Vertical turbulent exchange in the Black Sea: experimental studies and modeling
- Authors: Samodurov A.S.1, Chukharev A.M.1,2, Kazakov D.A.1, Pavlov M.I.1, Korzhuev V.A.1
-
Affiliations:
- Marine Hydrophysical Institute, Russian Academy of Sciences
- Sevastopol State University
- Issue: Vol 39, No 6 (2023)
- Pages: 735-759
- Section: Thermohydrodynamics of the ocean and the atmosphere
- URL: https://bakhtiniada.ru/0233-7584/article/view/254459
- EDN: https://elibrary.ru/LCDZNK
- ID: 254459
Cite item
Full Text
Abstract
Purpose. The paper is purposed at summarizing the main results of experimental and theoretical studies of vertical turbulent exchange in the upper mixed and stratified layers of the Black Sea carried out in recent years.
Methods and Results. The equations for semi-empirical dependences of turbulence intensity on the governing parameters are proposed, based on a large amount of experimental data on the turbulent structure obtained at the research vessels and the stationary oceanographic platform using modern high-frequency equipment combined with the conventional measurements of main hydrophysical characteristics. The experimental data obtained were used to verify the theoretical models and to specify the empirical coefficients in the proposed equations. A multiscale model was applied additionally to the Kraus – Turner model to forecast reliably the upper mixed lay deepening after a storm has passed. The turbulent energy dissipation rate and the turbulent diffusion coefficient in the stratified layers were found using the data on microstructure of the hydrophysical fields. The coefficient dependences on buoyancy frequency in different layers are expressed by a power function with different degree indices.
Conclusions. Having been examined in detail, the stratification conditions as well as the large array of sounding data made it possible to identify five layers with different density gradients and different mechanisms dominant in generating turbulence. Such a differentiation specifies the expressions describing the turbulent diffusion intensity depending on the layer depth and the physical and geographical conditions affecting vertical exchange. On the whole, the resulting power-law dependences agree well with the earlier developed 1.5D model of vertical turbulent exchange for the Black Sea. The proposed way of considering the effect of the turbulence generation mechanisms in the upper mixed layer improves the correspondence between the model calculations and the experimental data. The Kraus – Turner model supplemented with the multiscale turbulence model permits to forecast deepening of the mixed layer resulting from storm conditions.
Full Text
1. Введение
Вертикальный турбулентный обмен играет существенную роль во всех океанологических процессах: физических, химических, биологических, во многом определяет способность моря к самоочищению, переносу естественных и антропогенных примесей. Вертикальное распределение температуры, солености, биогенных элементов, кислорода зависит от интенсивности турбулентного перемешивания, его пространственной и временной изменчивости. Процессы на поверхности моря, связь между поверхностными и гравитационными волнами, ветром и течениями в прилегающих пограничных слоях являются важнейшими факторами в глобальной климатической системе [1].
Принципиально важным фактором, влияющим на развитие и интенсивность вертикального обмена в океане, является плотностная стратификация. Механизмы генерации турбулентности в верхнем квазиоднородном слое и в стратифицированных слоях существенным образом различаются, исследуются они, как правило, разными методами, и используются, соответственно, различные подходы к моделированию.
Для адекватного описания физических и других процессов в верхнем перемешанном слое моря необходимы максимально точное понимание сложных взаимодействий между течением, поверхностным волнением, турбулентностью и соответствующая параметризация. Наиболее распространенный в нас-тоящее время метод – использование полуэмпирических соотношений, которые позволяют оценивать потоки импульса, энергии и вещества с помощью коэффициентов обмена и градиентов соответствующих величин. Однако многообразие гидрометеорологических ситуаций, большая изменчивость этих коэффициентов и отсутствие надежных соотношений для их расчета далеко не всегда позволяют получать удовлетворительное соответствие рассчитанных и измеренных величин.
Различные исследователи доминирующими механизмами генерации турбулентности считали как поверхностные волны [2, 3], так и сдвиг скорости дрейфового течения [4]. В дальнейшем в качестве главного источника турбулентности предполагались обрушивающиеся волны [5], сдвиг скорости дрейфового течения учитывался во вторую очередь. В многомасштабной модели [6] рассматриваются все три перечисленных выше механизма генерации, но в ряде случаев она также не дает хорошего совпадения с экспериментальными результатами. Возможной причиной расхождения модельных расчетов с измерениями является, в частности, отсутствие в модели таких источников турбулентности, как циркуляции Ленгмюра (ЦЛ) и микрообрушения.
В [7] разработано граничное условие с параметризацией волн, зависящей от напряжения ветра. В [8] Л. Канта и К. Клайсон пересмотрели модель замыкания турбулентности для включения эффектов Ленгмюра путем добавления дрейфа Стокса в уравнение баланса турбулентной энергии. Их результаты показали, что разрушение волн влияет на свойства перемешанного слоя в верхних нескольких метрах, в то время как ячейки Ленгмюра способствовали углублению перемешанного слоя. В работах [9–11] и других рассмотрены различные аспекты волновых обрушений, сделаны экспериментальные оценки параметров, характеризующих потери энергии волны и трансформацию этой энергии в турбулентность.
В основной толще устойчиво стратифицированного океана в удалении от резких фронтальных зон, областей яркого проявления механизмов двойной диффузии и т. п. основным источником поддержания диссипации энергии и вертикальной турбулентной диффузии служит механизм сдвиговой неустойчивости в поле квазиинерционных внутренних волн (ВВ) [12]. Оценкам вклада этого механизма в вертикальный обмен посвящено немало публикаций. Основное направление этих исследований связано с поиском степенных зависимостей скорости диссипации энергии ε и связанного с ней через соотношение Осборна [13] коэффициента вертикальной турбулентной диффузии от частоты плавучести N. Зная распределение частоты плавучести по глубине на основе гидрологических наблюдений, легко получить зависимость от глубины коэффициента диффузии.
Для выявления искомых теоретических зависимостей применяются различные подходы. Например, в работах [14–16] используются аналитические и численные модели ВВ, учитывающие механизмы нелинейной передачи энергии к волнам низких частот и малых вертикальных масштабов. В итоге авторы получили квадратичную зависимость скорости диссипации энергии от частоты плавучести. В других работах [17, 18] были получены различные степенные зависимости ε от N, в которых показатель степени был от 1 до 2. Отметим, что каждая из указанных моделей предлагает единую степенную зависимость для всего стратифицированного слоя, что, на наш взгляд, не отражает реальную картину процессов вертикального обмена.
Современные данные о тонкой структуре [19] показывают, что турбулентность в глубинных слоях океана (на глубинах до 5300 м со скоростью диссипации порядка 10−10 м2×с−3) генерируется за счет короткопериодных (< 0,5 ч) довольно интенсивных ячеек опрокидывания с вертикальным масштабом менее 5 м. Поскольку обнаружено, что инерционный поддиапазон турбулентности простирается во внутреннюю волновую полосу, опрокидывание происходит преимущественно в результате сдвига скорости течения, связанного с инерционными частотами.
В предыдущих работах, проводившихся в отделе турбулентности в последние годы [20, 21], была построена модель климатического спектра ВВ в океане, которая адекватно описывает наблюдаемую структуру одномерных спектров в океанском пикноклине; а также разработана модель для определения зависимости скорости диссипации турбулентной энергии и коэффициента турбулентной диффузии от локальной частоты плавучести для учета вклада в перемешивание сдвиговой неустойчивости квазиинерционных ВВ. В этой модели рассматриваемая область разделяется на две части: верхний стратифицированный слой и основной пикноклин. Показано, что структура зависимости коэффициента вертикальной турбулентной диффузии от стратификации должна быть различной для каждого из рассматриваемых слоев. В работе [20] основное внимание уделяется роли неустойчивости и обрушения инерционно-гравитационных ВВ в переходной зоне, разделяющей шельф и свал глубин, как фактору интенсификации перемешивания и вертикального обмена в верхнем стратифицированном слое Черного моря. В дальнейшем впервые на основе 1,5D (полуторамерной) модели в общей стратифицированной глубине Черного моря выделено пять слоев с различными коэффициентами вертикального обмена, зависимыми от стратификации [21]. Такой усовершенствованный подход к описанию турбулентной структуры в стратифицированной толще моря позволяет уточнить особенности вертикального обмена в различных слоях, учесть влияние динамических факторов и топографию дна.
