Cationic and ionizable amphiphiles based on di-hexadecyl ester of L-glutamic acid for liposomal transport of RNA
- Authors: Bukharin G.A.1, Budanova U.A.1, Denieva Z.G.2, Dubrovin E.V.2,3, Sebyakin Y.L.1
-
Affiliations:
- MIREA – Russian Technological University (Lomonosov Institute of Fine Chemical Technologies)
- Frumkin Institute of Physical Chemistry and Electrochemistry, Russian Academy of Sciences
- Lomonosov Moscow State University
- Issue: Vol 41, No 4 (2024)
- Pages: 309-321
- Section: Articles
- URL: https://bakhtiniada.ru/0233-4755/article/view/268414
- DOI: https://doi.org/10.31857/S0233475524040035
- EDN: https://elibrary.ru/axdmxq
- ID: 268414
Cite item
Full Text
Abstract
Various RNAs are among the most promising and actively developed therapeutic agents for the treatment of tumors, infectious diseases and a number of other pathologies associated with the dysfunction of specific genes. Some nanocarriers are used for the effective delivery of RNAs to target cells, including liposomes based on cationic and/or ionizable amphiphiles. Cationic amphiphiles contain a protonated amino group and exist as salts in an aqueous environment. Ionizable amphiphiles are a new generation of cationic lipids that exhibit reduced toxicity and immunogenicity and undergo ionization only in the acidic environment of the cell. In this work we developed a scheme for the preparation and carried out the synthesis of new cationic and ionizable amphiphiles based on natural amino acids (L-glutamic acid, glycine, beta-alanine, and gamma-aminobutyric acid). Cationic and ionizable liposomes were formed based on the obtained compounds, mixed with natural lipids (phosphatidylcholine and cholesterol), and their physicochemical characteristics (particle size, zeta potential, and storage stability) were determined. Average diameter of particles stable for 5–7 days did not exceed 100 nm. Zeta potential of cationic and ionizable liposomes was about 30 and 1 mV, respectively. The liposomal particles were used to form complexes with RNA molecules. Such RNA complexes were characterized by atomic force microscopy and their applicability for nucleic acid transport was determined.
Full Text
Катионные и ионизируемые амфифилы на основе дигексадецилового эфира L-глутаминовой кислоты для липосомального транспорта РНК 1
ВВЕДЕНИЕ
Липосомы – средства доставки биологически активных соединений в клетки. Они могут инкапсулировать различные биологически активные вещества, в том числе генетический материал, распределяя их в водной среде или в гидрофобном бислое в зависимости от их полярности [1–3]. Липосомальный транспорт РНК в эукариотические клетки уже используется в современной медицине и ориентирован на лечение патологий различного рода путем исправления мутаций или дефектов в структуре ДНК, поражения ДНК вирусами и др. [4, 5]. В настоящее время такая таргетная доставка препаратов на основе синтетических липидов применяется для лечения различных заболеваний. Например, доставка специфической малой интерферирующей РНК (миРНК) в клетки вызывает подавление генов матричной РНК (мРНК), ассоциированной с опухолями, тем самым ингибируя пролиферацию раковых клеток, предотвращая метастазирование опухоли и индуцируя апоптоз раковых клеток [6]. Еще одним примером служит использование липидных наночастиц в совместной доставке нескольких молекул нуклеиновых кислот (например, мРНК CRISPR-Cas9 и единой направляющей РНК) для лечения транстиретинового амилоидоза [7]. Успешное применение в клинике мРНК-вакцин на основе липосомальных носителей от компаний Pfizer-BioNTech и Moderna против коронавирусной инфекции COVID-19 продемонстрировали их большой потенциал в области создания подобных лекарственных средств [8, 9].
На эффективность системы доставки терапевтических молекул влияют состав и физико-химические свойства липосом, поэтому при их разработке важно контролировать такие параметры, как размер частиц, поверхностный заряд, липидный состав, возможность модификации поверхности липосом и т. д. [10]. В ряде работ было показано, что включение природных и синтетических липидов с углеводородными цепями длиной С16 и больше повышает эффективность инкапсуляции гидрофобных лекарственных средств в бислой и увеличивает время удерживания лекарственных средств в частице [11–13]. Кроме того, подход к конструированию липосомальной системы с учетом упомянутых критериев позволяет снизить фоновую токсичность препарата по отношению к здоровым клеткам [10]. Токсичность липидов тесно связана со структурой их полярной головной группы, поэтому модифицируя их химический состав возможно добиться низкой токсичности для организма [14]. Ранее нами было показано, что такой подход к подбору составных компонентов липосом позволяет создавать средства доставки, эффективные в условиях in vitro [15, 16].
