CAPACITANCE AND IMPEDANCE OF IRIDIUM ELECTRODE IN MOLTEN ALKALI CHLORIDES
- Authors: Kirillova E.V.1
-
Affiliations:
- Institute of High-Temperature Electrochemistry UB RAS
- Issue: No 1 (2023)
- Pages: 68-77
- Section: Articles
- URL: https://bakhtiniada.ru/0235-0106/article/view/138534
- DOI: https://doi.org/10.31857/S0235010623010048
- EDN: https://elibrary.ru/HIBYAL
- ID: 138534
Cite item
Full Text
Abstract
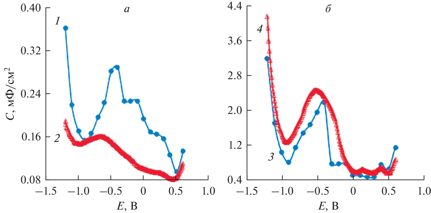
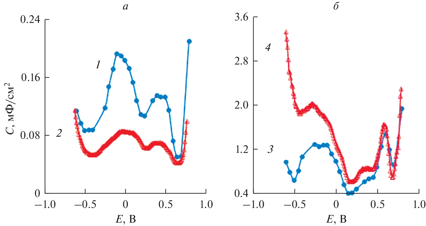
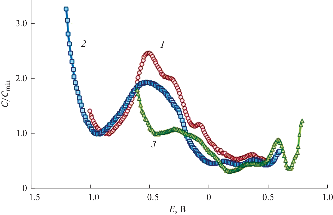
Сapacitance of the iridium electrode was studied by the electrochemical impedance spectroscopy with variation of the main physical and chemical parameters: electrical potential, temperature, radius of the alkali cation. The influence of the signal frequency used in AC electrochemical methods on the capacitance value and the shape of the curve was also checked. Capacitance of the iridium electrode was obtained in molten sodium, potassium and cesium chlorides in the temperature range 1093–1123 K and the frequency range of the AC signal 3 · 100–3 · 104 Hz in the entire accessible range of electrical polarization. The obtained capacitance curves have two main minima with a maximum between them. One of these minima (cathodic one) was identified as the classical potential of minimum capacitance. A decrease in the signal frequency and the temperature of experiment, as well as an increase in the cation radius in the NaCl–KCl–CsCl order, leads to the appearance of one or two additional minima in the potential region between the main minima. The depth of these intermediate minima increases and their potential shifts in the positive direction with an increase in the radius of the alkali metal cation of the salt electrolyte. The calculated values of the capacitance of the electrical double layer and the adsorption capacitance were obtained by the method of equivalent electrical circuits. One of the additional minima obtained by direct measurement of the dependence of the electrode capacitance on the potential at a high AC frequency corresponds to the calculated capacitance of the double layer. The other additional minimum obtained at a low AC frequency corresponds to the calculated adsorption capacitance.
About the authors
E. V. Kirillova
Institute of High-Temperature Electrochemistry UB RAS
Author for correspondence.
Email: e.kirillova@ihte.uran.ru
Russia, Yekaterinburg
References
- Kataliz v promyshlennosti [Сatalysis in industry]. Ed. B. Leach. M.: Mir, 1986. [In Russian].
- Zheng J., Sheng W., Zhuang Z., Xu B., Yan Y. Universal dependence of hydrogen oxidation and evolution reaction activity of platinum-group metals on pH and hydrogen binding energy // Sci. Adv. 2016. 2. e1501602.
- Rasten E., Hagen G., Tunold R. Electrocatalysis in water electrolysis with solid polymer electrolyte // Electrochim. Acta. 2003. 48. P. 3945–3952.
- Huang Y., Wu K., Hao R. et al. Iridium doping boosting the electrochemical performance of lithium-rich cathodes for li-ion batteries // ACS Appl. Energy Mater. 2021. 4. № 3. P. 2489–2495.
- Lin F., Bachman B.F., Boettcher Sh.W. Impact of Electrocatalyst Activity and Ion Permeability on Water-Splitting Photoanodes // J. Phys. Chem. Lett. 2015. 6. P. 2427–2433.
- Bause S., Decker M., Gerlach F. et al. Development of an iridium-based pH sensor for bioanalytical applications // J. Solid State Electrochem. 2018. 22. Р. 51–60.
