A Storm in the Attenuation Stage as a Factor in Seasonal Deformations of a Sandy Coastal Profile
- Authors: Korzinin D.V.1
-
Affiliations:
- Shirshov Institute of Oceanology, Russian Academy of Sciences
- Issue: Vol 41, No 1 (2025)
- Pages: 20-35
- Section: Analysis of observations and methods of calculating Hydrophysical fields in the ocean
- URL: https://bakhtiniada.ru/0233-7584/article/view/285337
- EDN: https://elibrary.ru/BOTHLG
- ID: 285337
Cite item
Full Text
Abstract
Purpose. The purpose of the study is to consider both features of storms in the attenuation stage as a factor in the coastal profile restoration after storm erosion and a potential cause of seasonal deformations.
Methods and Results. Seasonal morphodynamics of accumulative coastal areas was studied in the regions both of the Vistula Spit (South-Eastern Baltic) based on the monitoring measurements of coastal profile performed by the employees of the Shirshov Institute of Oceanology, RAS, from May 2019 to March 2022 and the Oktyabrskaya Spit (western Kamchatka) using the measurement data taken in 2010–2011. Two indices describing the storm structure are used: the ratio of the attenuation stage duration to the total storm duration Rt and the ratio of the median value of storm wave height during the attenuation stage to the peak wave height of the storm event RHs. The variations in and during a year are statistically analyzed based on the ERA5 long-term wave reanalysis data. It is found that the index does not tend to change on a seasonal scale. When the index is close to one and changes slightly during a year, the coastal profile does not experience seasonal changes. If changes in course of a year decreasing significantly during the period of more intense waves, the coast experiences seasonal changes.
Conclusions. The variations in wave intensity during a year do not always result in the change of average position of the coastal profile. The key factor may consist in the seasonal trends in wave parameter changes within a storm cycle. The proposed index can be regarded as a criterion for the behavior type of sandy coasts on a seasonal scale.
Full Text
Введение и теоретические предпосылки исследования
Согласно существующим представлениям, сезонные деформации берегового аккумулятивного профиля характеризуются выносом песчаных осадков на глубину с обособлением подводного вала в штормовой сезон и примыканием аккумулятивной террасы к берегу в сезон умеренных волнений (рис. 1). Считается, что данный тип морфодинамики песчаного берега наблюдается после смены интенсивности волнения между сезонами или связан с серией штормовых событий (см., например, [1–4]). В то же время существуют берега, которые характеризуются устойчивостью к флуктуациям волновой энергии в масштабах сезонов, но чувствительны к отдельным штормовым событиям или развиваются по пути однонаправленных изменений в течение нескольких лет [5, 6]. Несомненный интерес для береговой науки представляет исследование таких свойств отдельных штормов или их серий, которые могут определять характер деформаций берегового профиля в масштабе сезонов. Выявление данных свойств позволит прогнозировать тот или иной характер морфодинамики аккумулятивных песчаных берегов.
Рис. 1. Сезонные различия песчаного профиля (Сан-Диего, Калифорния, США) (адаптировано из [1, p. 41])
Fig. 1. Seasonal differences in the sand profile (San Diego, California, USA) (adapted from [1, p. 41])
Впервые сезонный тип деформаций берегового песчаного профиля был описан Ф. Шепардом на примере берегов Калифорнии 1. В дальнейшем исследования на данном побережье позволили сформулировать основные теоретические положения, связанные с деформациями данного типа [1, 7]. Основное из этих положений заключается в том, что изменение волновой энергии в течение года вызывает смену режимов аккумуляции и размыва на береговом профиле. Представленный на рис. 1 так называемый зимний профиль, по сути, является профилем размыва, а летний профиль – это профиль аккумуляции или профиль, восстановленный после размыва.
Следует отметить, что волновые условия побережья Калифорнии, где впервые исследованы сезонные деформации песчаного берега, отличаются интенсивным волнением в штормовой сезон и достаточно продолжительным периодом воздействия пологих волн тихоокеанской зыби в умеренный сезон, что определяет соответствующие различия берегового профиля (см. рис. 1). В условиях с ограниченным разгоном волн, где в штормовой период преобладают короткие и крутые ветровые волны, а действие зыби выражено незначительно, предельные состояния профиля, характерные для разных сезонов, могут быть менее контрастными [8, 9].