Катионные и ионизируемые липосомы получают путем комбинации природных фосфолипидов и соответствующих синтетических липидов в составе транспортных систем. Катионные липосомы несут постоянный положительный заряд на поверхности. Такие липосомы широко используются в качестве агентов трансфекции, а также в рецептуре липосомальных вакцинных адъювантов благодаря их иммуностимулирующим свойствам [17]. Однако в результате электростатических взаимодействий между положительно заряженной липидной мембраной липосомы и отрицательно заряженными молекулами вблизи поверхности клеточных мембран катионные липосомы неспецифически проникают в клетки организма. Ионизируемые липосомы, в отличие от катионных и незаряженных липосом, протонируются и депротонируются в зависимости от кислотности окружающей среды [18]. Благодаря их физическим и функциональным свойствам, они представляются более перспективными наноносителями для транспорта РНК [19, 20]. В кровотоке, где рН близок к нейтральному, поверхностный заряд таких наночастиц отсутствует, но при попадании внутрь клетки в процессе эндоцитоза или межклеточное пространство клеток, где рН имеет более низкие значения, они способны протонироваться. Такое изменение в структуре липосом повышает активность их захвата клетками. Эффекты ионизируемых липосом в терапии различных заболеваний пока мало изучены, однако появляются все больше экспериментальных данных, которые свидетельствуют о том, что их применение обеспечивает значительные преимущества по сравнению с другими типами терапевтических методов [21–23].
Целью данной работы было разработать схему синтеза, а также получить новые катионные и ионизируемые амфифилы на основе природных аминокислот как составных компонентов липосомальных транспортных систем доставки нуклеиновых кислот. На основе синтезированных соединений были сформированы липосомы и изучены их физико-химические свойства (размер частиц и стабильность при хранении), а также оценена возможность связывать молекулы РНК методом атомно-силовой микроскопии.
МАТЕРИАЛЫ И МЕТОДЫ
Материалы. Все реактивы, которые применяли в ходе синтеза, коммерчески доступны и были использованы без дополнительной очистки: глицин (Sigma-Aldrich), β-аланин (Sigma-Aldrich), γ-аминомасляная кислота (ГАМК, Sigma-Aldrich), муравьиная кислота (Sigma-Aldrich), формальдегид (Sigma-Aldrich), N-гидроксисукцинимид (HONSu, Sigma-Aldrich), 1,3-дициклогексилкарбодиимид (DCC, Sigma-Aldrich), 4-диметиламинопиридин (DMAP, Sigma-Aldrich), ди-трет-бутилдикарбонат (Boc2O, Sigma-Aldrich), трифторуксусная кислота (ТФУК, Biochem, Франция), тетрагидрофуран (ТГФ, Химмед, Россия), NaHCO3 (Русхим, Россия), Na2SO4 безводный (Русхим), фосфатидилхолин (РС, Lipoid S100, чистота > 94%, CAS97281–47–5, Германия), холестерин (Chol, Acros Organics, чистота 95%, CAS57–88–5, Бельгия).
1Н-ЯМР-спектры регистрировали в дейтерированном хлороформе (СDСl3) на ЯМР-спектрометре «Bruker DPX-300» с рабочей частотой 300 МГц. Внутренний стандарт – гексаметилдисилоксан.
Тонкослойную хроматографию (ТСХ) проводили на пластинках с силикагелем (Silufol, Чехия) в системах растворителей (об/об): (А) толуол: этилацетат 1:2, (Б) толуол: этилацетат 2:1, (В) хлороформ: метанол 10:1. Препаративную тонкослойную хроматографию проводили на силикагеле 60 с размером частиц 2–25 мкм (Sigma-Aldrich). Колоночную хроматографию проводили на силикагеле 60 с размером частиц 40–63 мкм (Merck, Германия). Для обнаружения пятен веществ на ТСХ использовали следующие проявители: 1) вещества, содержащие свободную аминогруппу, обнаруживали 3%-ным раствором нингидрина с последующим нагреванием до 55–75оС; 2) третичные амины проявляли в среде реактива Драгендорфа; 3) иные вещества проявляли в среде паров йода.
