Variance of Short-Period Sea Level Oscillations in the Black Sea: Seasonal and Interannual Variations
- Authors: Medvedev I.P.1
-
Affiliations:
- Shirshov Institute of Oceanology, Russian Academy of Sciences
- Issue: Vol 40, No 1 (2024)
- Pages: 65-77
- Section: Analysis of observations and methods of calculating Hydrophysical fields in the ocean
- URL: https://bakhtiniada.ru/0233-7584/article/view/256471
- EDN: https://elibrary.ru/HQFDGA
- ID: 256471
Cite item
Full Text
Abstract
Purpose. The study is aimed at investigating the peculiarities of seasonal and interannual variations of the variance of short-period sea level oscillations in the Black Sea.
Methods and Results. Based on the analyses of long-term sea level observation series, the peculiarities of changes in the variance (energy) of synoptic (2–30 days) and mesoscale (2 h – 2 days) sea level oscillations in the Black Sea were studied. The results of spectral analysis made it possible to find out that on the eastern coast of the Black Sea, the spectral density of sea level oscillations increases from summer to winter and decreases from winter to summer within the frequency range 0.1–0.8 cycles/day. As for the northwestern and Crimean coasts, the spectral density is practically the same in autumn and winter, further it decreases in spring and summer. The interannual changes of the variance of synoptic oscillations on the eastern sea coast are characterized by a negative trend achieving –0.25 cm2/year in Batumi and –0.41 cm2/year in Poti. The variance of mesoscale sea level oscillations has the negative trends, the rates of which are from –0.21…–0.24 cm2/year in Odessa and Nikolaev to –0.13 cm2/year in Gelendzhik.
Conclusions. The variance of short-period sea level oscillations in the Black Sea increases from summer to winter and decreases from winter to summer, that is related to the intensification of cyclonic activity in the atmosphere during autumn and winter. In the estuaries of large rivers, a local seasonal decrease in the variance of sea level oscillations is observed in winter due to the developed ice cover preventing the formation of wind surges and seiches. At that, the higher the oscillation frequency, the stronger is the ice cover influence.
Keywords
Full Text
Введение
Черное море – одно из самых изолированных морей Мирового океана. Короткопериодные колебания уровня из смежных бассейнов (Средиземного, Эгейского и Мраморного морей) почти не проходят в акваторию Черного моря из-за узости и мелководности проливов Босфор и Дарданеллы. Вследствие этого короткопериодные колебания формируются непосредственно внутри моря под влиянием атмосферных процессов естественного синоптического периода 1.
В окраинных морях, свободно сообщающихся с открытым океаном, максимальный энергетический вклад в суммарную дисперсию колебаний уровня моря, около 85–90 %, вносят приливы [1]. В Черное море вследствие узости проливов приливы из смежных акваторий также не проникают. В море формируется собственный прилив, который представляет собой реакцию водной массы бассейна на непосредственное воздействие приливообразующих сил [2–4]. Максимальная величина прилива в Черном море меняется от 1 см вблизи Крымского полуострова до 18–19 см в Днепро-Бугском лимане и Каркинитском заливе [3]. Вклад приливов в суммарную дисперсию колебаний уровня Черного моря варьируется от 0,3 % в Севастополе до 6 % в Батуми [5].
В [5, 6] на основе классификации 2 были выделены синоптические (2–30 сут) и мезомасштабные (2 ч – 2 сут) диапазоны периодов колебаний уровня моря. Синоптические и мезомасштабные колебания уровня в Черном море формируются преимущественно под влиянием метеорологических факторов (атмосферного давления и ветра) [7–9]. В мезомасштабном диапазоне периодов динамические процессы формируются под влиянием силы плавучести и вращения Земли вокруг своей оси. Основные виды колебаний уровня Черного моря в этом диапазоне периодов: сейши, сгонно-нагонные явления и приливы 1, 3, 4 [5, 7, 10]. В синоптическом диапазоне изменчивости влияние сил плавучести снижается с увеличением периода колебаний и динамика моря определяется вращением Земли вокруг своей оси и неравномерностью этого вращения с широтой (β-эффект). Основной класс движений в этом случае – планетарные волны Россби [8]. В короткопериодной части синоптической изменчивости моря преобладают баротропные волны, в долгопериодной – бароклинные волны, а в интервале между ними преобладают вихревые движения (синоптические вихри) [8].