Как уже сказано, сезонные деформации связаны с флуктуациями интенсивности и крутизны волн в течение года. Автором данного исследования предлагается гипотеза о том, что возможной причиной сезонных ритмов морфодинамики аккумулятивного берега является разный характер протекания штормовых событий в течение года.
Отдельный шторм можно описать как максимальными параметрами волн, так и динамикой изменения этих параметров за время полного штормового цикла – от интенсивного роста высот волн на начальной стадии до полного затухания в конце. Для описания этих изменений за полный штормовой цикл было предложено понятие «структура шторма» 2, которая характеризуется длительностью и энергией волнения трех основных стадий (фаз) шторма – развития, стабилизации и затухания. Если на стадии развития и стабилизации шторма происходит размыв берегового профиля (erosive phase), то на стадии затухания может происходить частичное или полное его восстановление (recovery period).
Наносы, вынесенные на глубину при волновом размыве берегового профиля на стадии развития и стабилизации шторма, могут быть перемещены в сторону берега на стадии затухания в результате волнового переноса, который возникает как следствие асимметрии волновых скоростей при нелинейной трансформации волн [10, 11]. Чем больше интенсивность максимальной фазы шторма, тем глубже перемещаются наносы при размыве. Если высоты волн шторма в стадии затухания сильно меньше предшествующего максимума, то в этом случае ослабевает и волновой перенос в сторону берега, так как уменьшается глубина воздействия волн на дно. Соответственно, если энергия волн шторма в стадии затухания ближе по своей величине к энергии волн шторма в пиковой фазе, то волновой перенос усиливается, что способствует большему возвращению наносов в сторону берега.
Эту закономерность можно объяснить также свойством профиля размыва. Профиль данного типа формируется в результате выноса наносов на глубину во время усиления и стабилизации шторма. Два предельных состояния песчаного профиля, т. е. профиль размыва и профиль аккумуляции, можно соотнести с диссипативным и отражающим состояниями берегового профиля в рамках концепции эволюции аккумулятивного берега, которую предложили австралийские исследователи Л. Райт и А. Шот [12]. Согласно этой концепции, диссипативный профиль является относительно устойчивым к размыву. При воздействии большего количества волновой энергии на профиль такого типа преобладает аккумуляция, т. е. восстановление профиля после размыва (см. выделенную прямоугольным контуром область на рис. 2). При меньшем количестве волновой энергии интенсивность аккумуляции снижается. Интенсивность волнения в данном подходе оценивается с помощью параметра Дина [13]:
, (1)
где – высота волн при обрушении; – гидравлическая крупность; – пиковый период волн.
Другими словами, если на стадии стабилизации волнения волновой режим можно охарактеризовать некоторым значением (рис. 2), а волновой режим при затухании – значением , то интенсивность аккумуляции на этой стадии будет определяться значением [14]:
Рис. 2. Концептуальная диаграмма, иллюстрирующая связь между типом берегового аккумулятивного профиля (условный параметр ), количеством волновой энергии (параметр Дина ) и относительной интенсивностью аккумуляции и размыва (пропорциональна длине стрелок). Голубым штриховым контуром выделены условия интенсивной аккумуляции при большей энергии волнения на диссипативном профиле (адаптировано из [12, р. 114])
Fig. 2. Conceptual diagram illustrating the relationship between the type of coastal accumulative profile (indicative parameter S), the amount of wave energy (the Dean parameter ) and the relative intensity of accumulation and erosion (proportional to the arrow lengths). Blue dashed contour highlights the conditions of intense accumulation at a higher wave energy on the dissipative profile (adapted from [12, р. 114])
При снижении интенсивности волнения на стадии затухания < 0, причем, согласно [14], чем больше разница между значениями и , тем меньше интенсивность аккумулятивного процесса.
Таким образом, приведенные выше доводы показывают, что если волнение на стадии затухания ближе по своей интенсивности к волнению шторма в пиковой фазе, то это способствует восстановлению берегового профиля после размыва.
Существующие в береговой науке показатели, описывающие структуру штормового события, опираются на такие характеристики, как волновая энергия и продолжительность тех или иных стадий. По результатам многолетних наблюдений на шести полигонах, расположенных на побережьях Балтийского и Черного морей, был предложен коэффициент структуры шторма3
, (2)
где , , – суммарная энергия волнения на стадии развития, стабилизации и затухания соответственно, выраженная в процентах от общей энергии шторма. Показано, что положительные деформации наблюдаются при , а отрицательные при .