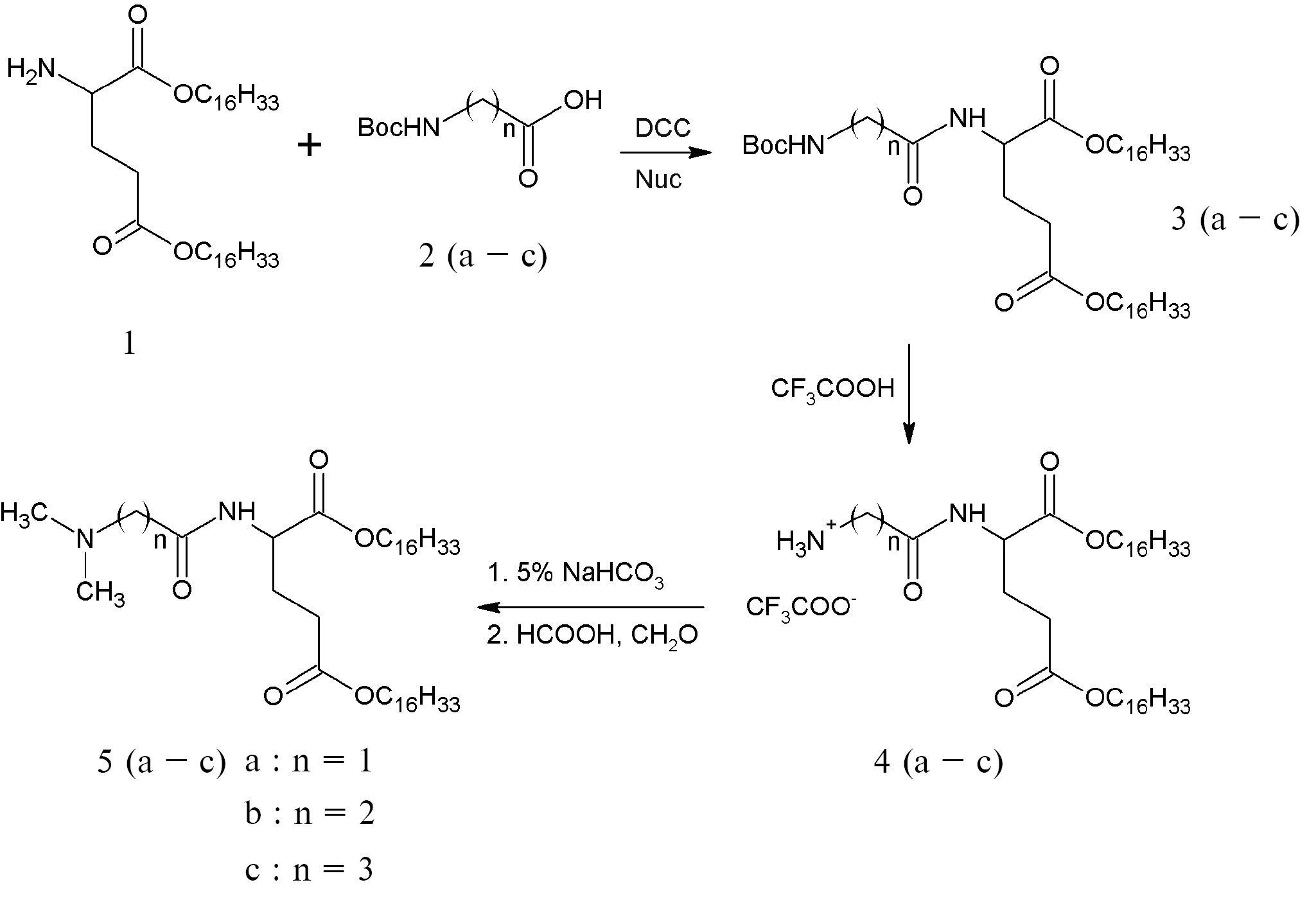
Методы. Синтез катионных и ионизируемых амфифилов проводили стандартными методами пептидной и липидной химии. Методы получения соединений (1) и 2(а-с) описаны в наших предыдущих работах [24] и [25] соответственно.
Дигексадециловый эфир N-[2-(трет-бутоксикарбониламино)этаноил] L-глутаминовой кислоты (3a). К раствору 32 мг (0.18 ммоль) соединения 2a, 38 мг (0.18 ммоль) DCC и каталитического количества DMAP в 5 мл безводного хлористого метилена при перемешивании добавляли раствор 100 мг (0.17 ммоль) соединения 1 в 5 мл безводного хлористого метилена. Реакционную смесь выдерживали при интенсивном перемешивании в течение 19 ч при 0°C. После завершения реакции реакционную массу отфильтровывали от выпавшего осадка дициклогексилмочевины, а растворитель удаляли в вакууме. Продукт выделяли с помощью препаративной ТСХ в системе (Б). Выход продукта 3а составил 102 мг (81%). Rf (Б) 0.51.