Если в мезомасштабном диапазоне изменчивости уровня Черного моря можно выделить устойчивые пики, относящиеся к сейшам и приливам (см. [10]), то в синоптическом диапазоне изменчивости отдельные пики слабо выражены. В [8] представлена сводная таблица полученных различными авторами оценок периодов колебаний в синоптическом и мезомасштабном диапазонах. Доминирующим устойчивым пиком в синоптическом диапазоне является широкое увеличение спектральной плотности на периодах 14–16 сут, характерное для приглубых Крымского и Кавказского побережий [5, 11, 12]. В [13] было показано, что это береговые захваченные волны Кельвина, распространяющиеся против часовой стрелки со скоростью 2,3–2,6 м/с и имеющие характерные высоты до 10–20 см.
В [5] на основе длительных рядов наблюдений на 23 прибрежных станциях были детально исследованы эволюция спектра колебаний уровня Черного моря с увеличением частоты колебаний в различных диапазонах изменчивости от 2 ч до 10 лет и особенности пространственного распределения дисперсии колебаний уровня Черного моря в пяти различных частотных диапазонах. Синоптические и мезомасштабные колебания уровня моря демонстрируют значительную неравномерность распределения дисперсии по акватории. Наибольшие значения наблюдаются в мелководной северо-западной части Черного моря, они обусловлены влиянием приземного ветра. Если на станциях Кавказского побережья Черного моря (Туапсе, Поти, Батуми) и вблизи Крымского побережья (Севастополь) дисперсия сезонных и внутригодовых колебаний уровня моря превышает дисперсию синоптических колебаний уровня примерно в 1,5–2 раза, то в северо-западной части наибольший вклад в суммарную дисперсию уровня вносит синоптическая составляющая. В работе [11] В. А. Иванов и В. П. Ястреб на основе ежечасных рядов оценили энергетические характеристики различных видов колебаний уровня Черного моря в трех пунктах: Поти, Туапсе, Феодосии. Вклад синоптической изменчивости в общую дисперсию изменений уровня моря по данным [11, 14] в 5–13 раз больше вклада мезомасштабных колебаний.
В настоящей работе были продолжены описанные выше исследования [5]. Цель работы – исследовать особенности сезонной и межгодовой изменчивости дисперсии короткопериодных колебаний уровня Черного моря. На основе длительных рядов наблюдений были получены качественные и количественные оценки этой изменчивости.
Материалы и методы
Для анализа были использованы длительные ряды ежечасных наблюдений за колебаниями уровня на 12 прибрежных станциях из работы [5]. На рис. 1 показано географическое положение рассматриваемых станций – это постсоветское побережье Черного моря (побережье России, Украины и Грузии). Длительность данных по станциям сильно различалась – от 3 до 38 лет (табл. 1).
Рис.1. Расположение береговых мареографов, данные которых были использованы в этом исследовании: 1–12 – номера станций. Другие обозначения: М – Мраморное море, Б – Босфор, Д – Дарданеллы
Fig.1. Location of the coastal tide gauges the data of which were used in the study: 1–12 are the station numbers. Other designations: М is the Sea of Marmara, Б is the Bosphorus, Д is the Dardanelles
Сведения о станциях в Черном море, ряды наблюдений которых были использованы
Information on the stations in the Black Sea observation series of which were used
№ станции / Station No. | Станция / Station | Координаты / Coordinates | Период / Period | |
°с. ш. / °N | °в. д. / °E | |||
1 | Большое / Bolshoe | 42,5 | 29,7 | 1977–1984 |
2 | Белгород-Днестровский / Belgorod-Dnestrovsky | 46,2 | 30,4 | 1977–1995 |
3 | Одесса / Odessa | 46,5 | 30,8 | 1977–1995 |
4 | Очаков / Ochakov | 46,6 | 31,6 | 1977–1995 |
5 | Николаев / Nikolaev | 47,0 | 32,0 | 1977–1995 |
6 | Касперовка / Kasperovka | 46,6 | 32,3 | 1977–1995 |
7 | Севастополь / Sevastopol | 44,6 | 33,5 | 1977–1995 |