Отношение времени действия максимальной фазы шторма и стадии затухания определяет так называемый штормовой коэффициент [15]:
, (3)
где – продолжительность фазы стабилизации шторма; – продолжительность стадии затухания шторма. Чем ближе этот коэффициент к нулю, т. е. чем более значительную роль играет стадия затухания волнения, тем меньше итоговый размыв профиля. Данная закономерность основывается на наблюдениях за динамикой берегового профиля в экспериментальных волновых установках и в природных условиях.
Отношение продолжительности стадии затухания шторма к общей длительности штормового события лежит в основе концепции эффективной высоты волны [16]. На основе этой концепции предложена аналитическая модель, описывающая деформации берегового профиля за полный штормовой цикл:
, (4)
где – максимальная высота волны шторма; – ее минимальная высота в конце шторма (может быть принята условно равной 1 м), а и – продолжительность стадии затухания и общая продолжительность шторма соответственно. В данной модели значение определяет положение подводного вала после шторма.
Таким образом, приведенные выше теоретические обоснования и примеры из опубликованных источников показывают, что ключевыми параметрами структуры шторма являются продолжительность тех или иных стадий и соответствующее этим стадиям количество волновой энергии. В случае более длительного или более «энергичного» шторма в стадии затухания большее количество наносов будет перенесено в сторону берега к концу штормового события.
Цель настоящей работы – исследовать, как изменение характера штормовых событий на стадии затухания в течение года может сказываться на поведении песчаного берега.
Исходные данные и методы
Для достижения поставленной цели были выбраны два береговых участка – район Балтийской косы (Юго-Восточная Балтика) и район Октябрьской косы (п. Октябрьский, Западная Камчатка, восточная часть Охотского моря). Данные участки относятся к протяженным барьерным формам типа береговых песчаных баров.
Различия выбранных участков заключаются в том, что для берега Западной Камчатки в районе Октябрьской косы характерны приливы, максимальная величина которых достигает 3 м [17]. Другой особенностью этого берега является наличие льда на пляже с декабря по май включительно, т. е. изменения рельефа, характерные для песчаного берега и обусловленные волнами, можно проследить только с июня по ноябрь. Берега Юго-Восточной Балтики относятся к неприливным, а лед в береговой зоне устанавливается крайне редко и на период не более чем несколько дней.
Средний уклон берегового профиля от уреза до глубины 7,5 м на Балтийской косе составляет 0,014, а на Октябрьской косе – 0,008 (рис. 3). Береговой профиль на Балтийской косе осложнен хорошо выраженным подводным валом. Классификация береговых аккумулятивных профилей по типу преобладающей динамической обстановки на основе параметра Дина (), согласно [12], позволяет отнести оба берега к диссипативному типу: = 5,13 для Балтийской косы и = 6,41 для Октябрьской косы. Для расчета значений использовано выражение (1) и данные реанализа волнения ERA5 за многолетний период, о чем более детально будет сказано в дальнейшем.
Рис. 3. Береговые профили, характерные для участка Балтийской (а) и Октябрьской косы (b)
Fig. 3. Coastal profiles typical for the regions of the Vistula (a) and Oktyabrskaya (b) spits
Для выбранных участков были получены данные о динамике берегового профиля в разные сезоны. На берегах Балтийского моря береговой профиль измерялся с мая 2019 г. по март 2022 г. в рамках мониторинговых работ Института океанологии им. П. П. Ширшова РАН на Балтийской косе. На берегах Охотского моря измерения проводились в 2010–2011 гг. в рамках работ, проводимых с целью выработки рекомендаций по защите Октябрьской косы от штормового размыва [18]. На берегах Октябрьской косы повторные измерения осуществлялись только для надводной части берегового профиля.
