Extreme Black Sea Storm in November, 2023
- Authors: Dulov V.A.1, Yurovskaya M.V.1, Fomin V.V.1, Shokurov M.V.1, Yurovsky Y.Y.1, Barabanov V.S.1, Garmashov A.V.1
-
Affiliations:
- Marine Hydrophysical Institute, Russian Academy of Sciences
- Issue: Vol 40, No 2 (2024)
- Pages: 325-347
- Section: Mathematical modeling of marine systems
- URL: https://bakhtiniada.ru/0233-7584/article/view/255710
- EDN: https://elibrary.ru/ESLTYQ
- ID: 255710
Cite item
Full Text
Abstract
Purpose. The purpose of the study is to describe comprehensively the extreme storm in the Black Sea in November, 2023 in the terms of characteristics of the wind and wave fields, based on model calculations, satellite data and field measurements.
Methods and Results. The atmospheric fields are calculated using the WRF model, and the wave fields – by the SWAN model. The wind and wave fields, as well as their development during the storm are described in details. The phenomenon of wave shading by the Crimean Peninsula is studied. The data available for the storm period were involved in comparing the calculation results to the data of satellite altimeters, the CFOSAT SWIM wave scatterometer, and the synthetic aperture radars. The data of contact measurements carried out during the storm by the standard equipment installed at the oceanographic platform at the Black Sea hydrophysical subsatellite polygon of Marine Hydrophysical Institute of RAS (the coastal zone of the southern coast of Crimea) are presented. The wave characteristics near the oceanographic platform were calculated using the nested grid method.
Conclusions. It is found that during the storm in the Black Sea in November 2023, the maximum wave heights and the maximum wave periods exceeded 9 m and 13 s, respectively. The calculation results are confirmed by a large amount of satellite data. The results of calculating the characteristics of waves near the oceanographic platform are consistent with the in situ measurements performed from the oceanographic platform. Since the applied configuration of models and their settings permitted to retrieve the fields of wave physical characteristics with a high degree of reliability, they can be used for an authentic forecast of extreme storms in the Black Sea. The shading of waves by the Crimean Peninsula has led to the two and more times decrease in the heights of extreme waves in the coastal waters from the southern tip of the peninsula to Cape Chauda (35.8 оE).
Full Text
Введение
25–27 ноября 2023 г. на Черном море произошел шторм с экстремально сильными ветровыми волнами, повлекший существенные разрушения набережных, причалов и береговых сооружений. В частности, в Севастопольской бухте пострадало здание Института биологии южных морей РАН, что привело к гибели ~ 500 редких морских животных, в районе Севастополя был разрушен ряд бетонных причалов, подтоплены пос Любимовка и окрестности Херсонесского маяка. Серьезные разрушения имели место на Южном берегу Крыма (ЮБК) и на Кавказском побережье Черного моря. Средства массовой информации назвали эту природную катастрофу «штормом века». Cтоль резонансное событие требует обсуждения с точки зрения океанологии и подробного описания в терминах полей физических величин.
Информация об эволюции полей характеристик волн в масштабе моря следует из волнового моделирования, опирающегося на данные о скорости ветра из атмосферных моделей. Современные спутниковые методы зондирования океана, как и данные контактных измерений, позволяют проверить результаты моделирования и подтвердить их достоверность. Тематическое исследование ноябрьского «шторма века» на Черном море, объединяющее моделирование катастрофического события и доступные данные измерений, имеет, по крайней мере, очевидное практическое значение.
Экстремальные черноморские штормы были описаны в ряде работ в рамках изучения ветро-волнового режима в Черном море с использованием данных волнографических измерений на метеопостах [1, 2], численного моделирования волновых полей [3–7], оценок энергетического потенциала волн в Черном море [8, 9]. Примеры модельных расчетов для конкретных экстремальных штормов приведены в работах [7, 10, 11]. Современный уровень исследований как ветро-волнового климата, так и экстремальных штормов предполагает объединенный анализ результатов численного моделирования, спутниковых и контактных измерений [12, 13]. Сравнение результатов моделирования волн в Черном море с контактными измерениями проводилось в работах [5, 14–16], с данными спутниковых альтиметров – в работах [16–18]. Для экстремальных штормов в перечисленных исследованиях максимальные величины высот значительных волн составляют 10–12 м. Выполненные сравнения модельных расчетов со спутниковыми и контактными данными охватывают обширные временные промежутки, в результате вклад экстремальных штормов в такого рода рассмотрения оказывается сравнительно невелик. Поэтому подтверждение адекватности моделирования именно событий экстремальных штормов остается актуальной задачей.
В настоящей работе представлено тематическое исследование черноморского катастрофического шторма 25–27 ноября 2023 г. Ниже подробно описано развитие шторма на основе моделирования с использованием атмосферной модели WRF и волновой модели SWAN. Внимание, уделенное здесь полю ветра, связано с критическим значением его особенностей для формирования поля волн. Подробное описание конфигураций моделей с перечнем использованных параметризаций физических процессов приведено, чтобы дать возможность воспроизвести обсуждаемые ниже результаты. Верификация расчетов выполнена на большом объеме данных доступных спутниковых измерений. Если альтиметрические оценки высот волн ранее неоднократно использовались в исследованиях волнения в Черном море, то данные радара SWIM со спутника CFOSAT для оценок направлений и длин волн в Черном море, по-видимому, использованы впервые. Работа представляет данные контактных волновых измерений с океанографической платформы Черноморского гидрофизического подспутникового полигона Морского гидрофизического института (МГИ) РАН, охватывающих период всего шторма. Цель работы – дать подробное описание эволюции волнового поля при данном шторме и провести по возможности наиболее полную верификацию полученных в расчетах результатов с помощью спутниковых и натурных данных.
Данные и модели
Региональная атмосферная модель WRF. Система оперативного атмосферного прогноза МГИ на основе модели WRF постоянно работает в ФГБУН ФИЦ МГИ с целью обеспечения данными (потоки тепла, влаги и импульса на морской поверхности) модели циркуляции Черного моря в Центре морских прогнозов МГИ, а также для других научных исследований в области взаимодействия атмосферы и моря в регионе. Так как для корректного воспроизведения в прогнозе таких мезомасштабных явлений, как, например, бризы, локальные ветры типа боры, локальные вихри, требуется пространственное разрешение 5–10 км, а общедоступные массивы прогноза не обладают нужной детальностью, применяется технология расчета метеорологических параметров на основе численного решения базовых уравнений термо- и гидродинамики для ограниченной территории в рамках мезомасштабной модели WRF-ARW. В качестве входных данных использовались результаты оперативного глобального атмосферного прогноза NCEP/NCAR в США, который выполняется каждые 6 ч на 16 сут вперед. Эти данные с сокращенным названием GFS общедоступны на сайте https://www.nco.ncep.noaa.gov, имеют пространственное разрешение 0,25°, дискретность 6 ч по времени, 44 уровня по вертикали. Использовалась версия 4.5 модели WRF-ARW, установленная на кластере МГИ. Область моделирования (домен) с горизонтальным шагом расчетной сетки 9 км включала акваторию Черного, Азовского морей и Крымский п-ов, а также акваторию Каспийского, Мраморного, Эгейского морей и частично Средиземного моря. Сетка домена составляла 368 ´ 203 узла, по вертикали имелось 45 уровней. Для параметризации атмосферного планетарного пограничного слоя была выбрана схема Mellor-Yamada-Janjic, для параметризации кучевой конвекции использовалась схема Tiedke, для расчета переноса излучения в атмосфере применялась схема RRTMG, для расчета фазовых переходов воды и льда и переноса гидрометеоров в облаках использовалась схема Thompson, для определения потоков тепла и влаги на поверхности суши использовалась четырехслойная модель почвы NOAH. Документация к модели с подробным описанием параметризаций приведена на сайте https://www2.mmm.ucar.edu/wrf. Поля метеорологических параметров рассчитывались на период c 24.11.2023 г. (00:00) по 28.11.2023 г. (00:00) (здесь и ниже приводится время UTC).