¹H-ЯМР-спектр (CDCl3, δ, м. д.): 0.88 (6Н, т, 6.7 Гц, СН3); 1.27 (52H, уш.c, (CH2)13CH3); 1.45 (9H, c, CCH3); 1.56–1.70 (4Н, м, СОOСН2СН2); 1.91–2.09 (2H, м, CHCH2), 2.29–2.50 (2Н, м, CH2C=O); 3.64 (0.7Н, т, 6.5 Гц, NHCH2); 3.82 (2H, дд, 5.2 Гц, NHCH2); 4.08 (4H, дт, 13.6 Гц, 6.8 Гц, СОOСН2СН2); 4.58–4.68 (1H, м, CH); 5.10 (1H, уш.с, NHCH).
Дигексадециловый эфир N-[3-(трет-бутоксикарбониламино)пропаноил] L-глутаминовой кислоты (3b). Раствор смеси соединения 2b 152 мг (0.80 ммоль), 93 мг (0.81 ммоль) HONSu и 166 мг (0.81 ммоль) DCC в 20 мл ТГФ перемешивали при 0°C в течение 30 мин. Выпавший осадок дициклогексилмочевины отфильтровывали, и к фильтрату добавляли раствор 400 мг (0.67 ммоль) соединения 1 в 20 мл ТГФ и выдерживали при интенсивном перемешивании 5 ч при комнатной температуре. После окончания реакции ТГФ удаляли в вакууме. Продукт реакции выделяли с помощью колоночной хроматографии на силикагеле в системе (А). Выход продукта 3b составил 55 мг (83%). Rf (Б) 0.49.
¹H-ЯМР-спектр (CDCl3, δ, м. д.): 0.88 (6Н, т, СН3); 1.27 (52H, c, CH2CH3); 1.44 (9H, c, CCH3); 1.57–1.70 (4Н, м, СОOСН2СН2); 2.41–2.49 (2Н, т, NHCH2CH2); 2.73–3.14 (2Н, ддд, CHCH2CH2COO); 3.38–3.48 (2Н, кв, NHCH2CH2); 4.04–4.22 (4H, дт, COOCH2); 4.82––4.94 (1H, м, CH); 5.17–5.34 (1H, м, OCNHCH); 6.51–6.63 (1H, д, OCNHCH2).
Дигексадециловый эфир N-[4-(трет-бутоксикарбониламино)бутаноил] L-глутаминовой кислоты (3с). Реакцию проводили аналогично методу получения соединения 3a. Из 131 мг (0.65 ммоль) соединения 2с и 320 мг (0.54 ммоль) соединения 1 получали 84 мг (80%) продукта 3с. Rf (Б) 0.51.
¹H-ЯМР-спектр (CDCl3, δ, м. д.): 0.88 (6Н, т, СН3); 1.27 (52H, c, CH2CH3); 1.44 (9H, c, CCH3); 1.57–1.70 (4Н, м, СОOСН2СН2); 1.81 (2H, п, CH2CH2CH2) 2.41–2.49 (2Н, т, NHCH2CH2); 2.73–3.14 (2Н, ддд, CHCH2CH2COO); 3.38––3.48 (2Н, кв, NHCH2CH2); 4.04–4.22 (4H, дт, COOCH2); 4.82–4.94 (1H, м, CH); 5.17–5.34 (1H, м, OCNHCH); 6.51–6.63 (1H, д, OCNHCH2).
Дигексадециловый эфир N-[2-аминоэтаноил]-L-глутаминовой кислоты трифторацетат (4a). К раствору 20 мг (0.027 ммоль) соединения 3a в 2 мл безводного хлористого метилена добавляли 1 мл трифторуксусной кислоты. Реакционную смесь перемешивали 1 ч при комнатной температуре. После окончания реакции растворитель с избытком ТФУК удаляли в вакууме, остаток растворяли в хлороформе и промывали водой (2 × 50 мл). Органическую фазу сушили над безводным Na2SO4, растворитель отгоняли в вакууме. Выход продукта 4а составил 15 мг (75%). Rf (В) 0.17.
¹H-ЯМР-спектр (CDCl3, δ, м. д.): 0.88 (6Н, т, 6.7 Гц, СН3); 1.27 (52H, уш.c, (CH2)13CH3); 1.57–1.71 (4Н, м, СОOСН2СН2); 1.88–2.07 (2H, м, CHCH2), 2.30–2.48 (2Н, м, CH2C=O); 3.88 (2H, с, NH3CH2); 4.10 (4H, дт, 13.6 Гц, 6.8 Гц, СОOСН2СН2); 4.58–4.68 (1H, м, CH); 5.12 (1H, уш.с, NHCH); 6.73 (0.65Н, уш.д., 6.6 Гц, NHCH2).