Расчеты волновых условий основывались на данных реанализа волнения ERA5 [19] Европейского центра среднесрочных прогнозов (European Centre for Medium-Range Weather Forecasts, ECMWF) для расчетных точек, ближайших к районам полевых наблюдений – 54,5° с. ш., 19° в. д. для Юго-Восточной Балтики и 52,5° с. ш., 156° в. д. для Охотского моря (рис. 4). Точка ERA5 для Юго-Восточной Балтики расположена на расстоянии 10 км от берега (глубина в точке, используемая при расчете в волновой модели реанализа ERA5, 54 м), а точка у побережья Западной Камчатки – на расстоянии 21 км от берега (соответствующая глубина 209 м). Частота исследуемых данных о волнении – каждые 3 часа. Для Балтийского моря данные реанализа волнения ERA5 были верифицированы на основе измерения волновых параметров в береговой зоне с помощью буя Spoondrift Spotter [20]. Показано, что данные реанализа имеют вполне удовлетворительную сходимость с измеренными параметрами волнения.
Рис. 4. Участки измерения берегового профиля: слева – в Балтийском; справа – Охотском море (участок берега, обозначенный черным прямоугольником, показан укрупненно на врезке). Точки выгрузки данных реанализа волнения обозначены кружком с надписью «ERA5»
Fig. 4. Sites of coastal profile measurements: on the left – in the Baltic Sea; on the right – in the Sea of Okhotsk (coastline site marked with black rectangle is shown enlarged in the inset). Points of wave reanalysis data unloading are marked with the circles labeled “ERA5”
Высота волн в массивах данных реанализа ERA5 характеризуется значительной высотой волны (м). Значения для отдельных штормовых событий из временны́х рядов волновых данных извлекались в программной среде Matlab. Штормовые события определялись по критерию превышения высотой волны значений 1 м и времени действия шторма не менее 12 ч. Не принимались в расчет события шторма, для которых не определяется стадия развития или затухания, т. е. максимум высоты волны приурочен к начальной или конечной временно́й точке шторма. В итоге для Юго-Восточной Балтики рассматривалось 1355 штормовых событий (1979–2020 гг., 42 года), а для Западной Камчатки – 1459 штормовых событий (1992–2021 гг., 30 лет).
Для расчета параметра Дина ( ) высота волн при обрушении рассчитывалась с помощью выражения [21]
,
где – высота волн на глубокой воде (здесь и далее в качестве значения используется значительная высота волны согласно данным реанализа ERA5); – длина волны на глубокой воде, определяемая отношением (в данном случае в качестве используется средний период волн согласно данным реанализа ERA5). Для расчета гидравлической крупности () использовалось выражение [22]
,
где – диаметр песчаных осадков. Для обоих береговых участков использовалось примерное значение медианного диаметра песчаных наносов на подводном береговом склоне, равное 0,25 мм, согласно работе 4 [23, 24]. Пиковый период волн () рассчитывался с помощью выражения [25]
.
Согласно приведенным выше теоретическим предпосылкам исследования, ключевыми параметрами шторма в стадии затухания являются относительные характеристики ее продолжительности и интенсивности волнения. Для количественной оценки каждого штормового события в данной стадии были определены следующие характеристики:
- продолжительность штормового события ( , ч);
- продолжительность стадии затухания шторма ( , ч);
- максимальная высота волн шторма ( , м);
- медианное значение высоты волны шторма в стадии затухания ( , м).
Медианное значение высоты волны шторма в стадии затухания для оценки волновой энергии ( ) используется в связи с тем, что среднее значение очень чувствительно к выбросам. Выбросы в нашем случае – это кратковременный пик или минимум высоты волны, которые будут мало влиять на морфодинамику, так как переформирование берегового профиля связано с относительно длительным волновым воздействием, что показано в ходе экспериментальных исследований [21, 26].
Автором предложены два специальных показателя структуры шторма. Показатель характеризует относительную продолжительность стадии затухания шторма:
Показатель характеризует относительную величину волновой энергии шторма в стадии затухания:
Чем ближе значение показателей и к единице, тем более высоким потенциалом для восстановления берегового профиля обладает шторм в фазе затухания. При разработке данных показателей использовались подходы к оценке структуры шторма, разработанные ранее (выражения (2)–(4)) [15, 16]. Статистический анализ этих показателей возможен благодаря использованию данных реанализа волнения за многолетний период. Натурные данные о сезонной морфодинамике аккумулятивных участков берега, в свою очередь, позволяют верифицировать результаты.