Волновая модель SWAN. В настоящей работе для расчета характеристик экстремального волнения применялась спектральная модель Simulating WAves Nearshore Model Cycle III version 41.45 (SWAN) [19, 20]. Ранее эта модель уже использовалась в МГИ для исследования экстремальных штормовых ситуаций в Азово-Черноморcком бассейне [3, 6, 21, 22]. Модель SWAN относится к спектральным моделям третьего поколения и учитывает источник генерации волн ветром (wind input), нелинейные взаимодействия спектральных гармоник (non-linear quadruplet wave-wave interactions), диссипацию энергии вследствие обрушения волновых гребней (whitecapping) и донного трения (bottom friction) и обрушение волн на критических глубинах (wave breaking) 1. На входе в волновую модель задавалась скорость ветра на высоте 10 м из атмосферной модели WRF. Скорость трения в источнике генерации волн определялась по аэродинамической формуле , где коэффициент сопротивления аппроксимировался полиномом второй степени относительно [23]. Процесс обрушения волновых гребней описывался моделью в формулировке [24], донное трение определялось на основе соотношений из работы [25]. Угловое разрешение модели составляло 10°. По частотной координате использовалось 36 узлов. Минимальное значение частоты = 0,033 Гц. Другие частоты определялись по формуле (n ≥ 1). Интегрирование задачи по времени выполнялось по неявной разностной схеме с шагом 30 мин в режиме параллельных вычислений на кластере МГИ.
Расчет частотно-угловых спектров волн проводился c 24 ноября (00:00) по 28 ноября (00:00). Для анализа использовались поля высоты значительных волн , направление волн на частоте спектрального пика и период волн спектрального пика . Ниже характеристики и T будем называть для краткости высотой, направлением и периодом волн.
Контактные измерения были проведены со стационарной океанографической платформы Черноморского гидрофизического подспутникового полигона МГИ, расположенной примерно в 500 м от берега, где глубина моря составляет ~ 28 м. На рис. 1, а положение платформы показано красной звездочкой на спутниковом оптическом изображении, взятом с сайта https://www.arcgis.com/apps/View/index.html?appid=504e3ff67457481e839bb941a709350f. На изображение также наложена батиметрия ETOPO1 1 Arc-Minute Global Relief Model по данным сайта https://www.ncei.noaa.gov/products/etopo-global-relief-model. Метео- и волнографические измерения осуществлялись в штатном режиме с помощью метеостанции Davis Vantage Pro 2 и струнного волнографа с передачей данных на берег по радиоканалу [14, 26]. По последовательным 20-минутным фрагментам волнограмм традиционным способом [27] были оценены частотные спектры волн , высота значительных волн , частота волн спектрального пика .
Р и с. 1. Расположение океанографической платформы (отмечено красной звездочкой) – a и колонны платформы (выделены цветом) в качестве волнографических датчиков – b
F i g. 1. Location of the oceanographic platform (marked with a red asterisk) – a and the platform piles (highlighted in color) as wave gauges – b
На рис. 1, b показан кадр видеозаписи, выполненной 26 ноября в автоматическом режиме во время шторма в 14:00–14:20. Три вертикальных элемента конструкции, выделенные на рисунке цветом, были использованы как решетка «оптических волнографов». Наблюдаемый в кадре уровень воды на соответствующих вертикальных линиях пересчитывался в вертикальные смещения морской поверхности в трех точках с использованием известного точного положения видеокамеры и ее оптических параметров. Треугольник на рисунке показывает виртуальную плоскость, соединяющую эти точки, которая дает уклоны крупномасштабных волн в двух ортогональных направлениях. Таким образом, эти данные оказываются аналогичными данным стандартного волнового буя 2, а их обработка методом триплет-анализа [28] позволяет оценить частотно-угловой спектр волнения для промежутка времени видеозаписи (более детальное описание метода оценки приведено в [29, 30]).
Спутниковые измерения. В работе использованы данные альтиметров, волнового скаттерометра CFOSAT SWIM и радаров с синтезированием апертуры (РСА) за время действия шторма. Альтиметры традиционно используются для измерения высоты волн [12]. Данные альтиметрии были взяты из открытых архивов службы мониторинга морской среды Коперникус (Copernicus Marine Environment Monitoring Service (CMEMS)) с сайта https://data.marine.copernicus.eu/product/WAVE_GLO_PHY_SWH_L3_NRT_014_001/description. Возможности радара конического сканирования SWIM [31], установленного на китайско-французском спутнике CFOSAT, сегодня являются предметом интенсивных исследований [32, 33]. Инструмент SWIM предназначен для получения оценок пространственного спектра волн, которые, однако, оказались сильно зашумленными [31]. Поэтому в работе использованы лишь направления и длины волн спектрального пика – данные CFOSAT SWIM Level-2 с сайта https://data-cersat.ifremer.fr/projects/iwwoc/. Традиционно используемые в морских исследованиях снимки РСА позволяют на качественном и количественном уровнях судить о полях приводной скорости ветра [34]. Кроме того, они содержат изображения доминантных ветровых волн [35].
Снимки РСА С-диапазона не подвержены влиянию облаков, что особенно важно в экстремальных погодных условиях, когда море закрыто сплошной облачностью. Три использованных снимка РСА С-диапазона были получены с сайта https://browser.dataspace.copernicus.eu. Информация о всех спутниковых данных сведена в табл. 1. Треки альтиметров и радара CFOSAT SWIM показаны на рис. 2.
Р и с. 2. Данные измерений: a – треки спутниковых альтиметров с указанием высоты волн ;b – треки сенсора SWIM (CFOSAT) с указанием направления (стрелки) и длины волн L (цвет)
F i g. 2. Measurement data: a – satellite altimeter tracks indicating the wave heights ; b – tracks ofthe SWIM sensor (CFOSAT) with the indicated wave directions (arrows) and lengths L (color)
Т а б л и ц а 1
T a b l e 1
Спутниковые данные
Satellite data
Физическая характеристика, сенсор / Physical characteristic, sensor | Спутник / Satellite | Номер трека / Track number | Время пролета / Time of flight |
Высота волн, альтиметр / Wave height, altimeter | SARAL-AltiKa CryoSat-2 CryoSat-2 | 1 2 3 | 02:41 (26.11) 09:05 (26.11) 20:14 (26.11) |
Направление и длина волн, SWIM, высота волн, альтиметр / Wave direction and length, SWIM, wave height, altimeter | CFOSAT CFOSAT CFOSAT | 4 5 6 | 04:49 (26.11) 15:30 (26.11) 04:35 (27.11) |
Высота волн, альтиметр / Wave height, altimeter | HaiYang-2B HaiYang-2C JASON-3 JASON-3 Sentinel-3A Sentinel-3B Sentinel-6A Sentinel-6A | 7 8 9 10 11 12 13 14 | 04:41 (27.11) 20:23 (26.11) 21:46 (26.11) 22:08 (27.11) 19:06 (26.11) 08:21(27.11) 12:59 (26.11) 13:21 (27.11) |
Удельная эффективная площадь рассеяния, РСА / Normalized radar cross-section, SAR | Sentinel-1A Sentinel-1A Sentinel-1A | – – – | 04:06 (26.11) 15:20 (26.11) 03:17 (27.11) |
Общая картина шторма на Черном море
Поле ветра. Погода в Черноморском регионе в период 25–26 ноября 2023 г. определялась мощным внетропическим циклоном, центр которого перемещался с Балканского п-ова через Черное море к Крыму и далее на север. Анализ архивных полей давления на уровне моря, геопотенциала и температуры за 25–27 ноября 2023 г. дает следующий сценарий формирования циклона. Циклон зародился на юго-восточной границе глубокой, вытянутой в меридиональном направлении, ложбины в области сильного горизонтального градиента температуры. К юго-востоку от ложбины формируется интенсивный и достаточно компактный циклон, проявляющийся в поле давления на уровне моря. На рис. 3, а показаны траектория циклона и давление на уровне моря в его центре (в гПа) согласно расчетам по модели WRF. Промежутки времени между точками графика равны 6 ч, начальная точка (на юго-западе) соответствует 25 ноября 2023 г. (00:00). Циклоны с подобной траекторией типичны для региона Черного моря, традиционно их принято называть «южными» циклонами. Они формируются над Средиземным морем, движутся на северо-восток, проходят над западной частью Черного моря и далее перемещаются к северу по территории России. К такому типу черноморских циклонов относится известный шторм 10–11 ноября 2007 г., приведший к катастрофическим последствиям, который имел практически такую же траекторию, а максимальная скорость ветра в нем достигала 30 м/с [36].
