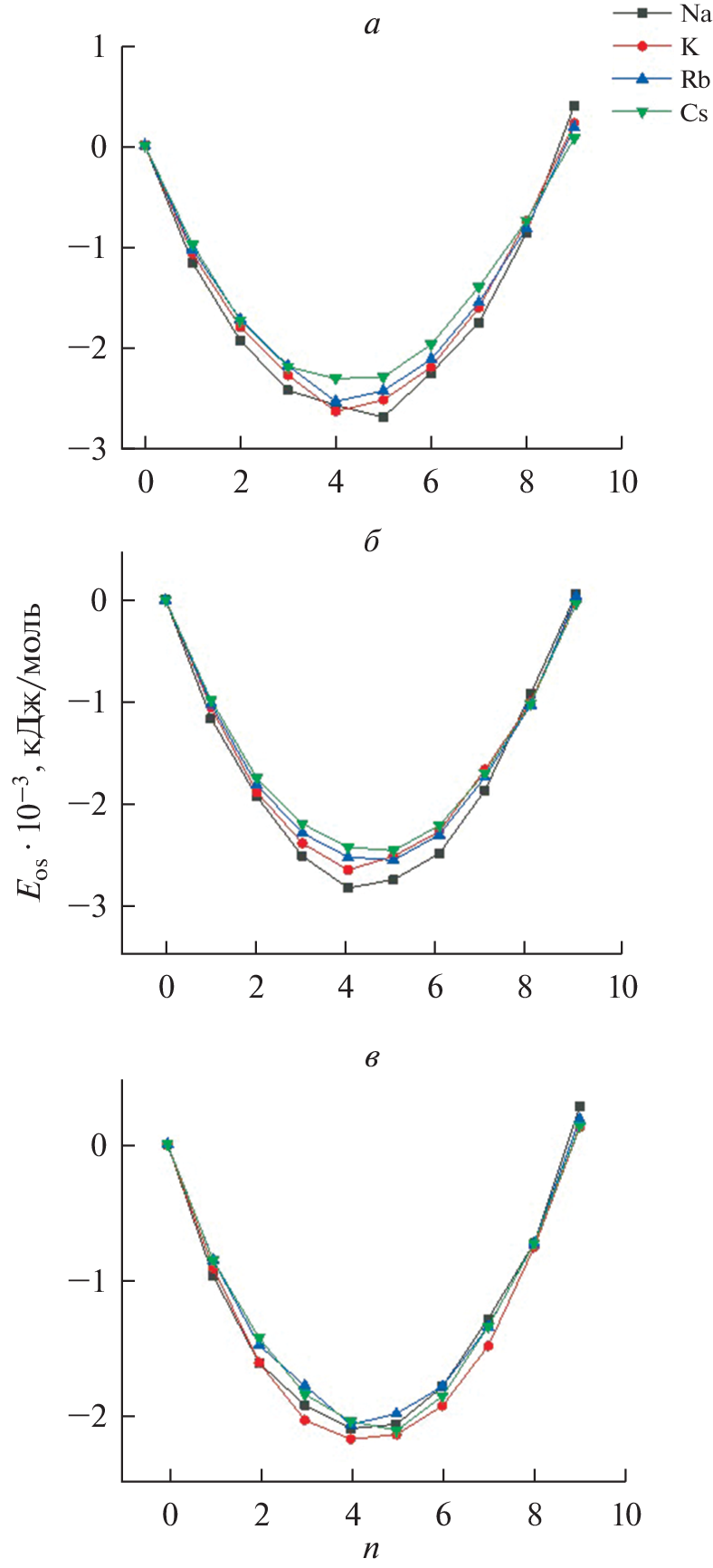
В работе представлены результаты ab initio исследований структуры модельных аналогов солевых расплавов, содержащих комплексы неодима. Актуальность этой работы определяется в основном необходимостью развития методов и технологий рециклинга электронных и магнитных материалов, которые являются вторичным источником редкоземельных металлов. Квантовохимические расчеты, в свою очередь, являются мощным инструментом для исследования структурных особенностей модельных аналогов реальных высокотемпературных солевых расплавов. Расчеты выполнены методами Хартри–Фока и теории функционала плотности при помощи квантовохимического пакета программ Firefly 8.20. Предложен подход, позволяющий рассчитывать энергии взаимодействия в трехкомпонентной модельной системе, состоящей из комплекса неодима, внешнесферной катионной оболочки и оставшейся части кластера. Определены энергии взаимодействия комплекса неодима с остальными фрагментами системы. Исследовано влияние количества внешнесферных катионов на рассчитанные энергии взаимодействия и установлены составы наиболее устойчивых частиц вида “комплекс неодима + внешнесферная оболочка”. Проведен сравнительный анализ данных, полученных с помощью квантовохимических расчетов, с результатами, имеющимися в мировой научной литературе. В том числе, включая прямые спектроскопические исследования расплавленных солей, содержащих комплексы неодима. Показано, что расчетные межатомные расстояния Nd–X (где X – F, Cl) хорошо согласуются с экспериментальными данными, имеющимися в литературе. Для модельных систем 18MCl + M3NdCl6 (где M – Na, K, Rb, Cs) рассчитаны теоретические спектры комбинационного рассеивания и установлено хорошее согласие расчетного и экспериментального значения частоты самой интенсивной линии спектра. Полученные результаты позволяют утверждать, что выбранные нами модельные системы можно использовать в качестве минимально возможных для исследования структуры расплавленных солей с помощью квантовохимических методов.
Об авторах
Ю. В. Стулов