Результаты исследования
На первом этапе исследования был выполнен анализ сезонности в распределении штормовой активности. Для каждого месяца были определены следующие показатели (рис. 5, 6):
- – максимальная высота волны (м);
- – средняя высота волны из максимальных для каждого штормового события (м);
- – средняя продолжительность штормовых событий (ч);
- – среднее количество штормовых событий;
- – среднее количество часов со штормами в месяц ( .
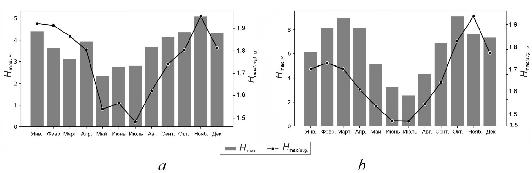
Рис. 5. Распределение значений и по месяцам: а – для Юго-Восточной Балтики; b – для Западной Камчатки
Fig. 5. Distribution of and values by months: a – for the South-Eastern Baltic; b – for the Western Kamchatka
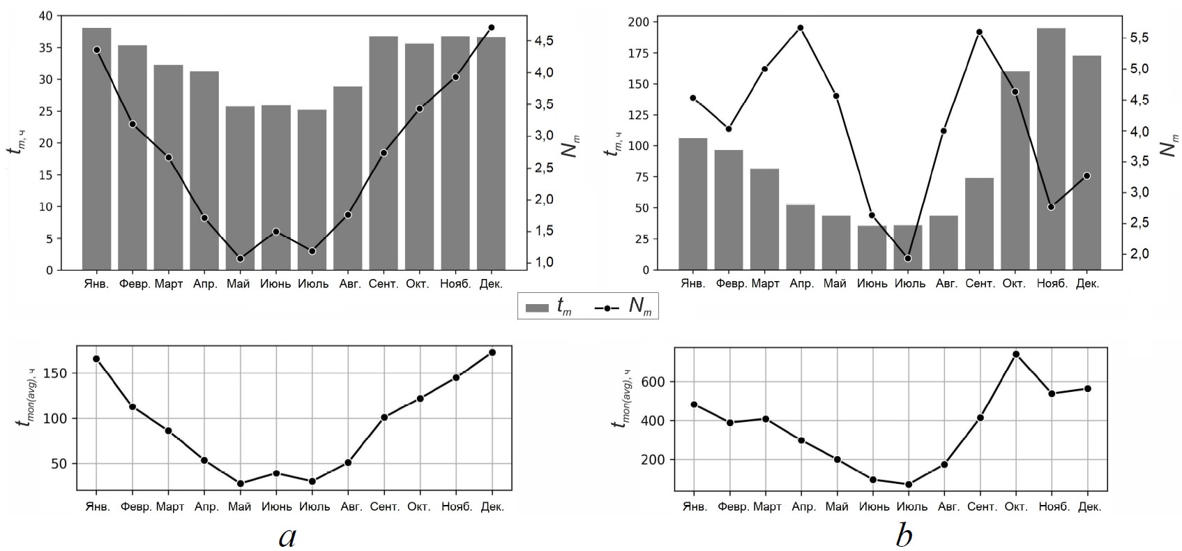
Рис. 6. Распределение значений , и по месяцам: а – для Юго-Восточной Балтики; b – для Западной Камчатки
Fig. 6. Distribution of , and values by months: a – for the South-Eastern Baltic; b – for the Western Kamchatka
Для двух исследуемых акваторий в годовой динамике штормовой активности есть общие черты. Выявлено, что максимальные высоты волн и их средние значения ( , ) имеют хорошо выраженную сезонную изменчивость с минимумом в мае – июле, после которого до ноября интенсивность волнения возрастает (рис. 5).
Для Юго-Восточной Балтики аналогичная сезонная изменчивость характерна и для показателей, определяющих количество времени, приходящееся на штормы: , , (рис. 6). Для Западной Камчатки максимумы количества штормов ( ) отмечаются в апреле и сентябре. Весной для Западной Камчатки характерно наличие льда на пляже, т. е. для нас представляют интерес летний и осенний периоды. После максимума в сентябре среднее количество штормов уменьшается на фоне роста их продолжительности. Тем не менее относительно высокие значения показателей и наблюдаются в октябре, что в совокупности с высокими значениями и позволяет характеризовать этот месяц как пик штормовой активности. Для Юго-Восточной Балтики все исследуемые показатели изменяются примерно по одному сценарию с пиком штормовой активности с ноября по январь.