8 | Ялта / Yalta | 44,5 | 34,2 | 1977–1995 |
9 | Геленджик / Gelendzhik | 44,6 | 38,1 | 1977–1992 |
10 | Сочи / Sochi | 43,5 | 39,8 | 1977–2014 |
11 | Поти / Poti | 42,1 | 41,6 | 1977–1991 |
12 | Батуми / Batumi | 41,7 | 41,6 | 1977–1991 |
Результаты и обсуждение
Сезонные изменения спектра колебаний уровня Черного моря
Спектральная плотность колебаний уровня монотонно спадает при возрастании частоты f колебаний по закону f −2, т. е. соответствует «красному шуму» (рис. 2). Нарушения непрерывного спадания спектра вызваны преимущественно двумя основными факторами: 1) приливными составляющими и 2) частотно-избирательными свойствами бассейна. Приливы проявляются в виде острых спектральных пиков на фиксированных суточных и полусуточных частотах (D и SD на рис. 2). Изменения уровня моря под воздействием переменного атмосферного давления и ветра в основном носят характер случайного шума и имеют спектр в виде непрерывной функции от частоты (континуум). В зависимости от частотно-избирательных свойств всего моря и акватории его отдельных частей (заливов и бухт) меняется характер непрерывной части спектра. Вблизи резонансных частот, где концентрируется энергия собственных колебаний уровня бассейна (сейш), образуются локальные «горбы» непрерывного спектра.
Характер сезонной изменчивости спектров сильно различается в зависимости от частоты. В низкочастотном диапазоне (< 0,8 цикл/сут) наблюдается существенная разница в энергии зимних и летних спектров. Для восточного побережья моря (Батуми и Сочи) характерно увеличение спектральной плотности от лета к зиме и уменьшение от зимы к лету. Причем в осенний и весенний сезоны спектры имеют близкий уровень энергии. Для северо-западного (Очаков, Одесса и Большое) и Крымского побережий уровень спектральной плотности осенью и зимой почти не различается, далее снижаясь к весне и лету. На станциях Николаев, Касперовка и Белгород-Днестровский, расположенных в лиманах крупных рек (Южный Буг, Днепр и Днестр соответственно), уровень спектральной плотности зимой, осенью и весной имеет близкие значения. Увеличение спектральной плотности в осенне-зимний период связано с интенсификацией циклонической активности в атмосфере. В лиманах крупных рек подобного зимнего усиления не наблюдается, видимо, из-за ледяного покрова, который частично демпфирует синоптические колебания уровня моря.
Рис.2. Сезонные спектры колебаний уровня моря на девяти станциях Черного моря
Fig.2. Seasonal spectra of the sea level oscillations at nine stations in the Black Sea
В высокочастотной области спектра (> 1,2 цикл/сут) почти на всех рассматриваемых станциях уровень спектральной плотности в зависимости от сезона слабо меняется. Исключением являются спектры для станции Сочи, где сезонная изменчивость высокочастотных колебаний повторяет особенность, характерную для низкочастотной области спектра этой станции, – усиление в зимний сезон. На станциях, расположенных в лиманах крупных рек (Николаев, Касперовка и Белгород-Днестровский), энергия высокочастотных колебаний уровня зимой даже немного уступает спектральной плотности, характерной для других сезонов года. Вероятно, это связано с развитием ледяного покрова в зимний сезон [15], препятствующего формированию в лиманах колебаний уровня моря ветрового происхождения (нагонов и сейш).
Отдельное внимание на рис. 2 следует обратить на радиационные (термические) приливные спектральные пики на частотах 1 цикл/сут и кратных частотах. Радиационными приливами называются движения воды, непосредственно или косвенным образом связанные с излучением Солнца [3, 10]. Они формируются под совместным воздействием различных периодических факторов: суточных колебаний температуры воды и воздуха, атмосферных приливов и бризового ветра. Подробно об особенностях радиационных и гравитационных приливов в Черном море можно прочитать в [3].