На основе экспериментальных данных в наших работах был получен ряд результатов, позволяющих дать более ясную картину зависимости интенсивности турбулентного обмена от условий среды и физических процессов, влияющих на вертикальное перемешивание в квазиоднородном и в стратифицированных слоях Черного моря. Представить обобщенную картину практических методов оценки коэффициентов обмена ставилось в качестве цели данной работы.
2. Турбулентный обмен в верхнем перемешанном слое моря
2.1. Развитие многомасштабной модели турбулентности.
Турбулентность вблизи поверхности моря исследуется сотрудниками отдела турбулентности уже довольно длительное время как экспериментально, так и теоретически. В частности, разработанная физико-математическая многомасштабная модель турбулентного обмена в приповерхностном слое достаточно хорошо соответствует экспериментальным данным [6, 22]. Тем не менее нередко наблюдаются ситуации, когда ни одна из рассматривавшихся моделей, включая многомасштабную, не дает хорошего результата. Возможной причиной этого является неполный учет существующих механизмов генерации турбулентности, в частности циркуляций Ленгмюра (ЦЛ) [3].
Методика экспериментального исследования ЦЛ была разработана на основе работ [23–25]. Для регистрации нисходящих и восходящих потоков в зонах конвергенции и дивергенции, возникающих в когерентных структурах Ленгмюра, применяется акустический измеритель DVS6000 (рис. 1, а), расположенный чуть выше середины перемешанного слоя. На этом же горизонте располагается измеритель «Восток-М» (рис. 1, b) для регистрации осредненных значений скорости течения, электропроводности и температуры. Позиционный вариант измерительного комплекса «Сигма-1» (рис. 1, с) используется для оценки интенсивности турбулентных процессов. Процесс экспериментального изучения ЦЛ заключается в следующем: при установившейся скорости ветра 7–17 м/с на морскую поверхность выбрасываются маркеры в виде листов плотной бумаги размером ~ 10 × 15 см, которые при наличии ЦЛ выстраиваются в хорошо видимые полосы. Оцениваются визуально формирование полос, их ширина, расстояние между полосами, видимыми по маркерам, водорослям или морской пене, в процессе проведения эксперимента проводится фото- и видеофиксация состояния поверхности. Комплекс «Сигма-1» размещается последовательно на горизонтах от 1 до 7 м для записи пульсационных характеристик с выдержкой на каждом горизонте по 15–20 мин.
Наблюдения сопровождались регистрацией фоновых гидрометеорологических параметров: скорости и направления ветра, температуры, характеристик волнения.
Рис. 1. Набор измерителей для исследования турбулентности в приповерхностном слое моря: DVS6000 (а), «Восток-М» (b), «Сигма-1» (с)
Fig. 1. Set of devices for studying turbulence in the sea near-surface layer: DVS6000 (a), Vostok-M (b) and Sigma-1 (c)
По визуальным наблюдениям полос Ленгмюра на поверхности установлено:
- при скорости ветра до 4 м/с полосы достаточно слабо выражены;
- визуально хорошо заметными полосы становятся при скорости ветра более 6 м/с;
- при устойчивом ветре со скоростью 9–13 м/с появляются стабильные, четко выраженные полосы;
- при скоростях 16–20 м/с полосы достаточно быстро разрушаются, так как при резком изменении направления ветра полосы не успевают «перестроиться», они неустойчивы и быстро смешиваются.
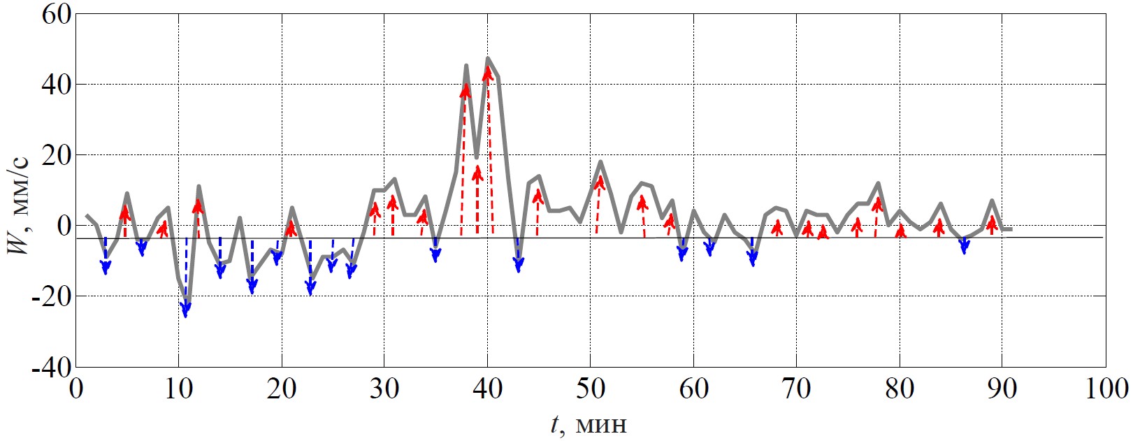
По непрерывным данным, полученным измерителем скорости течения DVS6000 в течение нескольких суток, были выделены зоны конвергенции и дивергенции. Поскольку структуры ЦЛ постепенно смещаются вправо от направления ветра, в области измерений мы последовательно видим чередование этих зон. Пример записи изображен на рис. 2 (измерения на горизонте 2,5 м). Следует отметить, что строгая регулярность чередования зон в наших записях встречается далеко не всегда. Вертикальное направление скорости потока в зонах конвергенции и дивергенции обозначено на изображении красными и синими стрелками. В наших данных, как и в данных измерений многих других авторов, в зонах конвергенции скорости выше (амплитуда W на рис. 2), но ширина полос меньше, чем в зонах дивергенции. В зонах конвергенции обнаружено увеличение горизонтальной скорости течения почти в два раза, что также наблюдалось многими другими авторами. Максимальная скорость смещения структур вправо от направления ветра Vсмещ = 0,014 м/с зарегистрирована при наибольшей скорости ветра V10 = 11,8 м/с, когда еще сохранялась устойчивая система ЦЛ.
Рис. 2. Зоны конвергенции и дивергенции на записи вертикальной составляющей скорости на горизонте 2.5 м в течение 90 мин. Красными и синими стрелками отмечены локальные максимумы скорости в восходящих и нисходящих потоках
Fig. 2. Convergence and divergence zones on the record of vertical velocity component at the 2.5 m horizon during 90 min. Red and blue arrows indicate the local velocity maxima in the upward and downward flows
Различная амплитуда вертикальных скоростей и отсутствие четкой периодичности зон конвергенции и дивергенции на записях объясняется, на наш взгляд, сложной системой ЦЛ: внутри более крупной ячейки Ленгмюра могут располагаться две и более структуры меньших масштабов.
Анализ синхронных записей вертикальных скоростей DVS6000 и вертикальных пульсаций скорости, регистрируемых комплексом «Сигма», выявил достаточно четкие пики коэффициента положительной и отрицательной взаимной корреляции, но в целом уровень корреляции проанализированных величин оказался невелик, что можно объяснить удаленностью приборов друг от друга.
Статистически достоверной корреляции интенсивности турбулентности (скорости диссипации турбулентной энергии ε) с характеристиками ЦЛ на данном этапе установить не удалось. Однако выявлен режим, при котором ЦЛ увеличивают интенсивность турбулентного перемешивания в приповерхностном слое, – это изменения направления ветра на угол Δα в диапазоне 10–20° что, на наш взгляд, приводит к перестроению ЦЛ и увеличению неустойчивости движений жидкости. Для параметризации этого процесса и, в конечном итоге, разработки прогностической модели необходимо более глубокое изучение вопроса. Апробированная методика регистрации ЦЛ и учета их влияния на турбулентное перемешивание показала достаточную эффективность, тем не менее некоторые важные характеристики по таким измерениям определить не удается, в частности пространственную структуру ЦЛ, включая их направление. Возможно, также требуется более тщательная экспериментальная проверка расчета скорости поперечного смещения структур.