Институт химии и технологии редких элементов и минерального сырья им. И.В. Тананаева – обособленное подразделение Федерального государственного бюджетного учреждения наукиФедерального исследовательского центра “Кольский научный центр РАН”
Автор, ответственный за переписку.
Email: iu.stulov@ksc.ru
Россия, Апатиты
С. В. Антипов
Институт химии и технологии редких элементов и минерального сырья им. И.В. Тананаева – обособленное подразделение Федерального государственного бюджетного учреждения наукиФедерального исследовательского центра “Кольский научный центр РАН”
Email: iu.stulov@ksc.ru
Россия, Апатиты
С. А. Кузнецов
Институт химии и технологии редких элементов и минерального сырья им. И.В. Тананаева – обособленное подразделение Федерального государственного бюджетного учреждения наукиФедерального исследовательского центра “Кольский научный центр РАН”
Email: iu.stulov@ksc.ru
Россия, Апатиты
Список литературы
- Balaram V. Rare earth elements: A review of applications, occurrence, exploration, analysis, recycling, and environmental impact // Geosci. Front. Elsevier. 2019. 10. № 4. P. 1285–1303.
- Goodenough K.M., Wall F., Merriman D. The Rare Earth Elements: Demand, Global Resources, and Challenges for Resourcing Future Generations // Nat. Resour. Res. 2018. 27. № 2. P. 201–216.
- Sprecher B., Xiao Y., Walton A., Speight J., Harris R., Kleijn R., Visser G., Kramer G.J. Life cycle inventory of the production of rare earths and the subsequent production of NdFeB rare earth permanent magnets // Environ. Sci. Technol. 2014. 48. № 7. P. 3951–3958.
- Wübbeke J. Rare earth elements in China: Policies and narratives of reinventing an industry // Resour. Policy. 2013. 38. № 3. P. 384–394.
- Vander Hoogerstraete T., Blanpain B., Van Gerven T., Binnemans K. From NdFeB magnets towards the rare-earth oxides: A recycling process consuming only oxalic acid // RSC Adv. 2014. 4. № 109. P. 64099–64111.
- Salehzadeh S., Maleki F. New equation for calculating total interaction energy in one noncyclic ABC triad and new insights into cooperativity of noncovalent bonds // J. Comput. Chem. 2016. 37. P. 2799–2807.