Р и с. 3. Характеристики атмосферы: трек урагана и давление на уровне моря в его центре (a); линии тока и скорость ветра 26 ноября в 04:00 (b), 09:00 (c), 15:00 (d), 21:00 (e). Спутниковые радиолокационные изображения, полученные 26 ноября в 04:14 (слева) и 15:20 (справа) (f)
F i g. 3. Atmospheric characteristics: hurricane track and sea level pressure in its center (a); streamlines and wind speed on November, 26 at 04:00 (b), 09:00 (c), 15:00 (d), 21:00 (e). Satellite radar images obtained on November, 26 at 04:14 (left) and 15:20 (right) (f)
Рисунки 3, b – e показывают поля ветра над Черным морем согласно расчетам по модели WRF: рис. 3, b демонстрирует весьма сложное поле ветра: ураган входит в юго-западный сектор Черного моря на фоне юго-юго-восточного штормового ветра с областью максимальных значений выше 20 м/c, занимающей центральную и восточную части моря; на рис. 3, c ураган движется над Черным морем на север-северо-восток при сохранении юго-юго-восточного ветра в восточной части Черного моря; на рис. 3, d «глаз» урагана достигает западной оконечности Крымского п-ова и над Черным морем к западу от 37о в. д. поле ветра приобретает явно выраженную циклоническую «центрально-симметричную» структуру, характерную для тропических циклонов; рис. 3, e соответствует моменту времени после выхода урагана на сушу – циклоническое поле ветра охватывает Черное море почти полностью. Далее с течением времени скорость ветра снижается по мере удаления урагана от моря.
На рис. 3, f модельные расчеты подтверждаются доступными спутниковыми радиолокационными изображениями. На светлом фоне изображений, соответствующем обратному рассеянию суши и рассеянию морской поверхности при высокой скорости ветра, выделяются темные области отсутствия штормового ветра. В 04:14 26 ноября (левый снимок) темная область, вытянутая между 43° и 44° с. ш., совпадает с линией смены направления скорости ветра (фронт окклюзии), исходящей из «глаза» урагана и отчетливо видной на рис. 3, b. В 15:20 (правый снимок) отчетливо прослеживается холодный фронт между зонами штормового и умеренного ветра, показанный в модельном поле для времени 15:00 на рис. 3, d.
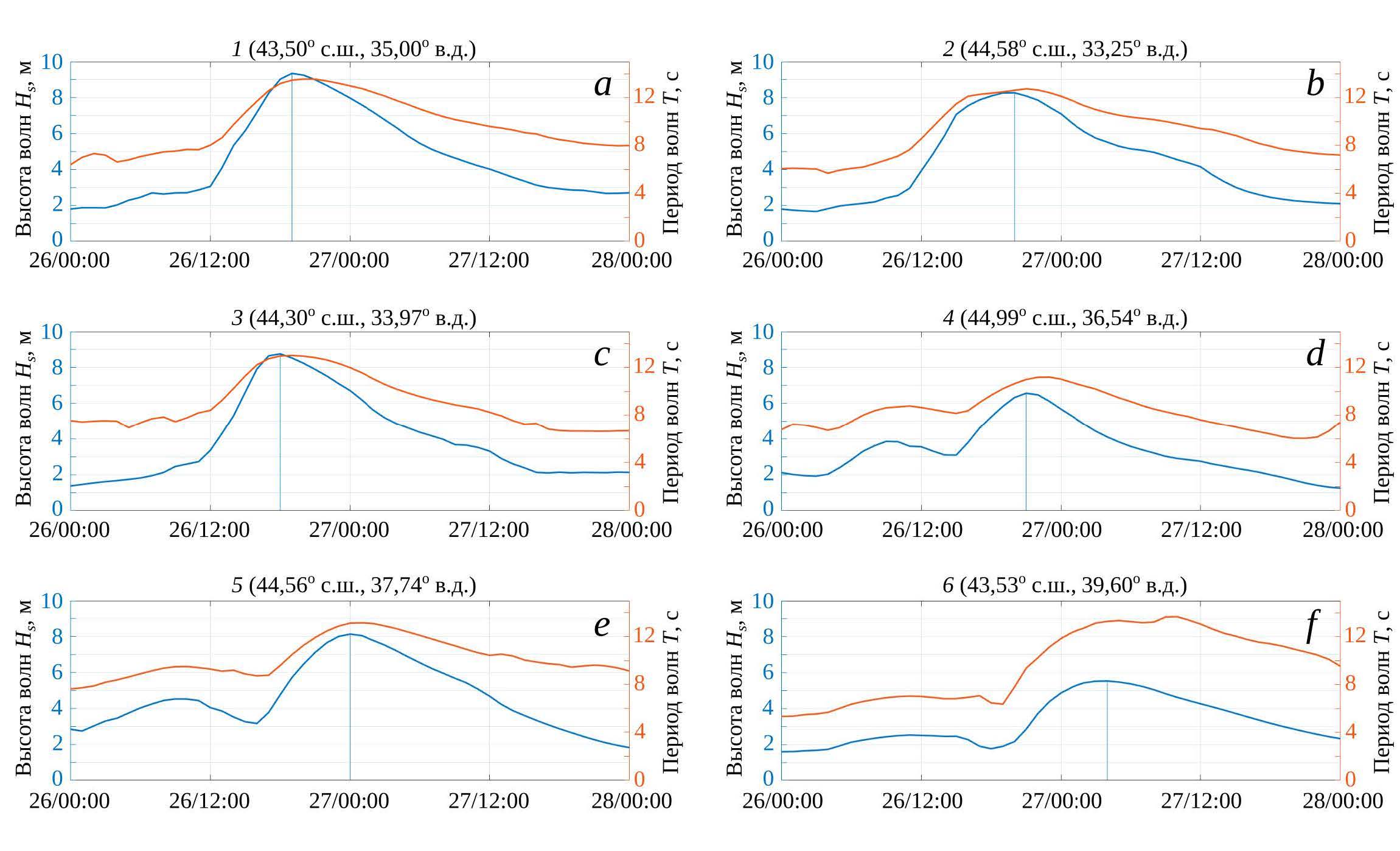
Поле ветровых волн. На рис. 4 и 5 продемонстрировано развитие волнового поля 26.11.2023 г. согласно расчетам по модели SWAN для всего Черного моря на сетке с разрешением 4,5 × 4,5 км (246 × 160 узлов). На рис. 4, a – d показаны пространственные распределения высоты (цвет) и направления (стрелки) волн для четырех моментов времени: 13:00, 16:00, 19:00, 21:00. На рис. 5 приведены временные зависимости высоты и периода волн в шести различных точках моря. Положения точек показаны на рис. 4, e, их координаты – в заголовках вкладок на рис. 5. Точка 1 выбрана в центральной части моря, точки 2 – 6 – на несколько километров мористее Севастополя, пгт Кацивели, Керченского пролива, Новороссийска и Сочи соответственно.