Как уже говорилось, экспериментальные наблюдения ЦЛ проводились с целью их параметризации и включения этого механизма в физико-математические модели турбулентного перемешивания. Наиболее перспективной в этом плане представляется многомасштабная модель турбулентности, в которой уже рассматриваются все основные механизмы генерации турбулентности в приповерхностном слое [6]. В ее новом усовершенствованном варианте добавлена возможность учитывать влияние стоксова дрейфа и ЦЛ.
Энергетический спектр в многомасштабной модели разделен на диапазоны, в которых турбулентность генерируется разными механизмами: сдвигом скорости течения (Pτ), поверхностными волнами (Pw) и их обрушениями (Pbr). Дополнительно во второй диапазон вводятся механизмы генерации стоксовым дрейфом (PS) и ЦЛ (PL). В третьем диапазоне (инерционном) турбулентность не генерируется, а переносится по спектру от малых к большим волновым числам. В каждом из этих диапазонов циркулирует соответствующее количество энергии (E). Схематично расчет в этой модели генерации, передачи энергии по спектру и диссипации (ε) представлен на рис. 3.
Рис. 3. Схема расчета генерации турбулентной энергии, ее передачи по спектру и диссипации в многомасштабной модели [6]
Fig. 3. Scheme of calculating turbulent energy generation, its transfer along the spectrum and dissipation in the multiscale model [6]
Для учета стоксова дрейфа рядом исследователей предлагается простое аддитивное соотношение, где рассматривается увеличение суммарного сдвига скорости:
.
На рис. 4 приведены результаты расчетов по усовершенствованной многомасштабной модели для конкретного случая. Из рисунка видно, что учет влияния стоксова дрейфа на скорость диссипации изменяет вид зависимости. Расчеты с реальными входными параметрами, полученными в измерениях (скорость ветра, высота и частота спектрального пика волнения), показывают, что этот механизм добавляет к суммарной по 30-метровому слою скорости диссипации турбулентной энергии от 2 до 17 %.
Сравнительный анализ экспериментальных данных, полученных нами с помощью указанного выше набора измерительный аппаратуры, с расчетами по многомасштабной модели [6] показал, что включение в модель ЦЛ как источник турбулентности, приводит к улучшению соответствия расчетов и измерений. К сожалению, недостаточная изученность механизма ЦЛ не позволяет на данном этапе применять какой-либо общепринятый метод параметризации. Различными авторами [26–29] предлагаются разные методы учета этого механизма в моделях. В качестве основного параметра обычно рассматривается турбулентное число Ленгмюра, введенное в [30]:
где – динамическая скорость в воде; US0 – стоксов дрейф на поверхности.
Рис. 4. Скорость диссипации турбулентной энергии ε, рассчитанная по многомасштабной модели [6] без учета стоксова дрейфа (красная кривая) и с учетом стоксова дрейфа (зеленая кривая). Точки – экспериментальные данные; V10 – скорость ветра на высоте 10 м; Hs – высота значительных волн; fp – частота спектрального пика волнения
Fig. 4. Turbulent energy dissipation rate ε calculated by the multiscale model [6] with no account for the Stokes drift (red curve) and with account for the Stokes drift (green curve). Dots are the experimental data; V10 is the wind speed at the 10 m height; Hs is the height of significant waves; fp is the frequency of spectral peak of sea waves
Фактически число Ленгмюра характеризует относительное влияние вызванного ветром сдвига скорости и сдвига стоксова дрейфа на турбулентность пограничного слоя. Стоксов дрейф определяется формулой
,
где A, k и ω – амплитуда, волновое число и частота волн соответственно; z – глубина.
Из всех рассмотренных нами параметризаций ЦЛ наиболее подходящей оказалась формула, предложенная в [29]:
(1)
где w’ – вертикальные пульсации скорости; – динамическая скорость в воде; LaSL – число Ленгмюра, рассчитанное по стоксову дрейфу, осредненному по 1/5 верхней части перемешанного слоя. В наших экспериментах вклад ЦЛ в общую турбулизацию мог достигать 15 % (при Lat = 0,63).
Одним из отличий указанной многомасштабной модели является наличие в уравнении баланса турбулентной энергии дополнительного члена, описывающего турбулентный перенос волновой кинетической энергии в нижние слои в результате взаимодействия поверхностного волнения и турбулентности [31]. В первоначальной версии модели в качестве масштаба пульсаций скорости использовалась динамическая скорость . Учет ленгмюровской циркуляции в форме формулы (1) приводит к замене динамической скорости на . Как отмечается в [30], в волновом слое отношение может достигать 1,8.
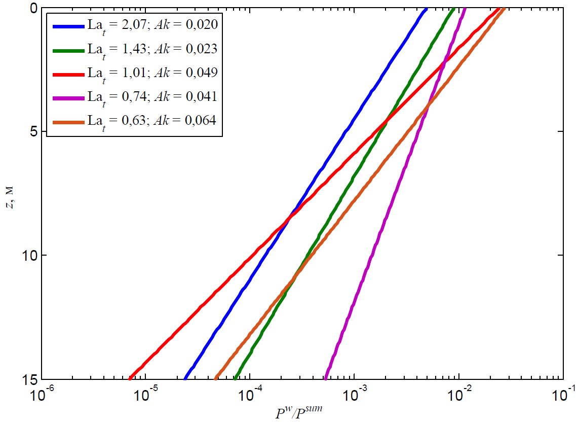
Рис. 5. Зависимость относительного вклада генерации поверхностным волнением от турбулентного числа Ленгмюра для реальных гидрометеорологических условий [25]. Ak – крутизна волн
Fig. 5. Dependence of the relative contribution of surface wave generation upon the turbulent Langmuir number for real hydrometeorological conditions [25]. Ak is the wave steepness
Результаты расчетов с реальными гидрометеорологическими условиями отношения скорости генерации волновыми движениями к общей скорости генерации турбулентной энергии Pw/Psum с учетом зависимости (1) при разных числах Ленгмюра представлены на рис. 5. То есть рост вертикальной скорости переноса волновой кинетической энергии приводит к увеличению влияния волнения на общую генерацию турбулентности. В определенном смысле уменьшение числа Ленгмюра характеризует увеличение крутизны поверхностных волн Ak, т. е. усиление нелинейных эффектов в волновых движениях, что приводит к росту общей турбулизации слоя.
2.2. Моделирование динамики верхней границы термоклина.
Недостаточно точная параметризация турбулентного перемешивания верхнего квазиоднородного слоя океана нередко приводит к ощутимым систематическим ошибкам определения глубины перемешанного слоя и значений температуры поверхности океана в глобальных климатических моделях. В наших исследованиях проводились натурные наблюдения динамики толщины этого слоя под влиянием штормовых условий и сделана попытка смоделировать этот процесс. За основу бралась одномерная модель сезонного термоклина Крауса – Тернера [32], которая дополнялась соотношениями для расчета генерации турбулентности из многомасштабной модели [6].
Как известно, модель Крауса – Тернера представляет собой систему уравнений, описывающих эволюцию верхней границы сезонного термоклина под влиянием потоков тепла и механического перемешивания:
,
где – температура поверхности моря; – температура на глубине ; – начальное положение границы термоклина; – инсоляция; – потоки тепла (эффективное излучение поверхности моря, потери тепла на испарение, контактный турбулентный обмен с атмосферой); – вклад механического перемешивания; – диссипация энергии; – масштабный коэффициент, характеризующий уменьшение энергии проникающего солнечного излучения с глубиной.