Для количественной характеристики изменчивости волнения в течение года может быть использован показатель , предложенный в работе [5], где – среднее значение среднеквадратичного отклонения параметра Дина за исследуемые годы ( ) и месяцы ( ). Чем больше значение показателя , тем в большей степени исследуемый участок берега подвержен сезонным флуктуациям крутизны волн в течение года. Если показатель близок к единице, то на морфодинамику данного берега в большей степени влияют отдельные штормы. Согласно выполненным расчетам, показатели для исследуемых участков приблизительно равны и составляют 1,06 для района Балтийской косы и 1,006 для исследуемой акватории Охотского моря. Таким образом, согласно данному показателю, на морфодинамику берега в большей степени оказывают воздействие отдельные штормы, а не сезонный ход интенсивности волнения.
В дальнейшем были вычислены предложенные в данном исследовании показатели и . Их значения были сопоставлены с сезонным ходом штормовой активности. Статистическая обработка значений для каждого шторма (рис. 7) показала, что видимых сезонных различий в динамике этого показателя в течение года нет. Медианное значение близко к 0,6 для каждого месяца для двух исследуемых акваторий.
Рис. 7. Статистические характеристики изменения показателя в течение года для исследуемой части акватории Юго-Восточной Балтики (a) и Западной Камчатки (b)
Fig. 7. Statistical characteristics of the change in index during a year for the parts of water areas of the South-Eastern Baltic (a) and the Western Kamchatka (b) under study
Статистическая обработка значений (рис. 8) показала, что для акватории Юго-Восточной Балтики различия в медианных значениях для каждого месяца незначительны: максимальное значение 0,86 в июле, минимальное значение 0,79 с января по март. Для акватории Западной Камчатки прослеживается хорошо выраженная сезонная динамика: медианные значения наиболее близки к единице в июне и в июле (~ 0,85) и уменьшаются вплоть до ноября (~ 0,54). Таким образом, на Западной Камчатке вместе с ростом интенсивности волнения , (см. рис. 5), продолжительности штормов , (см. рис. 6) и среднего количества часов со штормами изменяется характер волнения в стадии затухания. Низкие значения в осенний сезон определяют тенденцию к итоговому размыву берегового профиля для большинства штормовых событий. Для Юго-Восточной Балтики такой тенденции не выявлено. В то же время межсезонная динамика показателя для Западной Камчатки не соответствует результату, полученному при расчете показателя согласно [5], который показал, что на морфодинамику берега в большей степени оказывают воздействие отдельные штормы, а не сезонный ход интенсивности волнения.
Рис. 8. Статистические характеристики изменения показателя в течение года для исследуемой части акватории Юго-Восточной Балтики (a) и Западной Камчатки (b)
Fig. 8. Statistical characteristics of the change in index during a year for the parts of water areas of the South-Eastern Baltic (a) and the Western Kamchatka (b) under study
Рис. 9. Динамика берегового профиля Балтийской косы с мая 2019 г. по март 2022 г.
Fig. 9. Dynamics of the Vistula Spit coastal profile from May 2019 to March 2022
Результаты статистического анализа показателя для исследуемых акваторий по месяцам были сопоставлены с данными о морфодинамике песчаного профиля в разные сезоны. Измерения рельефа на Балтийской косе в течение трех лет (с мая 2019 г. по март 2022 г.) позволили установить, что на данном участке берега не прослеживаются деформации берегового профиля, которые можно охарактеризовать как сезонные. За весь период наблюдений был зафиксирован цикл, включающий эволюцию подводного вала от спрямленного внешнего (май 2019 г.) до серповидного с дальнейшим примыканием его к берегу (сентябрь 2021 г.) (рис. 9). В марте 2022 г. сформировался новый внешний подводный вал. Типичный сезонный морфодинамический ритм, когда в зимний сезон берег отступает и подводный вал выдвигается в море, а в летний сезон вал примыкает к берегу в виде аккумулятивной террасы, не выявлен.