Р и с. 4. Поле ветровых волн: высота и направление волн 26 ноября в 13:00 (а), 16:00 (b), 19:00 (c), 21:00 (d); распределение максимальных высот волн за период действия шторма (e); периоды и направления волн 26 ноября в 21:00 (f)
F i g. 4. Field of wind waves: height and direction of waves on November, 26 at 13:00 (a), 16:00 (b), 19:00 (c), 21:00 (d); distribution of maximum wave heights during the storm period (e); periods and directions of waves on November, 26 at 21:00 (f)
Р и с. 5. Зависимости высот и периодов волн от времени для точек моря, показанных на рис. 4, е: центр моря (1); районы Севастополя (2), Кацивели (3), Керченского пролива (4), Новороссийска (5), Сочи (6)
F i g. 5. Dependences of wave heights and periods on time for the points in the sea shown in Fig. 4, e: center of the sea (1), regions of Sevastopol (2), Katsiveli (3), Kerch Strait (4), Novorossiysk (5), Sochi (6)
К 10:00 в результате прохождения урагана через западную часть моря (рис. 3, b, c) в ней формируется область штормовых волн с высотами до 3 м и периодами до 8 c, распространяющихся на восток и северо-восток. Ее граница еще не достигла центральной части моря (точка 1 на рис. 5), но вблизи побережья Крыма (точки 2 и 3 на рис. 5) можно видеть начало монотонного роста высоты волн. В то же время у Кавказского побережья Черного моря на этот момент уже существуют штормовые волны, порожденные локальным сильным ветром, область которого видна на рис. 3, b, c. Соответственно, в точках 4–6 на рис. 5 высоты волн составляют 3–4 м и выше.
Далее граница области шторма продвигается на восток с ростом высоты и периода штормовых волн. К 13:00 высоты волн достигают 4–5 м (рис. 4, а), начинается отчетливый рост волн в центральной части моря (точка 1) и вблизи Кацивели (точка 3), а также продолжается усиление волнения вблизи Севастополя (точка 2). К 16:00 область наиболее интенсивного штормового волнения захватывает всю центральную часть моря, высоты волн в ней достигают 7 м (рис. 4, b). В 19:00 область шторма продолжает распространяться на восток, высоты волн в ней уже превышают 9 м (рис. 4, c). Примерно в это время достигаются максимумы высоты волн в центре моря (точка 1) и вблизи Кацивели (точка 3). Моменты достижения максимальных высот волн выделены на рис. 5 вертикальными линиями. К 21:00 интенсивные штормовые волны достигают Кавказского побережья Черного моря (точка 5). На рис. 4, d, f показаны поля высот и периодов волн вместе с направлениями волн в 21:00. На всей акватории Черного моря за исключением его западной и восточной оконечностей устанавливается поле развивающихся ветровых волн с направлениями распространения, близкими к направлению ветра, показанному на рис. 3, e. Периоды волн в центральной части моря достигают 12 с и более (рис. 4, f; точка 1 на рис. 5). В восточной части моря четко выделяется фронт штормового волнения (рис. 4, f), распространяющийся на восток. Около 00:00 27 ноября вблизи Новороссийска волны достигают максимальных высот и максимальных периодов (точка 5 на рис. 5), вблизи Сочи начинается рост штормовых волн (точка 6 на рис. 5). Примерно к 04:00 27 ноября волны достигают максимальных характеристик вблизи Сочи (точка 6 на рис. 5). Далее с постепенным снижением скорости ветра происходит снижение высоты волн.
На рис. 4, е приведено распределение по акватории Черного моря максимальных высот волн за период шторма. В центральной части моря, охватывающей почти половину его площади, высоты волн превышали 8 м. Область волн с высотами 8 м и более захватывала районы вблизи Севастополя, Ялты и Новороссийска, высоты волн вблизи Сочи достигали 5–6 м. Максимальные периоды волн превышали 13 с, а в точке 6 в районе Сочи приближались к 14 с (рис. 4, f; точка 6 на рис. 5).
Сопоставление расчета характеристик волн и спутниковых данных. Рис. 6 характеризует соответствие модельных расчетов и спутниковых измерений. На рис. 6, а, c, e показаны примеры сравнения данных альтиметрии и расчета высоты волн в моменты пролетов спутников. Рисунки показывают определенное соответствие как по значениям высоты волн, так и по ее изменчивости вдоль трека. Например, в южных частях всех треков имеет место переход от высоких штормовых волн в центре моря к волнам умеренной высоты на южной периферии шторма в соответствии с модельными расчетами. На рис. 6, а вблизи берега Крыма как в расчете, так и в данных альтиметра прослеживается область пониженной высоты волн.
Р и с. 6. Сопоставление модельных расчетов и спутниковых данных: рассчитанные поля высоты волн с наложенными данными альтиметра 26 ноября в 19:06 (a), 20:23 (c), 21:46 (e). Рассчитанные поля периодов и направлений волн с наложенными данными SWIM 26 ноября в 04:49 (b) и 27 ноября в 04:35 (d). Фрагмент РСА-изображения с наложенным отрезком длиной 1 км (f). Сравнение с расчетом спутниковых данных о высоте (g), периоде (h) и направлении (i) волн
F i g. 6. Comparison of model calculations and satellite data: simulated wave height fields with the superimposed altimeter data from November, 26 at 19:06 (a), 20:23 (c), 21:46 (e); simulated fields of wave periods and directions with the superimposed SWIM data from November, 26 at 04:49 (b) and November, 27 at 04:35 (d); fragment of SAR image with the superimposed line of 1 km long (f). Comparison of simulations and satellite data in terms of wave heights (g), periods (h) and directions (i)
На рис. 6, b, d данные радиолокатора SWIM со спутника CFOSAT наложены на рассчитанные для моментов пролета спутников поля периодов и направлений волн. Расчет периодов волн Т по измеренным со спутника длинам волн L выполнен по дисперсионному соотношению для линейных волн при конечной глубине моря , где ; g – ускорение свободного падения; h – глубина моря в рассматриваемой точке [37]. На рис. 6, b, d рассчитанные по спутниковым измерениям периоды волн показаны в виде кружков, цвет которых соответствует цветовой шкале, а измеренные направления волн показаны стрелками. Время первого пролета спутника (рис. 6, b) соответствует предштормовому состоянию моря – распространению волн, порожденных ветровым полем, существовавшим там до начала рассматриваемого шторма (см. рис. 3, b). Время второго пролета спутника соответствует активной фазе шторма (рис. 6, d), но скорость ветра в районе южной части трека на этот момент уже упала до 15 м/с и ниже. Для рассчитанных по модели периодов волн (13–14 с, см. рис. 6, d) обратный возраст волн не превышает 0,74, что ниже значения 0,83, характеризующего предельно развитые волны со спектром Пирсона – Московица [38]. Таким образом, волны в южной части трека также являются зыбью.
Рис. 6, b показывает соответствие периодов волн при некотором расхождении между рассчитанными и измеренными направлениями волн, что объяснимо в ситуации смешанного волнения, когда одновременно присутствуют развивающиеся волны от зарождающегося шторма в восточной части моря и зыбь, приходящая с запада. Рис. 6, d демонстрирует разумное согласие результатов измерения и моделирования как для периода, так и для направления волн. Однако в южной части трека модельный расчет завышает период зыби по сравнению с измеренным. На рис. 6, f приведен фрагмент спутникового РСА-изображения для точки в восточной части моря с координатами 41,1° в. д. и 42,4° с. ш. (27.11.2023 г., 03:17), где четко видны доминантные волны. На изображение наложен отрезок длиной 1 км. На длине отрезка помещается 4 длины волны, что соответствует длинам волн 250 м и, таким образом, периоду волн 12,7 с. Данная оценка согласуется с результатами измерений CFOSAT SWIM, при этом она ниже значения, полученного по модели (T = 13,95 c). Для рассматриваемой точки скорость ветра по модели WRF составляла = 9,6 м/c, что дает обратный возраст волн = 0,24, т. е. волны явно являются зыбью. Это спутниковое изображение подтверждает завышение периода волн зыби модельным расчетом.