Модернизация модели Крауса – Тернера заключалась в более детальном представлении вклада механической энергии перемешивания, который рассчитывался как
,
где слагаемые в подынтегральном выражении описывают генерацию турбулентности сдвигом скорости , поверхностным волнением и обрушивающимися волнами ; q – вероятность обрушений; g – ускорение свободного падения; α – коэффициент теплового расширения. Для расчета этих составляющих турбулентной энергии использовались соотношения [6]
; ; ,
где νt – коэффициент турбулентной вязкости; – динамическая скорость в воде; – постоянная Кармана; U – скорость дрейфового течения; Ew – кинетическая энергия волнения; b0 – ширина гребня обрушивающейся волны; sw, Cbr, Cj – константы.
Параметризация потоков тепла учитывает воздействие инсоляции, эффективного излучения поверхности моря, испарения и контактного турбулентного обмена в соответствии с эмпирическими формулами Шулейкина 1.
Решение системы уравнения относительно позволяет определить положение верхней границы термоклина. Основной акцент на данном этапе делался на оценке влияния турбулентного перемешивания, вызванного штормом, на заглубление верхней границы сезонного термоклина. Модельные расчеты верифицировались с помощью экспериментальных данных, полученных собственными измерениями, и данных установленного на стационарной платформе МГИ термопрофилемера, любезно предоставленных П. В. Гайским. Предполагалось, что основным перемешивающим фактором является турбулентность, которая под воздействием ветра генерируется описанными выше механизмами.
Пример модельного профиля (черная кривая) и данных термопрофилемера представлен на рис. 6.
Рис. 6. Сглаженная модельная кривая динамики толщины верхней границы сезонного термоклина (черная кривая) во время прохождения шторма 8 июля 2021 г. и экспериментальные данные, полученные термопрофилемером. Коэффициент корреляции сглаженных модельных данных и натурных измерений составляет ~ 0,9
Fig. 6. Smoothed model curve of dynamics of the upper boundary thickness of seasonal thermocline (black curve) during the storm passage on July 8, 2021, and the experimental data obtained by a thermoprofiler. Correlation coefficient between the smoothed model data and the in situ measure-ments is ~ 0.9
Результаты расчетов по натурным гидрометеорологическим данным показывают, что модель Крауса – Тернера, дополненная соотношениями из многомасштабной модели, вполне удовлетворительно соответствует фактическому изменению толщины верхнего пограничного слоя. Коэффициент корреляции модельных расчетов эволюции профиля температуры с натурными данными в большинстве случаев был в пределах 0,7–0,9. Расхождение наблюдений с модельными расчетами, кроме несовершенства модели, может быть вызвано влиянием неучтенных факторов, влияющих на вертикальный обмен. К этим факторам можно отнести как локальные течения (циклонические и антициклонические), возникающие в прибрежной зоне, так и процессы апвеллинга/даунвеллинга и конвекцию.
3. Вертикальный обмен в стратифицированных слоях
3.1. Область и период исследования.
Чтобы получить соотношения для практических оценок коэффициентов диффузии в стратифицированных слоях моря, изучить влияние основных факторов, в том числе параметров стратификации и физико-географических условий, на турбулентный режим, необходимы подробные экспериментальные исследования тонкой и микроструктуры гидрофизических полей на разных глубинах и в различные сезоны. Такие исследования проводились сотрудниками отдела турбулентности в экспедициях на научно-исследовательских судах в Черном море.
Рис. 7. Карта выполненных станций за весь анализируемый период измерений
Fig. 7. Map of the performed stations over the whole analyzed period of measurements
В настоящей работе были использованы результаты гидрологических измерений и данные о микроструктурных профилях гидрофизических полей, полученные в 87, 94, 102, 110 и 122-м рейсах НИС «Профессор Водяницкий» за 2016–2022 гг. Расположение выполненных станций показано на рис. 7, работы по сбору данных о микроструктуре гидрофизических полей были проведены сотрудниками отдела турбулентности. Сбор информации осуществлялся в северной части Черного моря в пределах экономической зоны России с целью определения характеристик вертикального турбулентного перемешивания и фоновых характеристик среды в исследуемом регионе. В 122-м рейсе благодаря новому микроструктурному зонду была впервые получена информация не только о пульсационных характеристиках скорости и температуры, но и о вертикальном распределении содержащегося в воде кислорода, хлорофилла а и о мутности вплоть до глубин более 900 м. В целом анализируемые данные охватывают периоды весна – лето – осень, что позволяет сделать определенные статистические выводы. Исследования в данном регионе предусматривали получение зависимостей коэффициента вертикальной турбулентной диффузии K от частоты плавучести N и от глубины z по пульсационным характеристикам потока и сравнение их с гидрологическими данными на соответствующих станциях, а также общий анализ гидрофизических особенностей исследуемых участков и их окрестностей.
Сопоставление экспериментальных данных с известными моделями турбулентности показало, что лучшее соответствие расчетов и измерений дает 1,5D-модель, учитывающая изменяющуюся с глубиной среднюю площадь бассейна. В модели предполагалось, что изменчивость основных характеристик турбулентного перемешивания с глубиной зависит от доминирующего источника турбулентности на данных горизонтах.
3.2. Приборы и методы.
В проведенных исследованиях съемка фоновых гидрологических характеристик проводилась сотрудниками группы экспедиционного обеспечения МГИ комплексами CTD SBE 911plus и Idronaut Ocean Seven 320 PlusM.
В качестве микроструктурного измерительного зондирующего прибора в 2016– 2018 гг. применялся комплекс «Сигма-1.5» [33], в котором регистрация пульсационных гидрофизических величин осуществляется в режиме свободного падения в воде со скоростью 0,7 м/с до заданной глубины (максимально до 300 м), а в 2022 г. – комплекс MSS90L, многопараметрический микроструктурный зонд, оснащенный датчиками мутности, температуры, солености, сдвига скорости, кислорода, давления и собственных колебаний (акселерометрами с гироскопом), который может работать вплоть до глубин 1000 м (рис. 8).
Рис. 8. Зондирующие комплексы «Сигма-1.5» (сверху) и MSS90L (снизу)
Fig. 8. Microstructure probes “Sigma-1.5” (top) and MSS90L (bottom)
Микроструктурный датчик комплекса «Сигма-1.5» измеряет непосредственно три компоненты пульсаций вектора скорости (частота дискретизации 100 Гц), тогда как в MSS90L измеряется вертикальный градиент горизонтальных пульсаций скорости (∂u/∂z, ∂v/∂z, далее все формулы будут относиться к обеим компонентам) с частотой дискретизации 1024 Гц. Вертикальная компонента не рассматривается в связи с большой скоростью самого прибора по вертикальной оси. Для того чтобы снизить влияние выбросов и шумов, вызванных вибрацией прибора, аппаратными токами и воздействием микробиоты на чувствительные элементы датчиков, использовались соответствующие алгоритмы по их удалению, а затем применялся полосовой фильтр для удаления шумов высокой (ограничение по колмогоровскому волновому числу) и низкой (ограничение по инерционному поддиапазону спектра турбулентности) частоты. Скорость диссипации турбулентной энергии определялась по соотношению , где ν – кинематическая вязкость. Расчет дисперсии производился путем интегрирования значений спектра градиента горизонтальных пульсаций скорости в выделенном диапазоне волновых чисел по методу Велча. Данный метод позволяет дать оценку ε с хорошим вертикальным разрешением, здесь мы ограничились разрешением 2 м. Качество полученных спектров пульсаций оценивалось по среднему абсолютному отклонению от модельного спектра Насмита [34].
Оценка ε проводилась также методом, описанным в работe [35], по соотношению , где L – эффективный вертикальный масштаб перемешанного пятна для фиксированного интервала глубин, который определялся исходя из вертикального масштаба устойчивого минимума в мелкомасштабной области вертикального спектра первых разностей [36]. Частота плавучести N (частота Вяйсяля – Брента) как основной параметр, характеризующий плотностную устойчивость, определяется по формуле . Расчет таким методом производился на 10-метровых интервалах глубин для ограниченного количества станций в пределах прикерченского участка шельфа в районе резкого свала глубин.