- Alkorta I., Blanco F., Deyà P.M., Elguero J., Estarellas C., Frontera A., Quiñonero D. Cooperativity in multiple unusual weak bonds // Theor. Chem. Accounts 2009. 126. № 1. P. 1–14.
- Mó O., Yáñez M., Del Bene J.E., Alkorta I., Elguero J. Cooperativity and proton transfer in hydrogen-bonded triads // Chem. Phys. Chem. 2005. 6. № 7. P. 1411–1418.
- Solimannejad M. // Chem. Phys. Chem., Ltd. 2012. 13. № 13. P. 3158–3162. https://doi.org/10.1002/cphc.201200333
- Li Q.Z., Hu T., An X.L., Gong B.A., Cheng J.B. Cooperativity between the dihydrogen bond and the N⋯HC hydrogen bond in LiH-(HCN)n complexes // Chem. Phys. Chem. 2008. 9. № 13. P. 1942–1946.
- Kremenetsky V., Kuznetsov S. Comparison of model systems (M+)n · [Cr] and M3CrX6 + 18MX based on quantum-chemical calculations (X: F, Cl) // J. Chem. 2016. № 11. P. 1–5.
- Kremenetsky V.G., Kremenetskaya O.V., Kuznetsov S.A. The stable complex species in melts of alkali metal halides: quantum-chemical approach // Molten Salts Chemistry and Technology. 2014. P. 193–201.
- Stulov Y.V., Kremenetsky V.G., Kuznetsov S. A. Quantum-chemical study of the titanium complexes stability in the model System M2+[Ti(3)F6]3– + 12MCl2 // ECS Trans. 2018. 86. P. 187–192.
- Popova A.V., Kremenetsky V.G., and Kuznetsov S.A. Intervalence charge transfer of the Nb(V)/Nb(IV) redox couple in alkali chloride melts: experiment and quantum-chemical calculations // J. Electrochem. Soc. 2017. 164. P. H5001–H5006.
- Stulov Y.V., Kremenetsky V.G., Kuznetsov S.A. Electrochemical and quantum-chemical studies of chromium (III, II) fluoride complexes in alkali chloride melts // Russ. J. Electrochem. 2014. 50. P. 815–823.
- Kremenetsky V.G., Kuznetsov S.A. Quantum-chemical analysis of the electron transfer mechanism in model system MgNbF7 + 12MgCl2 by the method of frontier molecular orbitals // Russ. J. Electrochem. 2018. 54. P. 676–682.
- Kremenetsky V.G., Nikolaev A.I., Kuznetsov S.A. Analysis of electrochemical electron transfer mechanisms in molten salts by the frontier orbital method // Dokl. Phys. Chem. 2017. 475. P. 122–125.
- Stulov Y.V., Vetrova D.A., Kremenetsky V.G., Kuznetsov S.A. Study of the electron transfer in titanium containing melts by electrochemical and quantum-chemical methods // J. Electrochem. Soc. 2021. 168. P. 046507.
- Granovsky A.A. Firefly version 8. http://classic.chem.msu.su/gran/firefly/index.html
- Schmidt M.W., Baldridge K.K., Boatz J.A., Elbert S.T., Gordon M.S., Jensen J.H., Koseki S., Matsunaga N., Nguyen K.A., Su S., Windus T.L., Dupuis M., Montgomery J.A. General atomic and molecular electronic structure system // J. Comput. Chem. 1993. 14. № 11. P. 1347–1363.
- Feller D. The role of databases in support of computational chemistry calculations // J. Comput. Chem. 1996. 17. № 13. P. 1571–1586.
- Schuchardt K.L., Didier B.T., Elsethagen T., Sun L., Gurumoorthi V., Chase J., Li J., Windus T.L. Basis Set Exchange: A community database for computational sciences // J. Chem. Inf. Model. 2007. 47. № 3. P. 1045–1052.