Физические механизмы диссипации и эволюции зыби сегодня не вполне понятны [39–41], и параметризации механизмов эволюции зыби в волновых моделях продолжают совершенствоваться [42–45]. Но в модели SWAN методы расчета зыби и ветровых волн не различаются [41]. Вероятно, именно с этим связаны расхождения в направлении волн зыби при первом пролете спутника и явное завышение моделью периодов волн зыби в южной части трека при втором пролете.
На рис. 6, g – i обобщаются рассмотрения данного подраздела. На рис. 6, g приведено сопоставление с расчетами для данных со всех треков альтиметров, показанных на рис. 2, а и перечисленных в табл. 1. На рис. 6, h, i сопоставление выполнено для всех данных CFOSAT SWIM по периодам и направлениям волн соответственно, при этом точки для первого и второго пролетов спутника показаны красным и синим цветом. В табл. 2 приведены коэффициенты корреляции данных, средние и среднеквадратические значения невязок, рассчитанные по облакам точек на рис. 6, g – i. Отметим, что ошибка измерения высоты волн альтиметром для открытого океана составляет 16 см [46], но в прибрежных районах она может возрастать вплоть до 1,6 м [47]. В недавней работе [46] выполнена валидация данных CFOSAT SWIM на обширном массиве натурных измерений, в результате которой получено, что стандартные ошибки (RMSE) для длин и направлений волн составляют более 38 м и 9,1 град. В то же время невязки для отдельных измерений могут быть более 70 м и 20 град. при наблюдении волн с длиной 225 м (рис. 5 в [46]). Как следует из дисперсионного соотношения для линейных волн на глубокой воде, ошибки в длине волны связаны с ошибками в периоде волны соотношением . То есть ошибка в 38 м при периодах волн 10–13 с соответствует ошибкам оценки периода . Таким образом, можно заключить, что наше сопоставление модельных расчетов с отдельными спутниковыми измерениями показывает весьма разумное согласие. Для целей данной работы важно, что имеет место соответствие высот и периодов наиболее высоких развивающихся волн (Hs = 4–9 м) и направлений волн в активной фазе шторма.
Т а б л и ц а 2
T a b l e 2
Степень соответствия спутниковых и расчетных данных
Degree of consistency between the satellite and calculated data
Характеристика волн / Characteristics of waves | Среднее значение невязки / Bias | Среднеквадратическое значение невязки / RMS | Коэффициент корреляции / Correlation coefficient |
Высота / Height | 0,21 м | 0,66 м | 0,97 |
Период / Period | 0,48 с | 1,4 с | 0,92 |
Направление / Direction |
9 град. |
26 град. |
0,98 |
Шторм у Южного берега Крыма
Явление затенения волн Крымским п-овом. В приведенных модельных расчетах выделяется область понижения высоты волн в прилегающей к берегу акватории от южной оконечности Крыма до м. Меганом (35,08° в. д.) и далее от Феодосийского залива до м. Чауда (35,8° в. д.) (рис. 4, c – e). В этой области высота волн не превышает 4–5 м, в то время как мористее она достигает 8–9 м. Альтиметрические данные подтверждают наличие этой области (рис. 6, а). По контактным измерениям с океанографической платформы, расположенной в западной части области, высота волн не превышала 4 м.
Наличие области связано с затенением Крымским п-овом развивающихся ветровых волн, приходящих с запада. В формировании волнового поля в этой области участвуют волны, приходящие с юго-запада, а также молодые волны, порожденные локальным ветром, и, возможно, эффекты нелинейных процессов и рефракции волн, приходящих с запада и достигших юга Крымского п-ова. Однако эффект затенения в данном случае играет основную роль, поскольку в рассчитанных спектрах волн отсутствуют энергетически значимые (т. е. существенно влияющие на величину HS ) волновые гармоники, распространяющиеся на восток.
На рис. 7 это явление иллюстрируется широтными разрезами поля волн, охватывающими пространственные области отсутствия и наличия затенения (рис. 7, а, разрез 1 соответствует долготе океанографической платформы). На рис. 7, b приведен ход высоты волн на разрезах вдоль широты. На рис. 7, c – h показаны изменения рассчитанных частотно-угловых спектров вдоль разрезов. На этих рисунках, построенных в полярных координатах, частота отложена по радиусу, географический азимут отсчитывается от направления на север (на рисунке – вертикально вверх) и показывает, куда распространяется волновая гармоника. Спектральная плотность указана в условных единицах.
Р и с. 7. Затенение волн Крымским п-овом: a – разрезы 1 и 2, наложенные на рассчитанное поле высот волн; b – высота волн вдоль разрезов 1 и 2; частотно-угловые спектры волн вдоль разрезов 1 (c, e, g) и 2 (d, f, h), где окружности (от большего к меньшему радиусу) соответствуют периодам волн 5, 7, 9, 15 с
F i g. 7. Shading of waves by the Crimean Peninsula: a – transects 1 and 2 superimposed on the simulated field of wave heights; b – wave height along transects 1 and 2; frequency-angular spectra of waves along transects 1 (c, e, g) and 2 (d, f, h), where the circles (from larger radius to smaller one) correspond to wave periods 5, 7, 9, 15 s
К областям разрезов подходят волны, развивавшиеся от западной оконечности моря, которые имеют относительно широкий угловой спектр. Крымский п-ов затеняет часть направлений распространения волн, что приводит к удалению из спектра соответствующих волновых гармоник. В южной части разрезов (рис. 7, e, g) спектры включают волны, распространяющиеся как на северо-восток, так и на юго-восток. В северной части разрезов (рис. 7, c, d) волны, распространяющиеся на юго-восток, отсутствуют из-за затенения. На рис. 7, e, f показан переход между этими состояниями. В результате «вырезания» волн юго-восточного направления из спектра суммарная волновая энергия существенно спадает и высота волн понижается с 9 м до ~ 4 м (рис. 7, а, b).
Благодаря затенению ущерб, причиненный штормом в центральной и восточной частях ЮБК, оказался существенно ниже, чем мог бы быть в отсутствие этого эффекта.
Моделирование волн вблизи океанографической платформы. Измерения волн, выполненные недостаточно далеко от берега, напр., на м. Херсонес или на океанографической платформе в Кацивели, строго говоря, нельзя сравнивать с модельными расчетами на крупной сетке. Для сравнения требуются расчеты на достаточно мелкой сетке, причем модель должна адекватно учитывать влияние эффектов мелководья на эволюцию волн. В работе [14] было выполнено сравнение характеристик волн, рассчитанных с помощью волновой модели WAM Cycle 4 [48] на крупной сетке, с измерениями с океанографической платформы. Были рассмотрены только волны, приходящие со стороны открытого моря, и в результате получено неплохое соответствие. В нашей работе, в отличие от [14], рассматривается экстремальное волнение с длинами волн, достигающими на глубокой воде 200 м и более и значительно превышающими глубину моря 28 м. При этом принципиально важен учет влияния деталей батиметрии на характеристики волн.
Для моделирования штормового волнения в районе океанографической платформы МГИ в период 24–28 ноября 2023 г., как и ранее, была использована модель SWAN Cycle III version 41.45 1, но для повышения пространственного разрешения использовался четырехшаговый метод вложенных сеток. На первом шаге моделировались поля волн для всего Черного моря на сетке с разрешением 4,5 × 4,5 км (246 × 160 узлов). На втором шаге на сетке 0,8 × 1,13 км (234 × 122 узла) рассчитывались волны для акватории, включающей ЮБК. На третьем шаге моделировались волны в прибрежной зоне ЮБК от пгт Понизовка до пгт Симеиз с разрешением 200 × 200 м (171 × 198 узлов). На четвертом шаге с разрешением 15 × 20 м (118 × 91 узел) моделировались поля волн в прибрежной акватории Кацивели, включающей океанографическую платформу. При вычислениях на втором, третьем и четвертом шагах параметры волн на жидких границах расчетных областей определялись интерполяцией модельных данных с предыдущих шагов. В качестве форсинга, как и ранее, использовались поля приземного ветра из мезомасштабной атмосферной модели WRF.