Коэффициент вертикальной турбулентной диффузии рассчитывается по формуле
,
где Rf – динамическое число Ричардсона (отношение скорости возрастания потенциальной энергии в системе к скорости поступления туда энергии, расходуемой на перемешивание). Значение Rf в данной работе принималось равным ¼, в соответствии с приближенным результатом из работы [37].
3.3. 1,5D-модель.
На основе большого количества экспериментальных данных и модельных наработок в предыдущих исследованиях был получен ряд важных результатов, характеризующих особенности вертикального турбулентного обмена в стратифицированных слоях Черного моря, позволивший установить степенную зависимость коэффициента диффузии тепла и солей от частоты плавучести N для глубоководной части исследуемого бассейна. Показатели этой степенной функции определяются характером внутренних волн в конкретной среде, но также зависят от особенностей топографии дна [38]. Сама модельная зависимость K(N) (черная линия) с аппроксимациями (белые линии) для выделенных слоев представлена на рис. 9.
Рис. 9. Зависимость коэффициента вертикальной турбулентной диффузии K от частоты плавучести N в стратифицированных слоях интервала глубин 50–1750 м для глубоководной части Черного моря [21]
Fig. 9. Dependence of the vertical turbulent diffusion coefficient K on buoyancy frequency N in the stratified layers within the depth interval 50–1750 m for the Black Sea deep part [21]
Всего в результате анализа было выделено пять стратифицированных слоев с характерными для них особенностями вертикального турбулентного обмена, подробно описанных в [21]:
I слой. Располагается в интервале глубин от 50 до 70 м и представляет собой нижний деятельный слой (холодный промежуточный), находящийся в непосредственной близости к верхнему деятельному слою, который служит для него источником различных возмущений и, как следствие, является причиной формирования в нем внутренних волн. Обрушиваясь, эти волны поддерживают в слое турбулентный обмен. Еще одним источником турбулентного обмена здесь являются квазиинерционные внутренние волны (квазигоризонтальные стратифицированные неустойчивые течения), локальные обрушения которых формируют турбулентные пятна [12].
II–III слои. Находятся в интервалах глубин от 70 до 100 м и от 130 до 650 м соответственно, с переходной областью между ними, представляя собой основной пикноклин исследуемого бассейна. Как было установлено в [39], вертикальный турбулентный обмен поддерживается здесь за счет сдвиговой неустойчивости лучевых квазиинерционных внутренних волн (квазигоризонтальных течений). Различие этих слоев в стратификации: верхний слабо стратифицирован, а нижний – сильно стратифицирован. Характерные масштабы волн во втором слое, передающих свою энергию в турбулентность, зависят также от производной функции частоты плавучести N.
IV слой. Вероятным гидрофизическим механизмом турбулентного обмена в этом глубоководном слое является интрузионное расслоение в нижнем стратифицированном слое, вызванное геотермальным потоком тепла от наклонного дна бассейна. Лежит этот слой в интервале глубин от 1350 до 1550 м. Пространство, находящееся между III и IV слоем, представляет собой переходную зону с убыванием влияния одних механизмов перемешивания и усилением других, но уже с иной степенной зависимостью.
V слой. Последний из рассмотренных слоев занимает глубины 1600–1750 м и точно примыкает к придонному однородному слою, рассмотренному в работе [40] (не представлен на рисунке). Формирование вертикальной структуры в этом стратифицированном слое в основном определяется совместным воздействием двух факторов: теплом, непрерывно поступающим от дна и поддерживающим стационарность однородного слоя, и повышенными значениями солености, обусловленными поступлением в нижние слои соленых вод нижнебосфорского течения.
3.4. Результаты.
По результатам измерений зондирующего комплекса «Сигма-1,5» и расчетов получены пространственные распределения K и N для верхнего стометрового слоя с интервалом глубин 3 м. Анализировались осредненные зависимости для станций, в месте расположения которых глубина моря находится в четырех диапазонах: от 0 до 150; от 150 до 500; от 500 до 1300; более 1300 м (в соответствии с наличием возможных эффектов, описанных в [21]). На рис. 10 приводятся профили для соответствующих диапазонов глубин.
Как видно из графиков, по мере отдаления от шельфовой зоны и увеличения глубины местонахождения станции, происходит трансформация профиля, который повторяет модельное распределение K с его характерными точками перегиба, но с бо́льшими значениями коэффициента. Особенно хорошо это видно на примере 94-го рейса, данные в котором были собраны преимущественно в северо-западной части исследуемого региона и в районе резкого свала глубин вблизи прикерченского участка шельфа. С увеличением числа станций, выполненных в отдалении от шельфового склона и над глубоководной частью Черного моря (87, 102, 110-й рейсы), изменение K с глубиной приближается к модельному диапазону значений – порядка 10−5 м2×с−1. Это свидетельствует о снижении влияния наклонного дна с увеличением глубины на общую картину турбулентного перемешивания в диапазонах глубин 500 м и более, что подтверждает значительное влияние на обменные процессы в верхних стратифицированных слоях Черного моря эффектов, описанных в [11].
Рис. 10. Профили К(z) по результатам измерений (a – d) и расчета по 1,5D-модели (e)
Fig. 10. K(z) profiles resulted from the measurements (a – d) and the 1.5D model calculations (e)
На рис. 11 приведено сравнение модельного распределения K(z), N(z) и результатов измерений, полученных в 122-м рейсе НИС «Профессор Водяницкий». На верхней оси графиков отложены значения частоты плавучести (красная кривая), на нижней – K (синяя кривая). Рассчитанные по измеренным комплексом MSS90L параметрам среды (рис. 11, a, c), значения коэффициента в данном случае на два порядка выше, чем полученные в результате 1,5D-моделирования значения (рис. 11, b, d). Расчетные величины были получены с дискретностью по глубине 2 м и усреднялись по всем станциям для соответствующих диапазонов глубин с последующим применением фильтра Савицкого – Голея с целью выделения основной тенденции изменения этих величин с глубиной.
В связи с политической ситуацией в стране, измерения в 2022 г. в 122-м рейсе проводились только в территориальных водах РФ в пределах 12-мильной береговой зоны, главным образом приходящейся на районы прикерченского участка шельфа и континентального склона вблизи Южного берега Крыма. Результаты расчета по новым данным показали очень хорошую корреляцию с модельными в области основного и сезонного термоклинов, вплоть до сходимости в степенной части аппроксимационной зависимости . Для слоя I α ≈ –2, для слоя II α ≈ –1. Экспериментальные зависимости в пяти слоях, выделенных на модельном распределении (рис. 11, b, d), соответствуют аппроксимационным из рис. 9. Однако наличествуют, по меньшей мере, три условных слоя, где значения коэффициента отличаются от модельных. Эти слои отличаются интенсивностью генерации турбулентности, которая определяется в основном сдвиговой неустойчивостью, и зависят от различных гидрофизических факторов.
Рис. 11. Профили K(z) и N(z) по результатам измерений 122-го рейса НИС «Профессор Водяницкий» (a, c) и расчета по 1,5D-модели (b, d). Римскими цифрами указан номер слоя
Fig. 11. K(z) and N(z) profiles resulted from the measurements in the 122nd cruise of the R/V Professor Vodyanitsky (a, c) and the 1.5D model calculations (b, d)
Для более ранних измерений значения степени в аппроксимационных зависимостях варьируются в пределах от α = –1,5 до α = –2,3, что, однако, в среднем по совокупности измерений давало результат, близкий к α ≈ –1,8. Коэффициенты C существенно различаются на несколько порядков. Такие различия обусловлены, как отмечалось ранее в [41], особыми гидрологическими режимами в рассматриваемых диапазонах глубин и фактом охвата нескольких условных областей по глубине, в которых перемешивание осуществляется различными физическими механизмами. В 94-м рейсе, приходящемся на конец весны – начало лета, показатели степени менялись в зависимости от глубины места от α = –1,9 до α = –2,6, в среднем α ≈ –2,2. В летнем 102-м рейсе α = –1,6…–2,7, что в среднем составляет тоже α ≈ –2,2. Однако для осеннего 110-го рейса порядок значений коэффициента С и показателя степени зависимостей изменился: α = –0,7…–2,3 со средним значением для исследуемого региона α ≈ –1,5, что обусловлено изменением общего гидрологического режима в нем.