ESI–MS: 690.6 [M+K-2H]–.
Дигексадециловый эфир N-[3-аминопропаноил]-L-глутаминовой кислоты трифторацетат (4b). Реакцию проводили аналогично методу получения соединения 4a. Из 55 мг соединения 3b получали 21 мг (78%) продукта 4b. Rf (В) 0.18.
¹H-ЯМР-спектр (CDCl3, δ, м. д.): 0.84–0.96 (6Н, м, СН3); 1.26 (52H, c, CH2CH3); 1.52––1.73 (4Н, м, СОOСН2СН2); 1.77–1.96 (4Н, м, CHCH2CH2COO); 2.27–2.49 (2Н, м CH2CONH); 3.08 (1H, уш.с., NH3) 3.64 (2Н, т, 6.6 Гц, NH3СН2); 3.96–4.27 (4Н, м, СОOСН2СН2); 3.41–3.54 (2Н, м, NHCH2CH2); 4.56–4.68 (1H, м, CH); 5.30 (1H, c, OCNHCH).
ESI–MS: 666.6 [M-H]–.
Дигексадециловый эфир N-[4-аминобутаноил]-L-глутаминовой кислоты трифторацетат (4c). Реакцию проводили аналогично методу получения соединения 4a. Из 84 мг соединения 3c получали 30 мг (81%) продукта 4с. Rf (В) 0.20.
¹H-ЯМР-спектр (CDCl3, δ, м. д.): 0.88 (6Н, т, СН3); 1.26 (52H, c, CH2CH3); 1.51–1.74 (4Н, м, СОOСН2СН2); 1.89 (2H, п, CH2CH2CH2); 2.42–2.47 (2Н, т, NHCH2CH2); 2.73–3.04 (2Н, ддд, CHCH2CH2COO); 3.43–3.55 (2Н, кв, NHCH2CH2); 3.95–4.27 (4H, дт, COOCH2); 4.79––4.90 (1H, м, CH); 5.26–5.39 (1H, м, OCNHCH); 6.50 (2H, уш.с., NH2).
ESI–MS: 681.7 [M]+.
Дигексадециловый эфир N,N-диметил-[2-аминоэтаноил]-L-глутаминовой кислоты (5a). Раствор соединения 4a промывали 5%-ным раствором NaHCO3 (2 × 50 мл) до pH 7. Органическую фазу сушили над безводным Na2SO4 и растворитель отгоняли в вакууме. К 18 мг (0.018 ммоль) полученного остатка, содержащего первичную аминогруппу, добавляли 1 мл 30%-ного формальдегида и перемешивали в течение 5 мин при 0°C. Далее в раствору добавляли 1 мл муравьиной кислоты и выдерживали при интенсивном перемешивании 5 ч при 100°C. Полученную реакционную массу экстрагировали хлороформом (2 × 10 мл). Органическую фазу последовательно промывали 5%-ным раствором NaHCO3 (3 × 10 мл) и водой (2 × 10 мл), после чего сушили на складчатом фильтре, смоченном безводным хлороформом. Растворитель удаляли на роторном испарителе. Получали 22 мг (87%) продукта 5а. Rf (В) 0.71.
¹H-ЯМР-спектр (CDCl3, δ, м. д.): 0.88 (6Н, т, СН3); 1.27 (52H, c, CH2CH3); 1.55–1.68 (4H, м, COOCH2CH2); 2.12–2.93 (12H, м, (CH3)2NCH2, CHCH2CH2); 4.09–4.27 (4H, м, COOCH2CH2); 4.32–4.43 (1H, м, CH); 6.05 (1H, c, NH).
ESI–MS: 729.7 [M+CH3OH+H]+.
Дигексадециловый эфир N,N-диметил-[3-аминопропаноил]-L-глутаминовой кислоты (5b). Реакцию проводили аналогично методу получения соединения 5a. Из 21 мг (0.032 ммоль) соединения 4b получали 32 мг (70%) продукта 5b. Rf (В) 0.72
¹H-ЯМР-спектр (CDCl3, δ, м. д.): 0.88 (6Н, т, СН3); 1.26 (52H, c, CH2CH3); 1.49–1.73 (6Н, м, СОOСН2СН2, NHCH2CH2,); 2.09 (6Н, уш.с., (CH3)2N); 3.54 (2H, т, 6.6 Гц, COOCH2; 3.64 (2H, т, 6.6 Гц, COOCH2); 4.16 (2H, т, 6.4 Гц, NСН2); 4.22–4.32 (1H, м, CH); 4.76 (1H, c, NHCН).