Суточные пики на рис. 2, видимо, имеют существенный вклад радиационной компоненты. Вследствие этого пик с частотой 1 цикл/сут сильно меняется в течение года: зимой он наиболее слабый, на некоторых станциях (Очаков, Николаев, Севастополь) он даже отсутствует. Летом этот пик достигает максимальных значений энергии, даже превышая полусуточный приливной пик на станциях Очаков, Николаев, Касперовка. Следует обратить внимание, что сезонная изменчивость суточного пика на большинстве станций находится в противофазе характеру сезонной изменчивости непрерывной части спектра в диапазоне частот 0,2–2 цикл/сут.
Эти особенности сезонной изменчивости спектра подтверждают гипотезу о бризовом происхождении этих суточных спектральных пиков (см. [3, 10]). На северном побережье Черного моря бризовые ветры наблюдаются с апреля по октябрь [16]. Наибольшая повторяемость бризов наблюдается на Южном берегу Крыма: в среднем свыше 50 сут/год, местами до 190 сут/год (в Ялте) [16]. На Кавказском побережье повторяемость бризов увеличивается в направлении с севера на юг от 18 до 50 сут/год [16]. Согласно [17] энергия суточных колебаний уровня моря у берегов Болгарии летом в 3–4 раза больше, чем зимой. В [18] было показано, что бризовый ветер у берегов Болгарии вызывает суточные колебания уровня с амплитудой около 3–4 см, тогда как влияние суточных изменений температуры воды на изменения уровня моря пренебрежимо мало. Полусуточный спектральный пик на рис. 2 имеет астрономическое приливное происхождение [3], вследствие чего особенных изменений от сезона к сезону не претерпевает.
Сезонные изменения дисперсии синоптических колебаний уровня
Для количественной оценки сезонной изменчивости энергии короткопериодных колебаний уровня Черного моря по каждой месячной серии ежечасных наблюдений были рассчитаны спектры и получены значения дисперсии в различных частотных диапазонах. Для расчета использовались остаточные (неприливные) ряды изменения уровня моря. Они были получены путем вычитания из исходных рядов изменения уровня приливных колебаний, рассчитанных с помощью гармонического анализа по методу наименьших квадратов [3]. Основное внимание было уделено синоптическому