На Октябрьской косе рельеф измерялся только в надводной части береговой зоны с меньшей регулярностью. Мористая граница измерений проходила выше уреза – примерно по максимуму волнового заплеска в момент съемки. Тем не менее на данном участке берега удалось проследить сезонный ритм изменения рельефа пляжа. Профиль, измеренный в июне 2011 г., можно считать летним, так как он расположен выше по отношению к другим профилям и выдвинут в сторону моря (рис. 10). В осенний сезон вместе с усилением волнения происходит размыв пляжа и формируется зимний профиль, что видно по относительному положению профилей, сделанных в ноябре 2010 г. и сентябре 2011 г. Таким образом, в штормовые сезоны (ноябрь 2010 г., сентябрь 2011 г.) изменяется среднее положение профиля и намечается тенденция к размыву, что соответствует более низким значениям коэффициента .
Рис. 10. Динамика пляжа Октябрьской косы с ноября 2010 г. по сентябрь 2011 г.
Fig. 10. Dynamics of the Oktyabrskaya Spit beach from November 2010 to September 2011
Заключение
На примере двух участков, находящихся в разных гидродинамических условиях (акватории Юго-Восточной Балтики и восточной части Охотского моря), выявлено, что сезонные изменения интенсивности морского волнения могут сопровождаться разным характером штормовых событий в стадии затухания. Выявлено, что соотношение медианного значения высоты волны шторма в стадии затухания к ее максимальной высоте может различаться для разных сезонов, что отражает предложенный показатель . В свою очередь, показатель , который характеризует относительную продолжительность стадии затухания шторма, не имеет тенденции к сезонной изменчивости.
Более «энергичный» шторм в стадии затухания (значения близки к 1) можно рассматривать как фактор послештормового восстановления берегового профиля. Изменение данного фактора в масштабе сезонов можно рассматривать как одну из возможных причин сезонных деформаций аккумулятивного рельефа береговой зоны.
В частности, для песчаного берега Октябрьской косы (Западная Камчатка) выявлены деформации берегового профиля, которые можно охарактеризовать как сезонные. Для Юго-Восточной Балтики такие деформации не выявлены. Выявленные различия морфодинамики для двух участков сопровождаются закономерным сезонным ходом показателя для волновых условий Октябрьской косы и отсутствием сезонности в значениях для условий Балтийской косы.
Показано, что изменение интенсивности волнения в течение года не всегда влечет за собой изменение среднего положения берегового профиля. Ключевым фактором могут являться сезонные тенденции изменения волновых параметров внутри штормового цикла. В частности, показана роль энергии волнения шторма в стадии затухания. Предложенный подход является разновидностью предлагаемых другими авторами подходов к анализу структуры шторма. Согласно этим подходам длительность и количество волновой энергии шторма в стадии затухания определяют количество наносов, переносимых в сторону берега.
Предложенный подход к оценке отдельных штормовых событий можно масштабировать на серии штормов или на отдельные сезоны. Группа штормов, следующих за максимальным по интенсивности волнением, может быть рассмотрена как штормы на стадии затухания, которую можно оценить с помощью показателей и , адаптированных к другому временно́му масштабу. Таким образом, на основе многолетних данных о волнении может быть дан прогноз восстановления берегового профиля после характерных сезонных размывов.
1 Shepard F. P. Beach cycles in Southern California. Beach erosion board, 1950. 26 p. (Technical Memorandum ; no. 20).
2 Долотов Ю. С. Динамические обстановки прибрежно-морского рельефообразования и осадконакопления. Москва : Наука, 1989. 269 с.
3 Юркевич М. Г. Кратковременные деформации рельефа подводного склона верхней зоны шельфа // Литодинамика, литология и геоморфология шельфа. Москва : Наука, 1976. С. 257–266.
4 Новейшие отложения и палеография плейстоцена Западной Камчатки / [А. А. Свиточ, К. П. Кривулин, Н. А. Айбулатов и др. ; отв. ред. Б. И. Втюрин, А. А. Свиточ]. Москва : Наука, 1978. 122 с.
About the authors
Dmitrii V. Korzinin
Shirshov Institute of Oceanology, Russian Academy of Sciences
Author for correspondence.
Email: korzinin@ocean.ru
ORCID iD: 0000-0002-7365-8386
SPIN-code: 4902-0371
Scopus Author ID: 56829564800
ResearcherId: A-5093-2017
старший научный сотрудник
Russian Federation, MoscowReferences
Supplementary files