ESI–MS: 741.7 [M+CH3OH+H]+.
Дигексадециловый эфир N,N-диметил-[4-аминобутаноил]-L-глутаминовой кислоты (5c). Реакцию проводили аналогично методу получения соединения 5a. Из 45 мг (0.063 ммоль) 4c получали 49 мг (50%) продукта 5c. Rf (В) 0.76.
¹H-ЯМР-спектр (CDCl3, δ, м. д.): 0.88 (6Н, т, СН3); 1.26 (52H, c, CH2CH3); 1.39 (4Н, м, СОOСН2СН2); 1.87–2.08 (8Н, м, NHCH2CH2); 3.12 (6H, уш.с., (CH3)2N); 4.02–4.20 (4H, м, COOCH2); 4.23–4.37 (1H, м, CH); 4.72 (1H, с, OCNHCH).
ESI–MS: 755.6 [M+CHOOH+H]+.
Получение липосомальных дисперсий. Синтезированные соединения 4a-c и 5a-c (3 мг) и липиды PC (3 мг) и Chol (1.8 мг) растворяли в смеси хлороформ: метанол (1.5:1 об/об) в круглодонной колбе. Растворители медленно удаляли на роторном испарителе при 35°C до образования тонкой липидной пленки на стенках колбы и сушили под вакуумом в течение 30 мин. К полученной пленке добавляли 3 мл воды, выдерживали 30 мин при комнатной температуре, после чего интенсивно встряхивали при 60°C. Далее в ультразвуковой ванне (УЗВ-1.3 «ПКФ Сапфир») получали липосомальную дисперсию с конечной концентрацией амфифилов 2.6 мг/мл (3 × 10 мин с перерывом 5 мин). В результате были получены дисперсии с составами катионный/ионизируемый липид: РС: Chol = 5:5:3 масс.%. Процесс приготовления дисперсий повторяли минимум 3 раза. Соотношения липидов выбирали исходя из возможности образования стабильных дисперсий [26, 27].
Определение размера и дзета-потенциала липосом. Распределение частиц по размерам и значения дзета-потенциала оценивали методом фотонно-корреляционной спектроскопии, основанным на принципах динамического рассеяния света. Измерения проводили на приборе типа «Zetasizer Nano ZS» (Malvern Panalytical, Великобритания), оснащенном He-Ne-лазером мощностью 4 мВт (длина волны 633 нм) при 25°C. Были оценены значения показателя преломления и вязкости для каждого образца суспензии липосом. Каждое измерение включало 3–5 чтений по 10 с. Корреляционные функции были проанализированы с использованием программного обеспечения Dispersion Technology Software. Размеры и дзета-потенциал были определены для трех повторов приготовления липосомальных дисперсий.
Стабильность при хранении. Стабильность липосомальных дисперсий при хранении при комнатной температуре оценивали по изменению значений показателя оптической плотности при длине волны 400 нм в течение 7 дней с момента приготовления дисперсий на фотоколориметре Экотест-2020 «Эконикс». В качестве фонового значения среды использовали значение оптической плотности дистиллированной воды.
Приготовление липосомального комплекса с РНК. Стоковый раствор РНК (Type VI from Torula yeast) с концентрацией 23 мкг/мл готовили в воде без нуклеаз. Липосомальный комплекс с РНК получали при смешивании липосомальной дисперсии и раствора РНК в итоговом соотношении катионный/ионизируемый липид: РНК (N:P) = 1:32. В качестве контроля использовали раствор РНК без липосом.
Атомно-силовая микроскопия (АСМ). АСМ-исследования проводили на микроскопе Nanoscope-V (Bruker, США) в режиме прерывистого контакта на воздухе с использованием кантилеверов HA_NC (Типснано, Россия). Частота сканирования составляла 2 строки в секунду на изображении 512 × 512 пикселей. Обработку АСМ-изображений проводили с помощью программного обеспечения Фемтоскан (Центр перспективных технологий, Россия).
Для АСМ-исследования молекул РНК 10 мкл раствора РНК с концентрацией 12 мкг/мл в растворе 20 мМ NaCl, 1 мM MgSO4 наносили на поверхность свежесколотой слюды на 10 мин, затем промывали в деионизованной воде 40 мин и высушивали в потоке воздуха.
Для АСМ-исследования липосомальных комплексов с РНК всех исследованных образцов 5 мкл раствора комплексов в воде с концентрацией 0.5 г/л (по катионному/ионизируемому липиду) наносили на свежесколотую слюду на 5 мин, после чего промывали деионизованной водой и высушивали в потоке воздуха. Для АСМ-исследования комплексов, содержащих ионизируемый липид 5а, процедуру приготовления образца также проводили вторым способом: 2 мкл раствора комплекса с РНК в воде с концентрацией 0.01 г/л (по ионизируемому липиду) наносили на свежесколотую слюду до полного высыхания на воздухе.