диапазону с периодами колебаний от 2 сут до одного месяца, а также мезомасштабному диапазону с периодами колебаний от 2 ч до 2 сут. Дисперсию для выделенных диапазонов можно оценить как , где – спектральное разрешение по частоте, а i меняется в заданных пределах. Далее для каждого месяца были рассчитаны медиана, нижний (первый) и верхний (третий) квартили (25-й и 75-й перцентили соответственно). Края статистически значимой выборки (концы усов) определялись разностью первого квартиля и полутора межквартильных расстояний (в случае нижнего) и суммой третьего квартиля и полутора межквартильных расстояний (в случае верхнего). Межквартильное расстояние (интерквартильный размах, IQR) определяется как разность значений третьего и первого квартилей.
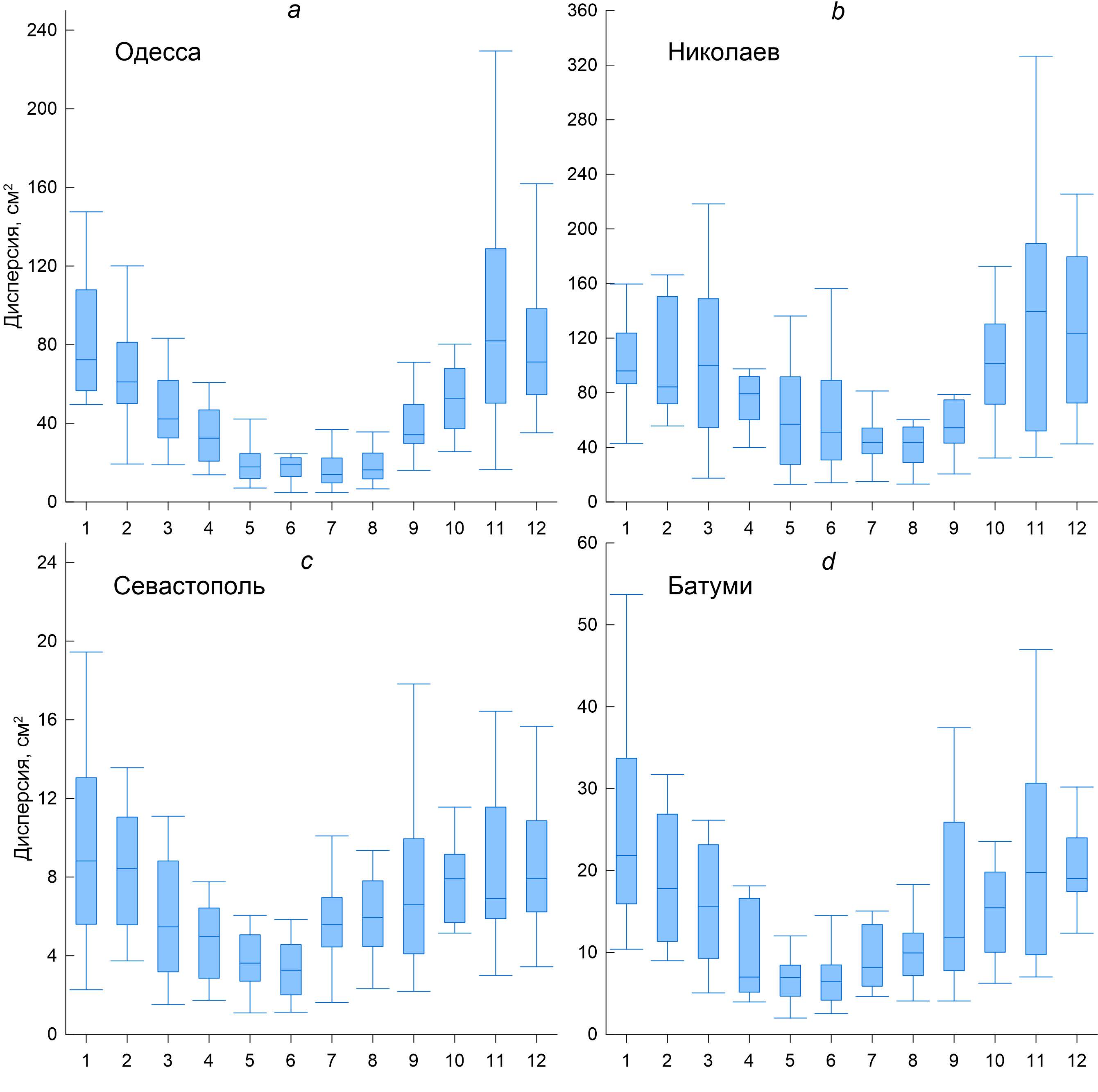
Рис.3. Диаграммы размаха («ящики с усами») сезонных изменений дисперсии синоптических колебаний уровня моря на станциях Одесса (a), Николаев (b), Севастополь (c) и Батуми (d)
Fig.3. Box plots of seasonal variations of the variance of synoptic sea level oscillations at the stations Odessa (a), Nikolaev (b), Sevastopol (c), and Batumi (d)
На рис. 3 показаны рассчитанные диаграммы размаха («ящики с усами») оценок дисперсии синоптических колебаний уровня для станций Одесса, Николаев, Севастополь и Батуми. Для всех четырех станций характерны высокие значения дисперсии в осенне-зимний период и пониженные в летний. Причем в глубоководных частях моря (Севастополь и Батуми) минимум дисперсии наблюдается в мае – июне, в Одессе этот период шире – с мая по август, а в Николаеве смещается к концу лета, на июль – август. Межгодовой разброс оценок дисперсии с ноября по январь также существенно выше, чем в другие месяцы. В северо-западной части моря (рис. 3, a, b) максимальное медианное значение дисперсии так же, как и разброс экстремальных значений, достигает своего максимума в ноябре. В Николаеве, вероятно, сказывается влияние речного стока, повышающего разброс оценок дисперсии в мае – июне. В Севастополе и Батуми максимальные значения медианы наблюдаются в январе (рис. 3, с, d). В сентябре на этих станциях отмечается локальное повышение как медианной оценки, так и разброса.