По ряду станций расчет дал неоднозначные результаты с неравномерным распределением коэффициента по глубине, демонстрирующие сильный разброс значений, что можно объяснить особенностью горизонтальных течений [42], однако для более точного ответа нужно больше статистических данных. Пример сравнения результатов расчета с фактическими скоростями течений на такой станции можно увидеть на рис. 12. Как видно из рисунка, максимальные значения коэффициента находятся в слоях от 40 до 70 м и от 140 до 160 м. В интересующем нас интервале глубин (до 100 м) зарегистрировано течение с наибольшими значениями скорости в том же диапазоне глубин, в котором рассчитаны максимальные значения K, – от 40 до 70 м. На некоторых станциях результаты расчета показали аномально высокие значения K (рис. 13), достигающие порядка 10−4÷10−3 м2×с−1. Можно предположить, что в этих случаях существовали какие-то локальные механизмы генерации турбулентности, приводящие к таким аномальным результатам. Природа отмеченных аномалий пока не выяснена.
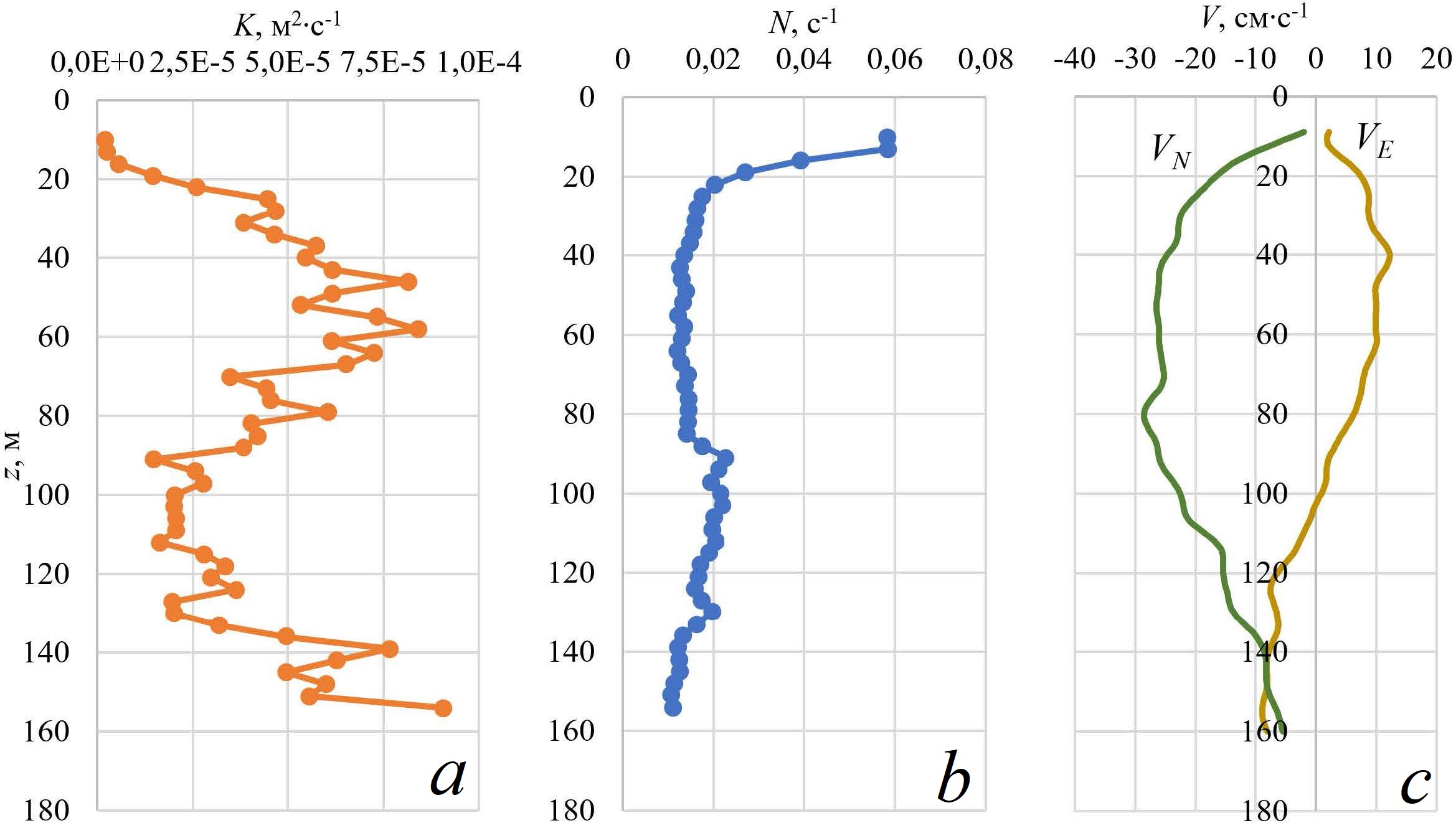
Рис. 12. Распределение K (a), N (b) и скорости течений (c) с глубиной по результатам расчета и данным измерений ADCP на ст. 10 87-го рейса НИС «Профессор Водяницкий». VE и VN – зональная и меридиональная составляющие скорости течения соответственно
Fig. 12. Distribution of K (a), N (b) and current velocities (c) with depth based on the calculation results and the ADCP measurement data at station 10 of the 87th cruise of the R/V Professor Vodyanitsky. VE and VN are the zonal and meridional current velocity components
Таким же образом был получен ряд карт пространственного распределения средних, минимальных и максимальных значений K и N с картами глубин залегания этих значений для каждого из рейсов, что при сопоставлении с результатами работ [43–46] позволило сделать ряд важных выводов. Результаты анализа экспедиционных данных показали, что наиболее вероятной причиной повышения значений K является совместное воздействие нескольких интенсифицирующих турбулентное перемешивание факторов: станции находились в зоне действия антициклонических ответвлений или в зонах перемежаемости циклонических и антициклонических вихрей, образующихся под влиянием Основного Черноморского течения [20]. И, что не менее важно, в большинстве случаев повышенная интенсивность турбулентности наблюдается на станциях, находящихся вблизи бровки шельфа либо над континентальным склоном в районе резкого свала глубин, что может быть вызвано процессами, описанными в работе [20].
Рис. 13. Средние значения K на станциях 94-го (a) и 122-го (b) рейсов НИС «Профессор Водяницкий». Точками обозначены выполненные станции
Fig. 13. Average values of K at the stations of the 94th (a) and 122nd (b) cruises of the R/V Professor Vodyanitsky. Dots indicate the performed stations
При сравнении результатов с известными на данный момент гидрологическими данными [43–46] была также установлена взаимосвязь между глубиной залегания максимума K и глубиной проникновения верхнего квазиоднородного слоя, глубиной залегания холодного промежуточного слоя и максимума вертикального градиента температуры: чем выше поднимается холодный промежуточный слой и максимум градиента, тем ближе к нему будет находиться максимум K. В то же время, чем ниже будет располагаться граница верхнего квазиоднородного слоя, тем выше будут лежать максимальные значения K. Этим также объясняются аномальные значения K на некоторых станциях, так как здесь совмещаются факторы: большая глубина верхнего квазиоднородного слоя (до 50 м около Керченского полуострова) при относительно небольшой глубине холодного промежуточного слоя (~ 70 м над шельфом).
4. Заключение
Представленные результаты являются определенным обобщением исследований, проводившихся сотрудниками отдела турбулентности МГИ в последние годы. В основном работы проводились в двух направлениях: изучение турбулентных процессов в верхнем квазиоднородном слое, непосредственно граничащем с атмосферой, и изучение закономерностей турбулентного обмена в стратифицированных слоях. Все параметризации и полуэмпирические соотношения базируются на больших массивах экспериментальных данных, собранных в процессе исследований на протяжении ряда лет.