- Audichon T., Mayousse E., Morisset S. et al. Electroactivity of RuO2–IrO2 mixed nanocatalysts toward the oxygen evolution reaction in a water electrolyzer supplied by a solar profile // Int. J. Hydrogen Energy. 2014. 39. P. 16785–16796.
- Papaderakis A., Tsiplakides D., Balomenou S. et al. Electrochemical impedance studies of IrO2 catalysts for oxygen evolution // J. Electroanal. Chem. 2015. 757. P. 216–224.
- Izotopy: svoystva, polucheniye, primeneniye [Isotopes: properties, production, application] / Ed. Y. Baranova. M.: FIZMATLIT, 2005. [In Russian].
- Wu W., Chen Z., Wang, L. Oxidation behavior of multilayer iridium coating on niobium substrate. // Prot. Met. Phys. Chem. Surf. 2015. 51. P. 607–612.
- Zhu L., Bai S., Zhang H. et al. Long-term high-temperature oxidation of iridium coated rhenium by electrical resistance heating method // Int. J. Refract. Met. Hard Mater. 2014. 44. P. 42–48.
- Huang Y., Bai S., Zhang H. et al. Oxidation of iridium coating on rhenium coated graphite at elevated temperature in stagnated air // Appl. Surf. Sci. 2015. 328. P. 436–443.
- Huang Y., Bai S., Zhang H. et al. Oxidation of iridium coatings on rhenium substrates at ultrahigh temperature in stagnant air: Its failure mechanism and life model // Surf. Coat. Technol. 2016. 288. P. 52–61.
- Toenshoff D., Lanam R., Ragaini J. et al. Iridium coated rhenium rocket chambers produced by electroforming // Proceedings of the 36th AIAA/ASME/SAE/ASEE Joint Propulsion Conference and Exhibit. Las Vegas, NV, USA. July 2000. AIAA 2000–3166.
- Mefford J., Rong X., Abakumov A. et al. Water electrolysis on La1 – xSrxCoO3 – δ perovskite electrocatalysts // Nat. Commun. 2016. 7. P. 11053.
- Bernt M., Siebel A., Gasteiger H.A. Analysis of voltage losses in PEM water electrolyzers with low platinum group metal loadings // J. Electrochem. Soc. 2018. 165. F305–F314.
- Millet P., Mbemba N., Grigoriev S.A. et al. Electrochemical performances of PEM water electrolysis cells and perspectives // Int. J. Hydrogen Energy. 2011. 36. P. 4134–4142.
- Bernt M., Hartig-Weiß A., Tovini M.F. et al. Current challenges in catalyst development for PEM water electrolyzers // Chemie-Ingenieur-Technik. 2020. 92. P. 31–39.
- Isakov A.V., Apisarov A.P., Nikitina A.O. Electrowinning and annealing of Ir–Re–Ir material // Nonferrous metals. 2017. 11. P. 55–60.
- Saltykova N.A., Pechorskaya L.S., Baraboshkin A.N. Solevaya passivatsiya pri anodnom rastvorenii iridiya v khloridnykh rasplavakh [Salt passivation during anodic dissolution of iridium in chloride melts] // Elektrokhimiya. 1986. 22. P. 579–584. [In Russian].
- Weiland R., Lupton D.F., Fischer, B. et al. High-temperature mechanical properties of the platinum group metals // Platinum Met. Rev. 2006. 50. № 4. P. 158–170.
- Dokashenko S.I., Stepanov V.P., Kirillova E.V. [Impedance of the interface between polycrystalline gold and molten potassium chloride] // Rasplavy. 2004. 4. P. 47–61. [In Russian].
- Iridium: compounds information // URL: https://www.webelements.com/iridium/compounds.html.
- Stepanov V.P., Dokashenko S.I., Kirillova E.V. Frequency dependence of potentials of minimum capacitance for electrodes of copper subgroup metals in alkali halide melts // Russ. J. Electrochem. 2012. 48. P. 1005–1010.
- Kirillova E.V. Capacitance and impedance of rhenium in molten alkali metal chlorides // Russian Metallurgy. 2018. № 2. P. 123–127.
Supplementary files