- Pritchard B.P., Altarawy D., Didier B., Gibson T.D., Windus T.L. New basis set exchange: An open, up-to-date resource for the molecular sciences community // J. Chem. Inf. Model. 2019. 59. № 11. P. 4814–4820.
- Dolg M., Stoll H., Preuss H. A combination of quasirelativistic pseudopotential and ligand field calculations for lanthanoid compounds // Theor. Chim. Acta. 1993. 85. P. 441–450.
- Dolg M., Stoll H., Savin A., Preuss H. Energy-adjusted pseudopotentials for the rare earth elements // Theor. Chim. Acta. 1989. 75. № 3. P. 173–194.
- Fernandez Pacios L., Christiansen P.A. Ab initio relativistic effective potentials with spin-orbit operators. I. Li through Ar // J. Chem. Phys. 1985. 82. № 6. P. 2664–2671.
- Leininger T., Nicklass A., Küchle W., Stoll H., Dolg M., Bergner A. The accuracy of the pseudopotential approximation: non-frozen-core effects for spectroscopic constants of alkali fluorides XF (X = K, Rb, Cs) // Chem. Phys. Lett. 1996. 255. № 4–6. P. 274–280.
- Bergner A., Dolg M., Küchle W., Stoll H., Preuß H. Ab initio energy-adjusted pseudopotentials for elements of groups 13–17 // Mol. Phys. 1993. 80. № 6. P. 1431–1441.
- Kuznetsov S.A., Kremenetsky V.G. Comparison of Some Structural Parameters of the Model Systems nM+[CrX6]3– and 3M+[CrX6]3– + 18MCl (M – Na, K, Cs; X – F, Cl; n = 1–6) // ECS Trans. 2014. 64. № 4. P. 183–188.
- Kremenetsky V.G. and Kuznetsov S.A. Anomaly of the charge transfer rate in the CsCl–K3CrF6 melt: Quantum-chemical analysis // Int. J. Electrochem. Sci. 2015. 10. P. 6164–6174.
- Stulov Y.V., Kuznetsov S.A. Quantum chemical investigation of samarium complexes stability in a model system 18MX+M3SmX6 (X = F, Cl and M = Na, K, Rb, Cs) // ECS Trans. 2022. 109. № 14. P. 135–142.
- Iwadate Y., Yamoto H., Fukushima K., and Takagi R. Molecular dynamics study of ionic aggregation in molten SmCl3–NaCl system // J. Mol. Liq. 1999. 83. P. 41–49.
- Aspinall H.C. Chemistry of the f-Block Elements. London: Routledge, 2018.
- Iwadate Y. Structures and properties of rare-earth molten salts // Handbook on the Physics and Chemistry of Rare Earths. Elsevier B.V. 2014. 44. P. 87–168.
- Igarashi K., Kosaka M., Ikeda M., Mochinaga J. X-ray diffraction analysis of NdCl3 melt // Zeitschrift fur Naturforsch. Sect. A J. Phys. Sci. 1990. 45. № 5. P. 623–626.
- Photiadis G.M., Børresen B., Papatheodorou G.N. Vibrational modes and structures of lanthanide halide-alkali halide binary melts: LnBr3–KBr (Ln = La, Nd, Gd) and NdCl3–ACl (A = Li, Na, K, Cs) // J. Chem. Soc. Faraday Trans. 1998. 94. № 17. P. 2605–2613.
- Dracopoulos V., Gilbert B., Papatheodorou G.N. Vibrational modes and structure of lanthanide fluoride–potassium fluoride binary melts LnF3–KF (Ln = La, Ce, Nd, Sm, Dy, Yb) // J. Chem. Soc. Faraday Trans. 1998. 94. № 17. P. 2601–2604.
- Kalampounias A.G. Correlating changes in structure and dynamical properties in LnX3 (Ln = Y, Ho, Dy, Gd, Nd, La and X = Cl, Br) ionic melts // Chem. Pap. 2017. 71. № 8. P. 1529–1539.
Дополнительные файлы