РЕЗУЛЬТАТЫ И ОБСУЖДЕНИЕ
Синтез целевых амфифилов
Лекарственные препараты на основе липосом используются для направленной доставки в клетки организма терапевтических молекул, например противоопухолевых агентов или нуклеиновых кислот [28, 29]. Известно, что состав липосом влияет на эффективность всей системы доставки. Среди перспективных компонентов липосом можно выделить ионизируемые амфифилы, которые повышают уровень трансфекции миРНК в раковые клетки in vivo за счет более продолжительного циркулирования в кровотоке по сравнению с катионными липидами, а также за счет стимулирования высвобождения трансфицируемого агента из эндосом при понижении рН [30].
В данной работе нами разработана схема и осуществлен синтез новых катионных (4а-с) и ионизируемых амфифилов (5а-с), содержащих в составе полярной головной группы свободную аминогруппу или протонируемый в физиологических условиях третичный атом азота, соответственно (схема 1). Полярный блок в синтезированных структурах представлены алифатическими аминокислотами, которые различаются количеством метиленовых звеньев (от 1 до 3). В качестве основы амфифилов выступает L-глутаминовая кислота, производные которой способны обеспечивать уровень трансфекции нуклеиновых кислот, сопоставимый с коммерчески доступными агентами [16, 24]. Из синтезированных веществ были получены суспензии липосом и изучены их физико-химические свойства.
Схема 1
Гидрофобный блок 1 получали путем сплавления L-глутаминовой кислоты с гексадециловым спиртом в присутствии пара-толуолсульфокислоты при 130 °С согласно методу, описанному в [24, 25]. Для формирования полярного блока амфифилов предварительно синтезировали Вос-защищенные аминокислоты 2(а-с) классическим методом пептидного синтеза [31]. Промежуточные продукты 3(a-c) получали реакцией Boc-защищенных аминокислот 2(а-с) с дигексадециловым эфиром L-глутаминовой кислоты 1 в присутствии активирующего агента DCC и нуклеофильной добавки (DMAP для 3а и 3с; HONSu для 3b). Защищенные липодипептиды 3(a-c) выделяли из реакционной массы с помощью колоночной и/или препаративной тонкослойной хроматографии на силикагеле, а структуры полученных соединений подтверждали данными1H-ЯМР-спектроскопии. В спектрах ЯМР присутствовали характерные сигналы протонов углеводородных цепей остатков гексадецилового спирта, сигнал, характерный для остатка трет-бутильной группы, а также сигналы протонов углеводородного остова аминокислот. Далее проводили удаление Вос-защитной группы действием трифторуксусной кислоты в среде безводного хлористого метилена с получением целевых катионных амфифилов 4(а-с). Для синтеза ионизируемых амфифилов 5(а-с) трифторацетатные соли липодипептидов 4(а-с) обрабатывали 5%-ным раствором NaHCO3 для получения промежуточных продуктов, содержащих свободную аминогруппу. Далее проводили реакцию метилирования свободных аминогрупп полученных соединений по реакции Эшвайлера–Кларка смесью формальдегида и муравьиной кислоты [32]. Целевые продукты 5(а-с) выделяли из реакционной смеси экстракцией хлороформом или препаративной ТСХ на силикагеле. Структуры полученных соединений подтверждали данными1Н-ЯМР-спектроскопии и масс-спектрометрии (см. Дополнительные материалы). В масс-спектрах присутствовали пики молекулярных ионов.
Мембранообразующие свойства синтезированных амфифилов
Амфифильные молекулы способны самопроизвольно упорядочиваться в частицы различной формы в водной среде. Эта форма зависит от геометрических параметров молекулы амфифила, которые можно описать с помощью критического параметра упаковки (КПУ) [33, 34]. При значениях КПУ, близких к 1, наиболее вероятно образование амфифилом бислоя. При значениях, сильно отличающихся от 1, амфифил будет образовывать мицеллярные структуры в водной среде. Значение КПУ можно рассчитать по формуле:
где V/h – площадь поперечного сечения углеводородной области молекулы (V – молекулярный объем углеводородной области молекулы, h – максимальная длина углеводородной цепи), S – площадь поверхности для размещения полярной головки липида, R1 – радиус основания цилиндра, образованного гидрофобной областью молекулы, R2 – радиус сферы, образованной полярной головной группой.