Модель SWAN работает в приближении геометрической оптики: размеры неоднородностей среды должны значительно превышать длины волн. Строго говоря, расчет на четвертом шаге моделирования не является вполне корректным, поскольку шаг сетки оказывается меньше длины волны. Однако береговая линия и рельеф дна в акватории, окружающей платформу, испытывают существенные изменения на масштабах 30–50 м. Четвертый шаг расчета был выполнен, чтобы до некоторой степени учесть эту изменчивость среды в модели. В то же время использование четырехшагового подхода обеспечивает непрерывность решения при приближении к платформе со стороны открытого моря.
Результаты контактных измерений и моделирования. На рис. 8 представлены данные измерений с океанографической платформы в сравнении с расчетом: рис. 8, a показывает скорость и направление ветра; рис. 8, b – высоту и период волн; рис. 8, c, е – временные развертки частотного спектра по измерениям струнного волнографа и расчету соответственно; рис. 8, d, f – частотно-угловые спектры по измерениям «оптического» волнографа и расчету соответственно. Частотно-угловые спектры представлены в полярных координатах, где указан азимут, откуда приходят волны.
Р и с. 8. Контактные измерения и моделирование: скорость и направление ветра измеренные (1 и 3) и рассчитанные (2 и 4) – (а); высота и период волн измеренные (1 и 3) и рассчитанные (2 и 4) – (b); частотный спектр волн по измерениям (с) и моделированию (е); частотно-угловые спектры волн 26 ноября в 14:00–14:20 по измерениям (d) и моделированию (f)
F i g. 8. In situ measurements and simulations: measured (1 and 3) and simulated (2 and 4) wind speed and direction – (а); measured (1 and 3) and simulated (2 and 4) wave heights and periods – (b); measured (c) and simulated (e) frequency spectrum of waves; frequency-angular spectra of waves on November, 26 at 14:00–14:20 based on measurements (d) and simulations (f)
Как следует из этих данных, 26 ноября в промежуток времени 06:00–16:00 происходит смена направления ветра до ~ 255 град. с одновременным ростом его скорости (рис. 8, а). В промежуток времени 16:00–18:00 скорость ветра близка к максимальному значению 28 м/c, а 27 ноября с 18:00 до ~ 02:00 она спадает до 13 м/c при неизменном направлении ветра. Эти характеристики ветра сохраняются 27 ноября до 14:00, после чего его скорость постепенно снижается. Рис. 8, а демонстрирует соответствие рассчитанной скорости ветра и его направления измеренным величинам.
Высота волн 26 ноября (рис. 8, b) в промежуток времени 06:00–15:00 растет до 3–4 м и далее остается примерно на этом уровне до 19:00. В интервале времени 19:00–24:00 происходит снижение высоты волн до 1 м. Рис. 8, b показывает, что расчет качественно правильно описывает временную изменчивость высоты и периода волн, хотя и завышает эти характеристики.
На рис. 8, c показаны изменения со временем спектральной формы волнения, в частности, эволюция частоты спектрального пика. Как следует из рисунка, наиболее сильная трансформация спектра произошла с 10:00 до 14:00. Далее до 22:00 период волн спектрального пика составлял 11,7–12,8 с, что соответствует длинам волн 167–187 м при пересчете с помощью дисперсионного соотношения для поверхностных волн [37] при конечной глубине моря 28 м в точке расположения платформы. Если принять, что частота волн при подходе к берегу сохранялась, то на глубокой воде эти волны имели длину 214–256 м. Сопоставление рис. 7, c, е демонстрирует соответствие частотных спектров волн и их временной изменчивости.
Оценка частотно-углового спектра (рис. 8, d) показывает, что волны основной системы приходят с запада (240 град.), с направления, близкого к направлению ветра, указанному стрелкой. В то же время наблюдается система волн зыби меньшей интенсивности, которые приходят с востока (~ 90 град.). Они порождены ветровым полем, существовавшим в центральной и восточной частях моря на момент прихода циклона (рис. 3, b и его обсуждение) и породившим систему волн, которая наблюдалась со спутника CFOSAT при первом его пролете (рис. 6, d). На рис. 8, d, f показано согласие пространственных спектров: расчет хорошо передает частоту и направление доминантной системы волн. Система волн зыби, приходящих с востока, хотя и с некоторыми искажениями, но также передается расчетом.
Подтверждением исправной работы струнного волнографа может служить наличие в его сигнале колебаний инфрагравитационных частот в диапазоне 0,02 Гц и ниже (рис. 8, c). Эти колебания наиболее интенсивны в период «активного» шторма с наибольшими высотами волн (с 14:00 26 ноября до 09:00 27 ноября) в соответствии с общепринятыми представлениями (напр., [49, 50]). Зафиксированный инфрагравитационный отклик моря на рассматриваемый шторм может быть предметом специального исследования [51].
Соответствие модельных расчетов контактным измерениям с океанографической платформы можно рассматривать как еще одно подтверждение правильности модельного расчета при описании экстремального шторма в Черном море.
Заключение
Тематическое исследование экстремального шторма в ноябре 2023 г. на Черном море представило детальную картину развития шторма в терминах полей физических характеристик волн – высот значительных волн, направлений и периодов волн спектрального пика. Расчет атмосферных полей был выполнен с помощью модели WRF, расчет волновых полей – с помощью модели SWAN. Для проверки результатов моделирования были использованы доступные данные спутниковых альтиметров, волнового скаттерометра CFOSAT SWIM и радаров с синтезированием апертуры, причем данные SWIM были использованы для анализа черноморского шторма, по-видимому, впервые. Данные контактных измерений, проведенных в период шторма штатным оборудованием с океанографической платформы Черноморского гидрофизического подспутникового полигона Морского гидрофизического института РАН, предоставили подробную информацию о шторме в точке прибрежной зоны Южного берега Крыма, где расположена платформа. Для расчета волн в окрестности океанографической платформы с помощью модели SWAN был использован четырехшаговый метод вложенных сеток. Таким образом, выполнено комплексное исследование конкретного катастрофического события с экстремальными характеристиками волн.
Совместный анализ полученных результатов позволяет сделать следующие утверждения:
– результаты модельных расчетов подтверждаются большим объемом спутниковых данных. Расчет характеристик волн вблизи океанографической платформы согласуется с контактными измерениями, выполненными с платформы;
– при шторме в ноябре 2023 г. в Черном море максимальные высоты волн и максимальные периоды волн превышали 9 м и 13 с соответственно;
– поскольку использованные конфигурации моделей позволили получить поля физических характеристик волн с высокой степенью достоверности без привлечения дополнительных источников информации, их можно применять для надежного прогноза экстремальных штормов на Черном море;
– затенение волн Крымским п-овом привело к понижению в два раза и более высоты экстремальных волн в протяженной прибрежной акватории от южной оконечности полуострова до м. Чауда, существенно уменьшив там опасности и риски, связанные с экстремальным штормом.
1 SWAN: Scientific and technical documentation. SWAN Cycle III version 41.45 / The SWAN team. Delft : Delft University of Technology, 2023. URL: swanmodel.sourceforge.io/online_doc/swantech/swantech.html (date of access: 10.04.2024).
2 Earle M. Nondirectional and directional wave data analysis procedures : Report by National Oceanic and Atmospheric Administration (NOAA) ; Report for US Department of Commerce (DOC). NOAA, 1996. 43 p. (Report No. NDBC Technical Document 96-01).