Недостаточно адекватное представление о процессах взаимодействия атмосферы и океана, упрощения в моделировании турбулентного обмена в ВКС приводят к значительным ошибкам при расчетах глубины перемешанного слоя и температуры поверхности океана. Проведенные исследования турбулентности в приповерхностном слое моря, учет циркуляций Ленгмюра и усовер-шенствование многомасштабной модели турбулентного обмена развивают наши представления о механизмах вертикального перемешивания и повышают объективность модельных расчетов. Апробированы методики исследования ЦЛ различными инструментальными средствами, получен ряд важных характеристик, необходимых для параметризации этого явления. Показано, что более детальное определение величины генерации турбулентной энергии различными механизмами позволяет с большей точностью использовать сравнительно простые модели динамики толщины перемешанного слоя. Модель Крауса – Тернера, дополненная расчетами по многомасштабной модели турбулентности, вполне удовлетворительно описывает, в частности, заглубление верхней границы сезонного термоклина при прохождении шторма.
Исследования закономерностей турбулентного обмена в стратифициро-ванных слоях важны для оценки вертикальных потоков тепла, солей, раство-ренных химических веществ, в том числе биогенных элементов. Диапикни-ческий перенос, обусловленный динамикой внутренних волн, их обрушения-ми, является важнейшим механизмом вентиляции глубоких слоев в водной толще. Полученные модельные и полуэмпирические зависимости позволяют оценивать интенсивность вертикального обмена на различных горизонтах с учетом особенностей, обусловленных физико-геграфическими условиями и доминирующими механизмами генерации турбулентности. Детализация условий стратификации в глубоких слоях Черного моря, выделение пяти слоев с разными доминирующими механизмами генерации турбулентности, повышает точность практических оценок коэффициента вертикальной турбулентной диффузии и дает возможность использования этих результатов в крупномасштабных моделях циркуляции вод и балансовых расчетов тепла и солей всего бассейна.
1 Шулейкин В. В. Физика моря. М. : Наука, 1968. 1083 с.
About the authors
A. S. Samodurov
Marine Hydrophysical Institute, Russian Academy of Sciences
Email: anatol_samodurov@mail.ru
ORCID iD: 0000-0002-9910-5325
главный научный сотрудник, заведующий отделом турбулентности
Russian Federation, SevastopolA. M. Chukharev
Marine Hydrophysical Institute, Russian Academy of Sciences; Sevastopol State University
Email: alexchukh@mail.ru
ORCID iD: 0000-0003-1078-6425
ведущий научный сотрудник отдела турбулентности, заведующий базовой кафедрой, доктор физико-математических наук
Russian Federation, Sevastopol; SevastopolD. A. Kazakov
Marine Hydrophysical Institute, Russian Academy of Sciences
Email: engineer.dk@mail.ru
ORCID iD: 0000-0001-5083-4968
младший научный сотрудник, отдел турбулентности
Russian Federation, SevastopolM. I. Pavlov
Marine Hydrophysical Institute, Russian Academy of Sciences
Email: mixail.pavlov.1993@mail.ru
ORCID iD: 0000-0001-9998-2080
ведущий инженер-исследователь
Russian Federation, SevastopolV. A. Korzhuev
Marine Hydrophysical Institute, Russian Academy of Sciences
Author for correspondence.
Email: genzak30@gmail.com
ORCID iD: 0009-0009-9819-423X
младший научный сотрудник, отдел турбулентности
Russian Federation, SevastopolReferences
- Sullivan P. P., McWilliams J. C. Dynamics of winds and currents coupled to surface waves // Annual Review of Fluid Mechanics. 2010. Vol. 42. P. 19–42. doi: 10.1146/annurev-fluid-121108-145541
- Бенилов А. Ю. О генерации турбулентности в океане поверхностными волнами // Известия Академии наук СССР. Физика атмосферы и океана. 1973. Т. 9, № 3. С. 293–303.
- Benilov A. Yu., Ly L. N. Modelling of surface waves breaking effects in the ocean upper layer // Mathematical and Computer Modelling. 2002. Vol. 35, iss. 1–2. P. 191–213. doi: 10.1016/S0895-7177(01)00159-5
- Csanady G. T. The free surface turbulent shear layer // Journal of Physical Oceanography. 1984. Vol. 14, iss. 2. P. 402–411. https://doi.org/10.1175/1520-0485(1984)014<0402:TFSTSL>2.0.CO;2
- Craig P. D., Banner M. L. Modeling wave-enhanced turbulence in the ocean surface layer // Journal of Physical Oceanography. 1994. Vol. 24, iss. 12. P. 2546–2559. https://doi.org/10.1175/1520-0485(1994)024<2546:MWETIT>2.0.CO;2
- Чухарев А. М. Модель турбулентности со многими временными масштабами для приповерхностного слоя моря // Известия РАН. Физика атмосферы и океана. 2013. Т. 49, № 4. С. 477–488. EDN QIWCFV. doi: 10.7868/S0002351513040020
- Mellor G., Blumberg A. Wave breaking and ocean surface layer thermal response // Journal of Physical Oceanography. 2004. Vol. 34, iss. 3. P. 693–698. doi: 10.1175/2517.1
- Kantha L. H., Clayson C. A. On the effect of surface gravity waves on mixing in the oceanic mixed layer // Ocean Modelling. 2004. Vol. 6, iss. 2. P. 101–124. https://doi.org/10.1016/S1463-5003(02)00062-8
- Romero L., Melville W. K., Kleiss J. M. Spectral energy dissipation due to surface wave breaking // Journal of Physical Oceanography. 2012. Vol. 42, iss. 9. P. 1421–1444. https://doi.org/10.1175/JPO-D-11-072.1
- Sutherland P., Melville W. K. Field measurements and scaling of ocean surface wave-breaking statistics // Geophysical Research Letters. 2013. Vol. 40, iss. 12. P. 3074–3079. https://doi.org/10.1002/grl.50584
- Sutherland P., Melville W. K. Field measurements of surface and near-surface turbulence in the presence of breaking waves // Journal of Physical Oceanography. 2015. Vol. 45, iss. 4. P. 943–965. https://doi.org/10.1175/JPO-D-14-0133.1
- Wunsch C., Ferrari R. Vertical mixing, energy, and the general circulation of the oceans // Annual Review of Fluid Mechanics. 2004. Vol. 36. P. 281–314. https://doi.org/10.1146/annurev.fluid.36.050802.122121
- Osborn T. R. Estimates of the local rate of vertical diffusion from dissipation measurements // Journal of Physical Oceanography. 1980. Vol. 10, iss. 1. P. 83–89. doi: 10.1175/1520-0485(1980)010<0083:EOTLRO>2.0.CO;2
- McComas C. H., Müller P. The dynamic balance of internal waves // Journal of Physical Oceanography. 1981. Vol. 11, iss. 7. P. 970–986. https://doi.org/10.1175/1520-0485(1981)011<0970:TDBOIW>2.0.CO;2
- Henyey F. S., Wright J., Flatté S. M. Energy and action flow through the internal wave field: An eikonal approach // Journal of Geophysical Research: Oceans. 1986. Vol. 91, iss. C7. P. 8487–8495. doi: 10.1029/Jc091Ic07P08487
- Available potential energy and mixing in density-stratified fluids / K. Winters [e al.] // Journal of Fluid Mechanics. 1995. Vol. 289. P. 115–128. doi: 10.1017/S002211209500125X
- Gargett A. E., Holloway G. Dissipation and diffusion by internal wave breaking // Journal of Marine Research. 1984. Vol. 42, iss. 1. P. 15–27. doi: 10.1357/002224084788506158
- Gregg M. C. Scaling turbulent dissipation in the thermocline // Journal of Geophysical Research: Oceans. 1989. Vol. 94, iss. C7. P. 9686–9698. https://doi.org/10.1029/JC094iC07p09686
- Van Haren H. Open-ocean-interior moored sensor turbulence estimates, below a Meddy // Deep Sea Research Part I: Oceanographic Research Papers. 2019. Vol. 144. P. 75–84. https://doi.org/10.1016/j.dsr.2019.01.005
- Интенсификация внутренних волн в зоне сопряжения шельфа и континентального склона как фактор интенсификации вертикального обмена / А. С. Самодуров [и др.] // Фундаментальная и прикладная гидрофизика. 2013. Т. 6, № 2. С. 12–24. EDN QIQRGV.