Рис.4. Диаграммы размаха («ящики с усами») сезонных изменений дисперсии мезомасштабных колебаний уровня моря на станциях Одесса (a), Николаев (b), Севастополь (c) и Батуми (d)
Fig.4. Box plots of seasonal variations of the variance of mesoscale sea level oscillations at the stations Odessa (a), Nikolaev (b), Sevastopol (c), and Batumi (d)
Для мезомасштабного диапазона изменчивости характерны иные диаграммы размаха оценок дисперсии колебаний уровня (рис. 4). Максимальные значения наблюдаются осенью и зимой. Минимальные значения медианы дисперсии в Одессе, Севастополе и Батуми характерны для мая – августа. В Николаеве наиболее низкие значения дисперсии наблюдаются в апреле, мае и ноябре. Разброс значений дисперсии для трех станций (рис. 4, a, c, d) уменьшается от зимы к лету и увеличивается от лета к зиме. Для Николаева характерны нетипичные гистограммы с увеличением медианных значений дисперсии с мая по сентябрь с последующим уменьшением медианы и увеличением разброса к ноябрю – декабрю.
Вероятно, причиной этого эффекта является межгодовая изменчивость ледяного покрова. В годы с максимальной продолжительностью ледяного покрова значения дисперсии мезомасштабных колебаний уровня ниже по сравнению с летними месяцами. Например, это иллюстрируют нижние усы с ноября по март на диаграммах в Николаеве (рис. 3, b). Вследствие того, что продолжительный ледяной покров в Бугском лимане наблюдается почти каждый год [15], медианные значения дисперсии в ноябре – декабре также ниже, чем в остальные месяцы. Для зим со слабым ледяным покровом характерно увеличение дисперсии мезомасштабных колебаний, вызванное циклонической активностью, о чем свидетельствуют максимальные значения диаграмм для зимних месяцев (верхние усы).
Межгодовые изменения дисперсии короткопериодных колебаний уровня
Как было показано в предыдущем разделе, оценки дисперсии для отдельных месяцев меняются год от года. Для анализа межгодовой изменчивости дисперсии короткопериодных колебаний уровня были рассчитаны среднегодовые значения. На рис. 5 показаны ежегодные значения дисперсии синоптических (a) и мезомасштабных (b) колебаний уровня моря. Коэффициент вариации (), отображающий степень изменчивости значений по отношению к среднему значению выборки, составлял от 0,17 для станции Николаев до 0,29 для станции Геленджик. Для межгодовых изменений на восточном побережье моря характерен отрицательный тренд до −0,25 см2/год в Батуми и −0,41 см2/год в Поти, что пропорционально уменьшению на 1,3 и 1,8 % в год от среднего значения соответственно (рис. 5, a). Для Крымского и северо-западного побережий моря ярко выраженный тренд отсутствует, а в Николаеве наблюдается уже слабая тенденция к повышению с 1977 по 1995 г. со скоростью 0,46 см2/год (0,44 %).
Значения дисперсии мезомасштабных колебаний на некоторых станциях также существенно меняются от года к году (рис. 5, b): коэффициент вариации для Севастополя, Геленджика и Поти составляет 0,22, 0,30 и 0,18 соответственно. Для станций Ялта, Одесса, Николаев снижается до 0,13–0,16. В Батуми составляет 0,04, что отображает слабую межгодовую изменчивость значений . Таким образом, две близлежащие станции – Батуми и Поти – имеют разный характер межгодовых изменений (рис. 5, b). Причем если в Батуми значимых тенденций в изменениях не выявлено, то в Поти наблюдается отрицательный тренд со скоростью −0,09 см2/год (1,4 %). В Геленджике характер межгодовых изменений иной, но скорость уменьшения даже выше, чем в Поти: −0,13 см2/год (3,7 %). Для Крымского побережья выраженные тенденции в межгодовой изменчивости отсутствуют. Причем в Севастополе и Ялте межгодовые изменения происходят в противофазе. В Одессе и Николаеве наблюдается сходный характер межгодовой изменчивости со слабым отрицательным трендом (−0,21…−0,24 см2/год; 0,6–0,9 %) в значениях .