About the authors
V. A. Dulov
Marine Hydrophysical Institute, Russian Academy of Sciences
Email: dulov1952@gmail.com
ORCID iD: 0000-0002-0038-7255
SPIN-code: 8303-6244
главный научный сотрудник, лаборатория прикладной физики моря, отдел дистанционных методов исследований, доктор физико-математических наук
Russian Federation, SevastopolM. V. Yurovskaya
Marine Hydrophysical Institute, Russian Academy of Sciences
Author for correspondence.
Email: mvkosnik@gmail.com
ORCID iD: 0000-0001-6607-4641
SPIN-code: 9366-9773
тарший научный сотрудник, лаборатория прикладной физики моря, отдел дистанционных методов исследований, кандидат физико-математических наук
Russian Federation, SevastopolV. V. Fomin
Marine Hydrophysical Institute, Russian Academy of Sciences
Email: v.fomin@mhi-ras.ru
ORCID iD: 0000-0002-9070-4460
SPIN-code: 6992-2688
главный научный сотрудник, отдел вычислительных технологий и математического моделирования, доктор физико-математических наук
Russian Federation, SevastopolM. V. Shokurov
Marine Hydrophysical Institute, Russian Academy of Sciences
Email: shokurov.m@gmail.com
ORCID iD: 0000-0003-1595-8281
ведущий научный сотрудник, отдел взаимодействия атмосферы и океана, доктор физико-математических наук
Russian Federation, SevastopolYu. Yu. Yurovsky
Marine Hydrophysical Institute, Russian Academy of Sciences
Email: y.yurovsky@mhi-ras.ru
ORCID iD: 0000-0002-9995-3965
SPIN-code: 8482-5777
ведущий научный сотрудник, заведующий лабораторией прикладной физики моря, отдел дистанционных методов исследований, кандидат физико-математических наук
Russian Federation, SevastopolV. S. Barabanov
Marine Hydrophysical Institute, Russian Academy of Sciences
Email: wbarbs@gmail.com
ORCID iD: 0000-0002-2689-161X
SPIN-code: 2761-7629
старший научный сотрудник, отдел взаимодействия атмосферы и океана, кандидат физико-математических наук
Russian Federation, SevastopolA. V. Garmashov
Marine Hydrophysical Institute, Russian Academy of Sciences
Email: ant.gar@mail.ru
ORCID iD: 0000-0003-4412-2483
SPIN-code: 8941-9305
старший научный сотрудник, отдел океанографии, кандидат географических наук
Russian Federation, SevastopolReferences
- Репетин Л. Н., Белокопытов В. Н., Липченко М. М. Ветры и волнение в прибрежной зоне юго-западной части Крыма // Экологическая безопасность прибрежной и шельфовой зон и комплексное использование ресурсов шельфа. Севастополь : ЭКОСИ-Гидрофизика, 2003. Вып. 9. С. 13–28. EDN ZREIKZ.
- Горячкин Ю. Н., Репетин Л. Н. Штормовой ветро-волновой режим у Черноморского побережья Крыма // Экологическая безопасность прибрежной и шельфовой зон и комплексное использование ресурсов шельфа. Севастополь : ЭКОСИ-Гидрофизика, 2009. Вып. 19. С. 56–69. EDN YKTSVR.
- Extreme wind waves in the Black Sea / В. V. Divinsky [et al.] / Oceanologia. 2020. Vol. 62, iss. 1. P. 23–30. https://doi.org/10.1016/j.oceano.2019.06.003
- Дивинский Б. В., Косьян Р. Д. Волновой климат прибрежной зоны Крымского полуострова // Морской гидрофизический журнал. 2018. Т. 34, № 2. С. 101–110. EDN YNHCPR. https://doi.org/10.22449/0233-7584-2018-2-101-110
- Akpınar A., Bingolbali B. Long-term variations of wind and wave conditions in the coastal regions of the Black Sea // Natural Hazards. 2016. Vol. 84, iss. 1. P. 69–92. https://doi.org/10.1007/s11069-016-2407-9
- Полонский А. Б., Фомин В. В., Гармашов А. В. Характеристики ветрового волнения Черного моря // Доповiдi Нацiональної академiї наук України. 2011. № 8. С. 108–112.
- Ефимов В. В., Комаровская О. И. Атлас экстремального ветрового волнения Черного моря // Севастополь : ЭКОСИ-Гидрофизика, 2009. 59 с.
- Дивинский Б. В., Куклев С. Б. Климатические колебания некоторых волновых параметров на входе в Новороссийскую бухту // Океанология. 2022. Т. 62, № 2. С. 186–193. EDN MQJBHB. https://doi.org/10.31857/S0030157422020034
- Rusu L. Assessment of the wave energy in the Black Sea based on a 15-year hindcast with data as-similation // Energies. 2015. Vol. 8, iss. 9. P. 10370–10388. https://doi.org/10.3390/en80910370
- Risk assessment of encountering killer waves in the Black Sea / V. A. Ivanov [et al.] // Geography, Environment, Sustainability. 2012. Vol. 5, no. 1. P. 84–111. https://doi.org/10.24057/2071-9388-2012-5-1-84-111
- Atmospheric modeling for advance warning of weather disasters in the Black Sea region / V. A. Ivanov [et al.] // Geography, Environment, Sustainability. 2013. Vol. 6, no. 4. P. 31–47. https://doi.org/10.24057/2071-9388-2013-6-4-31-47
- Observing sea states / F. Ardhuin [et al.] // Frontiers in Marine Science. 2019. Vol. 6. 124. https://doi.org/10.3389/fmars.2019.00124
- Rusu E. Reliability and applications of the numerical wave predictions in the Black Sea // Frontiers in Marine Science. 2016. Vol. 3. 95. https://doi.org/10.3389/fmars.2016.00095
- Ветровые волны в прибрежной зоне Южного берега Крыма – оценка качества моделирования на основе морских натурных измерений / М. В. Шокуров [и др.] // Океанология. 2016. Т. 56, № 2. С. 230–241. EDN VRYSVD. https://doi.org/10.7868/S0030157416020192
- Divinsky B. V., Kosyan R. D. Spatiotemporal variability of the Black Sea wave climate in the last 37 years // Continental Shelf Research. 2017. Vol. 136. P. 1–19. https://doi.org/10.1016/j.csr.2017.01.008
- Myslenkov S., Chernyshova A. Comparing wave heights simulated in the Black sea by the SWAN model with satellite data and direct wave measurements // Russian Journal of Earth Sciences. 2016. Vol. 16, iss. 5. ES5002. EDN XEUAAR. https://doi.org/10.2205/2016ES000579
- Gippius F. N., Myslenkov S. A. Black Sea wind wave climate with a focus on coastal regions // Ocean Engineering. 2020. Vol. 218. 108199. https://doi.org/10.1016/j.oceaneng.2020.108199
- Quality of the wind wave forecast in the Black Sea including storm wave analysis / S. Myslenkov [et al.] // Sustainability. 2021. Vol. 13, iss. 23. 13099. https://doi.org/10.3390/su132313099
- Booij N., Ris R. C., Holthuijsen L. H. A third-generation wave model for coastal regions: 1. Model description and validation // Journal of Geophysical Research: Oceans. 1999. Vol. 104, iss. C4. P. 7649–7666. https://doi.org/10.1029/98JC02622
- Zijlema M., Van der Westhuysen A. J. On convergence behaviour and numerical accuracy in stationary SWAN simulations of nearshore wind wave spectra // Coastal Engineering. 2005. Vol. 52, iss. 3. P. 237–256. https://doi.org/10.1016/j.coastaleng.2004.12.006
- Модернизированная система оперативного прогноза морского волнения Черноморского центра морских прогнозов / Ю. Б. Ратнер [и др.] // Морской гидрофизический журнал. 2021. Т. 37, № 5. С. 623–640. EDN ZHGTLY. https://doi.org/10.22449/0233-7584-2021-5-623-640
- Фомин В. В., Полозок А. А. Особенности ветрового волнения в Балаклавской бухте в экстремальных ветровых условиях // Экологическая безопасность прибрежной и шельфовой зон моря. 2021. № 1. С. 5–22. https://doi.org/10.22449/2413-5577-2021-1-5-22
- Zijlema M., van Vledder G. Ph., Holthuijsen L. H. Bottom friction and wind drag for wave models // Coastal Engineering. 2012. Vol. 65. P. 19–26. https://doi.org/10.1016/j.coastaleng.2012.03.002
- Komen G. J., Hasselmann S., Hasselmann K. On the existence of a fully developed wind-sea spectrum // Journal of Physical Oceanography. 1984. Vol. 14, iss. 8. P. 1271–1285. https://doi.org/10.1175/1520-0485(1984)014<1271:OTEOAF>2.0.CO;2
- Madsen O. S., Poon Y.-K., Graber H. C. Spectral Wave Attenuation by Bottom Friction: Theory // Coastal Engineering Proceedings. 1988. Vol. 1, no. 21. 34. https://doi.org/10.9753/icce.v21.34
- Смолов В. Е., Розвадовский А. Ф. Применение платформы Arduino для регистрации ветровых волн // Морской гидрофизический журнал. 2020. Т. 36, № 4. С. 467–479. EDN AKIIBG. https://doi.org/10.22449/0233-7584-2020-4-467-479
- Ефимов В. В. Динамика волновых процессов в пограничных слоях атмосферы и океана. Ки-ев : Наукова думка, 1981. 256 с.