- Самодуров А. С., Чухарев А. М., Казаков Д. А. Основные закономерности вертикального турбулентного обмена в квазиоднородных и стратифицированных слоях Черного моря // Морской гидрофизический журнал. 2021. Т. 37, № 4. С. 405–422. doi: 10.22449/0233-7584-2021-4-405-422 EDN MGYDHW.
- Чухарев А. М., Павлов М. И. Модельные и экспериментальные оценки интенсивности вертикального перемешивания в верхнем однородном слое моря // Морской гидрофизический журнал. 2021. Т. 37, № 3. С. 333–349. doi: 10.22449/0233-7584-2021-3-333-349
- Weller R. A., Price J. F. Langmuir circulation within the oceanic mixed layer // Deep Sea Research Part A: Oceanographic Research Paper. 1988. Vol. 35, iss. 5. P. 711–747. https://doi.org/10.1016/0198-0149(88)90027-1
- Thorpe S. A. Langmuir circulation // Annual Review of Fluid Mechanics. 2004. Vol. 36. P. 55–79. doi: 10.1146/annurev.fluid.36.052203.071431
- Zedel L., Farmer D. Organized structures in subsurface bubble clouds: Langmuir circulation in the open ocean // Journal of Geophysical Research: Oceans. 1991. Vol. 96, iss. C5. P. 8889–8900. https://doi.org/10.1029/91JC00189
- Wu L., Rutgersson A., Sahlee E. Upper-ocean mixing due to surface gravity waves // Journal of Geophysical Research: Oceans. 2015. Vol. 120, iss. 12. P. 8210–8228. doi: 10.1002/2015JC011329
- McWilliams J. C., Sullivan P. P. Vertical mixing by Langmuir circulations // Spill Science & Technology Bulletin. 2000. Vol. 6, iss. 3-4. P. 225–237. https://doi.org/10.1016/S1353-2561(01)00041-X
- Li M., Garrett C., Skyllingstad E. A regime diagram for classifying turbulent large eddies in the upper ocean // Deep Sea Research Part I: Oceanographic Research Papers. 2005. Vol. 52, iss. 2. P. 259–278. https://doi.org/10.1016/j.dsr.2004.09.004
- Harcourt R. R., D’Asaro E. A. Large-eddy simulation of Langmuir turbulence in pure wind seas // Journal of Physical Oceanography. 2008. Vol. 38, iss. 7. P. 1542–1562. doi: 10.1175/2007JPO3842.1
- Structure and variability of Langmuir circulation during the Surface Waves Processes Program / A. J. Plueddemann [et al.] // Journal of Geophysical Research: Oceans. 1996. Vol. 101, iss. C2. P. 3525–3543. doi: 10.1029/95JC03282
- Kitaigorodskii S. A., Lumley J. L. Wave-turbulence interactions in the upper ocean. Part I: The energy balance of the interacting fields of surface wind waves and wind-induced three-dimensional turbulence // Journal of Physical Oceanography. 1983. Vol. 13, iss. 11. P. 1977–1987. https://doi.org/10.1175/1520-0485(1983)013<1977:WTIITU>2.0.CO;2
- Kraus E. B., Turner J. S. A one-dimensional model of the seasonal thermocline. II. The general theory and its consequences // Tellus. 1967. Vol. 19, iss. 1. P. 98–106. doi: 10.1111/j.2153-3490.1967.tb01462.x
- Измерительный комплекс «Сигма-1» для исследования мелкомасштабных характеристик гидрофизических полей в верхнем слое моря / А. С. Самодуров [и др.] // Морской гидрофизический журнал. 2005. № 5. С. 60–71.
- Oakey N. S. Determination of the rate of dissipation of turbulent energy from simultaneous temperature and velocity shear microstructure measurements // Journal of Physical Oceanography. 1982. Vol. 12, iss 3. Р. 256–271. https://doi.org/10.1175/1520-0485(1982)012<0256:DOTROD>2.0.CO;2
- Самодуров А. С., Любицкий А. А., Пантелеев Н. А. Вклад опрокидывающихся внутренних волн в структурообразование, диссипацию энергии и вертикальную диффузию в океане // Морской гидрофизический журнал. 1994. № 3. С. 14-27.
- Gregg M. С. Scaling turbulent dissipation in the thermocline // Journal of Geophysical Research: Oceans. 1989. Vol. 94, iss. C7. P. 9686–9698. doi: 10.1029/JC094iC07p09686
- McEwen A. D. The kinematics of stratified mixing through internal wavebreaking // Journal of Fluid Mechanics. 1983. Vol. 128. P. 47–57. doi: 10.1017/S0022112083000373
- Самодуров А. С., Кульша О. Е., Белокопытов В. Н. Стационарная модель вертикального обмена в Черном море для реальной геометрии бассейна // Экологическая безопасность прибрежной и шельфовой зон и комплексное использование ресурсов шельфа. Севастополь, 2006. Вып. 14. С. 517–523. EDN ZBOAUJ.
- Самодуров А. С., Глобина Л. В. Диссипация энергии и вертикальный обмен в стратифицированных бассейнах за счет сдвиговой неустойчивости в поле квазиинерционных внутренних волн // Морской гидрофизический журнал. 2011. № 6. С. 16–27.
- Самодуров А. С. Придонный пограничный слой в Черном море: формирование стационарного состояния // Морской гидрофизический журнал. 2009. № 1. С. 16–25.
- Казаков Д. А., Самодуров А. С. Оценка интенсивности вертикального турбулентного обмена в слое основного пикноклина на прикерченском участке шельфа Черного моря // Экологическая безопасность прибрежной и шельфовой зон моря. 2021. № 2. С. 94–105. EDN RFDEWU. doi: 10.22449/2413-5577-2021-2-94-105
- Циркуляция вод северной части Черного моря в летний сезон 2016 года (по материалам 87-го рейса НИС «Профессор Водяницкий») / Ю. В. Артамонов [и др.] // Морской гидрофизический журнал. 2018. Т. 34, № 1. С. 57–70. EDN YWNTRV. doi: 10.22449/0233-7584-2018-1-57-70
- Структура вод в зоне основного Черноморского течения весной и летом 2017 г. (94-й, 95-й рейсы НИС «Профессор Водяницкий») / Ю. В. Артамонов [и др.] // Экологическая безопасность прибрежной и шельфовой зон моря. 2019. № 1. С. 16–28. EDN ABVXOP. doi: 10.22449/2413-5577-2019-1-16-28
- Циркуляция вод в северной части Черного моря летом - зимой 2018 года / Ю. В. Артамонов [и др.] // Экологическая безопасность прибрежной и шельфовой зон моря. 2020. № 1. С. 69–90. EDN CIHJZC. doi: 10.22449/2413-5577-2020-1-69-9
- Циркуляция и термохалинная структура вод северной части Черного моря по данным гидрологических измерений в 2019 г. (106, 108, 110, 111-й рейсы НИС «Профессор Водяницкий») / А. В. Федирко [и др.] // Итоги экспедиционных исследований в 2019 году в Мировом океане, внутренних водах и на архипелаге Шпицберген : Материалы конференции, Москва, 26–27 февраля 2020 года. Севастополь : ФГБУН ФИЦ «Институт биологии южных морей имени А.О. Ковалевского РАН», 2020. С. 206–212. EDN SQNMSV.
- Белокопытов В. Н. Сезонный ход вертикальной термохалинной стратификации вод на Черноморском шельфе Крыма // Экологическая безопасность прибрежной и шельфовой зон моря. 2019. № 3. С. 19–24. EDN ASAMOV. doi: 10.22449/2413-5577-2019-3-19-24
Supplementary files
