Рис.5. Межгодовые изменения дисперсии синоптических (a) и мезомасштабных (b) колебаний уровня Черного моря на станциях Батуми, Поти, Геленджик, Севастополь, Ялта, Одесса и Николаев. Штриховой линией показаны долгосрочные линейные тренды
Fig.5. Interannual changes of variance of the synoptic (a) and mesoscale (b) Black Sea level oscillations at the stations Batumi, Poti, Gelendzhik, Sevastopol, Yalta, Odessa and Nikolaev. Dashed line shows the long-term linear trends
Выводы
Длительные ряды наблюдений за уровнем моря позволили исследовать особенности изменения дисперсии (энергии) колебаний уровня Черного моря. На основе результатов спектрального анализа в настоящей работе были даны количественные и качественные характеристики сезонной и межгодовой изменчивости уровня моря в различных физико-географических условиях.
На восточном побережье Черного моря спектральная плотность колебаний уровня моря увеличивается от лета к зиме и уменьшается от зимы к лету в частотном диапазоне 0,1–0,8 цикл/сут. Для северо-западного (Очаков, Одесса и Большое) и Крымского побережий уровень спектральной плотности осенью и зимой почти не различается, далее снижаясь к весне и лету. Эти особенности сезонной изменчивости спектра колебаний уровня моря связаны с интенсификацией циклонической активности в атмосфере в осенне-зимний период.
В лиманах крупных рек (например, станции Николаев, Касперовка и Белгород-Днестровский) развитый ледяной покров в зимний сезон препятствует формированию ветровых колебаний уровня моря (нагонов/сгонов и сейш), вследствие чего спектральная энергия снижается. Причем чем выше частота, тем все большую роль играет ледяной покров. Так, в синоптическом частотном диапазоне в этих районах моря уровень спектральной плотности зимой близок к осеним и весенним значениям, а в мезомасштабном частотном диапазоне даже ниже их.
Ярко выраженный суточный спектральный пик имеет радиационное (термическое) приливное происхождение, в отличие от полусуточного пика, связанного с классическими астрономическими приливами. Видимо, основной фактор, влияющий на формирование этого пика, – бризовые ветры. Вследствие этого суточный пик слабо выделяется в зимний сезон и достигает своих максимальных значений энергии летом, когда бризовая циркуляция наиболее развита.
Значения дисперсии колебаний уровня меняются как от месяца к месяцу, так и от года к году. Для анализа межгодовой изменчивости дисперсии короткопериодных колебаний уровня были рассчитаны среднегодовые значения. Для межгодовых изменений дисперсии синоптических колебаний на восточном побережье моря характерен отрицательный тренд до −0,25 см2/год в Батуми и −0,41 см2/год в Поти, что составляет 1,3 и 1,8 % от среднего значения соответственно. Дисперсия мезомасштабных колебаний уровня моря имеет отрицательные тенденции со скоростями от −0,21…−0,24 см2/год (0,6–0,9 %) в Одессе и Николаеве до −0,13 см2/год (3,7 %) в Геленджике.
На основе полученных результатов была оценена сезонная и межгодовая изменчивость энергии колебаний уровня Черного моря. В случае мезомасштабного диапазона периодов эти оценки отображают изменчивость колебаний уровня моря ветрового происхождения, в первую очередь сгонно-нагонных явлений и сейш.
1 Герман В. Х., Левиков С. П. Вероятностный анализ и моделирование колебаний уровня моря. Ленинград : Гидрометеоиздат, 1988. 231 с.
2 Монин А. С., Каменкович В. М., Корт В. Г. Изменчивость Мирового океана. Ленинград : Гидрометеоиздат, 1974. 262 с.
3 Изменчивость гидрофизических полей Черного моря / А. С. Блатов [и др.]. Ленинград : Гидрометеоиздат, 1984. 240 с.
4 Архипкин В. С., Иванов В. А., Николаенко Е. Г. Моделирование баротропных сейш в южных морях // Моделирование гидрофизических процессов и полей в замкнутых водоемах и морях. Москва : Наука, 1989. С. 104–117.
About the authors
Igor P. Medvedev
Shirshov Institute of Oceanology, Russian Academy of Sciences
Author for correspondence.