- Krogstad H. E. Conventional analysis of wave measurement arrays // Measuring and analysing the directional spectrum of ocean waves / D. Hauser [et al.]. Luxembourg : Office for Official Publica-tions of the European Communities, 2005. P. 56–71. http://dx.doi.org/10.25607/OBP-811
- Dulov V., Kudryavtsev V., Skiba E. On fetch- and duration-limited wind wave growth: Data and parametric model // Ocean Modelling. 2020. Vol. 153. 101676. https://doi.org/10.1016/j.ocemod.2020.101676
- Yurovsky Yu. Yu., Dulov V. A. MEMS-based wave buoy: Towards short wind-wave sensing // Ocean Engineering. 2020. Vol. 217. 108043. https://doi.org/10.1016/j.oceaneng.2020.108043
- New observations from the SWIM radar on-board CFOSAT: Instrument validation and ocean wave measurement assessment / D. Hauser [et al.] // IEEE Transactions on Geoscience and Re-mote Sensing. 2021. Vol. 59, iss. 1. P. 5–26. https://doi.org/10.1109/TGRS.2020.2994372
- CFOSAT: Latest improvements in the swim products and contributions in oceanography / L. Hermozo [et al.] // IGARSS 2022 - 2022 IEEE International Geoscience and Remote Sensing Symposium Proceedings. GRSS, 2022. P. 6768–6771. https://doi.org/10.1109/IGARSS46834.2022.9883958
- Validation of wave spectral partitions from SWIM instrument on-board CFOSAT against in situ data / H. Jiang [et al.] // IEEE Transactions on Geoscience and Remote Sensing. 2022. Vol. 60. 4204013. https://doi.org/10.1109/TGRS.2021.3110952
- Combined co- and cross-polarized SAR measurements under extreme wind conditions / A. A. Mouche [et al.] // IEEE Transactions on Geoscience and Remote Sensing. 2017. Vol. 55, no. 12. P. 6746–6755. https://doi.org/10.1109/TGRS.2017.2732508
- Collard F., Ardhuin F., Chapron B. Monitoring and analysis of ocean swell fields from space: New methods for routine observations // Journal of Geophysical Research: Oceans. 2009. Vol. 114, iss. C7. C07023. https://doi.org/10.1029/2008JC005215
- Шторм 11 ноября 2007 г. в Керченском проливе: хроника событий, математическое моделирование и географо-экологический анализ нефтяного разлива / С. Н. Овсиенко [и др.] // Труды государственного океанографического института. 2008. Т. 211. С. 307–339. EDN PXMGNF.
- Филлипс О. М. Динамика верхнего слоя океана. Л. : Гидрометеоиздат, 1980. 320 с.
- Measurements of wind-wave growth and swell decay during the Joint North Sea Wave project (JONSWAP) / K. Hasselmann [et al.]. Hamburg : Deutschen Hydrographischen Institut, 1973. 95 p. (Ergänzungsheft zur Deutsche Hydrographische Zeitschrift. Reihe A. ; vol. A8, nr. 12). https://doi.org/citeulike-article-id:2710264
- Ardhuin F., Chapron B., Collard F. Observation of swell dissipation across oceans // Geophysical Research Letters. 2009. Vol. 36, iss. 6. L06607. https://doi.org/10.1029/2008GL037030
- Babanin A. V., Jiang H. Ocean swell: how much do we know // Proceedings of the ASME 2017 36th International Conference on Ocean, Offshore and Arctic Engineering. ASME, 2017. Vol. 3A : Structures, Safety and Reliability. V03AT02A010. https://doi.org/10.1115/OMAE2017-61692
- Waves and swells in high wind and extreme fetches, measurements in the Southern Ocean / A. V. Babanin [et al.] // Frontiers in Marine Science. 2019. Vol. 6. 361. https://doi.org/10.3389/fmars.2019.00361
- Semiempirical dissipation source functions for ocean waves. Part I: Definition, calibration, and validation / F. Ardhuin [et al.] // Journal of Physical Oceanography. 2010. Vol. 40, iss. 9. P. 1917–1941. https://doi.org/10.1175/2010JPO4324.1
- Badulin S. I., Zakharov V. E. Ocean swell within the kinetic equation for water waves // Nonlinear Processes in Geophysics. 2017. Vol. 24, iss. 2. P. 237–253. https://doi.org/10.5194/npg-24-237-2017
- Kudryavtsev V., Yurovskaya M., Chapron B. 2D parametric model for surface wave development under varying wind field in space and time // Journal of Geophysical Research: Oceans. 2021. Vol. 126, iss. 4. e2020JC016915. https://doi.org/10.1029/2020JC016915
- Yurovskaya M., Kudryavtsev V., Chapron B. A self-similar description of the wave fields generat-ed by tropical cyclones // Ocean Modelling. 2023. Vol. 183. 102184. https://doi.org/10.1016/j.ocemod.2023.102184
- In situ validation of altimetry and CFOSAT SWIM measurements in a high wave environment / A. Hay [et al.] // Journal of Atmospheric and Oceanic Technology. 2023. Vol. 40, iss. 10. P. 1137–1152. https://doi.org/10.1175/JTECH-D-23-0031.1
- Woo H.-J., Park K.-A. Validation of significant wave height from Jason-3 and Sentinel-3A/B and relation to tidal currents in coastal regions of the Korean Peninsula // International Journal of Re-mote Sensing. 2022. Vol. 43, iss. 3. P. 961–996. https://doi.org/10.1080/01431161.2022.2026520
- The WAM model – A third generation ocean wave prediction model / WAMDI Group // Journal of Physical Oceanography. 1988. Vol. 18, iss. 12. P. 1775–1810. https://doi.org/10.1175/1520-0485(1988)018<1775:TWMTGO>2.0.CO;2
- Infragravity waves: From driving mechanisms to impacts / X. Bertin [et al.] // Earth-Science Reviews. 2018. Vol. 177. P. 774–799. https://doi.org/10.1016/j.earscirev.2018.01.002
- Долгих Г. И., Плотников А. А. Особенности возникновения морских инфрагравитационных волн // Метеорология и гидрология. 2018. № 8. С. 33–38. EDN XZITPV.
- Nose T., Babanin A., Ewans K. Directional characteristics of infragravity waves during storms in the nearshore coastal region // Journal of Coastal Research. 2024. Vol. 40, iss. 2. P. 353–363. https://doi.org/10.2112/JCOASTRES-D-23-00015.1
Supplementary files