Email: patamates@gmail.com
ORCID iD: 0000-0003-0748-0062
SPIN-code: 1867-8876
Scopus Author ID: 55656381400
ResearcherId: L-6118-2013
ведущий научный сотрудник, кандидат физико-математических наук
Russian Federation, MoscowReferences
- Wunsch C. Bermuda sea level in relation to tides, weather, and baroclinic fluctuations // Reviews of Geophysics. 1972. Vol. 10, iss. 1. P. 1–49. doi: 10.1029/RG010i001p00001
- Medvedev I. P., Rabinovich A. B., Kulikov E. A. Tides in three enclosed basins: the Baltic, Black, and Caspian seas // Frontiers in Marine Science. 2016. Vol. 3. 46. doi: 10.3389/fmars.2016.00046
- Medvedev I. P. Tides in the Black Sea: observations and numerical modelling // Pure and Applied Geophysics. 2018. Vol. 175, iss. 6. P. 1951–1969. doi: 10.1007/s00024-018-1878-x
- Tidal dynamics in the inter-connected Mediterranean, Marmara, Black and Azov seas / C. Ferrarin [et al.] // Progress in Oceanography. 2018. Vol. 161. P. 102–115. doi: 10.1016/j.pocean.2018.02.006
- Медведев И. П. Дисперсионный анализ колебаний уровня Черного моря в широком диапазоне частот // Морской гидрофизический журнал. 2018. Т. 34, № 6. C. 489–500. EDN YPUYWL. doi: 10.22449/0233-7584-2018-6-489-500
- Медведев И. П. О формировании спектра колебаний уровня Балтийского моря // Доклады Академии наук. 2015. Т. 463, № 3. С. 347–352. EDN TZMFEJ. doi: 10.7868/S0869565215210185.
- Иванов В. А., Янковский А. Е. Длинноволновые движения в Черном море. Киев : Наукова думка, 1992. 110 с.
- Иванов В. А., Белокопытов В. Н. Океанография Черного моря. Севастополь : МГИ НАН Украины, 2011. 212 с.
- Медведев И. П. Численное моделирование метеорологических колебаний уровня Черного моря // Океанология. 2022. Т. 62, № 4. С. 546–557. EDN DKZHQY. doi: 10.31857/S0030157422040086
- Медведев И. П., Куликов Е. А. Спектр мезомасштабных колебаний уровня северной части Черного моря: приливы, сейши, инерционные колебания // Океанология. 2016. Т. 56, № 1. С. 10–17. doi: 10.7868/S0030157416010093
- Иванов В. А., Ястреб В. П. О колебаниях уровня Черного моря // Водные ресурсы. 1989. № 2. С. 97–104.
- Stanev E. V., Grashorn S., Zhang Y. J. Cascading ocean basins: numerical simulations of the circulation and interbasin exchange in the Azov-Black-Marmara-Mediterranean Seas system // Ocean Dynamics. 2017. Vol. 67, iss. 8. P. 1003–1025. doi: 10.1007/s10236-017-1071-2
- Aydın M., Beşiktepe Ş. T. Mechanism of generation and propagation characteristics of coastal trapped waves in the Black Sea // Ocean Science. 2022. Vol. 18, iss. 4. P. 1081–1091. doi: 10.5194/os-18-1081-2022
- Горячкин Ю. Н., Иванов В. А. Уровень Черного моря: прошлое, настоящее и будущее. Севастополь : МГИ НАН Украины, 2006. 210 с.
- Гидрометеорологические условия морей Украины. Т. 2 : Черное море / Ю. П. Ильин [и др.]. Севастополь, 2012. 421 с.
- Фомичева Л. А., Рабинович А. Б., Демидов А. Н. Уровень моря // Гидрометеорология и гидрохимия морей СССР. Ленинград : Гидрометеоиздат, 1991. Т. IV : Черное море, вып. 1 : Гидрометеорологические условия. С. 329–354. (Проект «Моря СССР»).
- Мънгов Г. Изследване колебанията на морското ниво по Българското крайбрежие в средномащабен честотен диапазон // Хидрология и метеорология. 1981. Т. 30, № 2. С. 20–32.
- Кръстева Е. Денонощни колебания на черноморското ниво около Варна и Бургас // Проблеми на географията. 1981. Книга 2. С. 15–24. URL: https://geoproblems.eu/wp-content/uploads/archives/1981_2.pdf (дата обращения: 14.01.2023).
Supplementary files