Для расчета значений КПУ синтезированных соединений 4(а-с) и 5(а-с) было проведено 3D-моделирование структур (с учетом и оптимизацией возможных конформаций) с помощью пакета программ «ACD/Labs, 3D Viewer» и «HyperChem» (табл. 1) [35, 36]. Полученные величины КПУ позволяют предположить, что среди катионных амфифилов 4(а-с) только для вещества 4с вероятно образование липидного бислоя в водной среде, тогда как для соединений 4а и 4b характерно формирование обратных мицелл. В ряду ионизируемых амфифилов 5(а-с) для соединений 5b и 5c наиболее вероятным является образование липидного бислоя в водной среде. Для соединения 5а будет характерно образование обратных мицелл в водной среде.
Таблица 1. Результаты расчета значений КПУ амфифилов 4(а-с) и 5(а-с). Цвета атомов в 3D-моделях структур: водород – белый, углерод – циановый, кислород – красный, азот – синий
Шифр | 3D-модель структуры | R1, Å | R2, Å | КПУ | Форма агрегатов |
4a | 3.98 | 2.48 | 2.56 | Обратная мицелла | |
4b | 3.99 | 3.20 | 1.53 | Обратная мицелла | |
4c | 3.99 | 3.85 | 1.07 | Бислой | |
5а | 3.96 | 3.02 | 1.70 | Обратная мицелла | |
5b | 3.97 | 3.79 | 1.10 | Бислой | |
5c | 3.97 | 3.87 | 1.05 | Бислой |
Из синтезированных соединений были получены суспензии липосом в смеси с природными фосфолипидом фосфатидилхолином (PC) и холестерином (Chol), способными стабилизировать коллоидные частицы в агрегаты сферической формы. Для этого липиды были взяты в соотношении катионный/ионизируемый липид: РС: Chol = 5:5:3 масс.%.
Методом динамического рассеяния света (ДРС) был определен гидродинамический радиус и оценен диаметр частиц полученных суспензий липосом. Результаты показали, что размеры липосом на основе всех синтезированных веществ не превышают 110 нм. Такие значения находятся в пределах допустимых значений (до 300 нм), что может способствовать их эффективному проникновению к целевым мишеням в организме за счет пассивного нацеливания (табл. 2) [37]. Диаметр частиц на основе соединений 4а, 4b и 5а, которые образуют в растворе агрегаты в виде обратных мицелл, практически в 2 раза превышает размер частиц на основе соединений 4c, 5b и 5с, формирующих липидный бислой. Наиболее компактными везикулами являются липосомы на основе амфифила 4с, средний диаметр которых составляет 22.3 нм.
Также методом ДРС были определены значения дзета-потенциала для полученных агрегатов. Средние значения дзета-потенциала катионных липосом на основе соединений 4(а-с) оказались приблизительно равны 30 мВ, тогда как для ионизируемых липидов – около 1 мВ (табл. 2). Данные значения согласуются с литературными данными, полученными для липосом на основе катионных и ионизируемых [38] липидов.
Таблица 2. Диаметр частиц суспензий липосом (амфифил: PC: Chol 5:5:3 масс.%), определенный методом ДРС
Амфифил | Диаметр частиц, нм | Дзета-потенциал, мВ |
4а | 101.7 ± 34.9 | 32.5 ± 2.8 |
4b | 108.4 ± 76.4 | 30.1 ± 2.7 |
4c | 23.6 ± 7.2 | 30.8 ± 3.1 |
5а | 95.5 ± 23 | 1.3 ± 1.0 |
5b | 60.3 ± 27 | 1.6 ± 0.7 |
5c | 32.4 ± 19 | 2.1 ± 0.4 |
Примечание. Погрешность для диаметра частиц отображает возможный разброс размеров частиц в липосомальной дисперсии, найденный по распределению Гаусса. Погрешность для дзета-потенциала соответствует среднеквадратичному отклонению по 5 измерениям.
Для полученных агрегатов была изучена стабильность при хранении при комнатной температуре по изменению оптической плотности суспензии (рис. 1). Результаты измерений показали, что только липосомальные системы на основе амфифилов 4с, 5а и 5с стабильны в течение не менее 7 суток. Показатель оптической плотности для них не менялся в пределах погрешности измерений (10%). Для остальных суспензий наблюдалась агрегация частиц уже на 2–5-е сутки. Нестабильные липосомальные системы не рассматривались для дальнейших исследований.
Рис. 1. Изменение оптической плотности липосомальных суспензий (амфифил: PC: Chol 5:5:3 масс.%) при хранении при комнатной температуре. Черными стрелками обозначены временные точки начала агрегации липосом на основе соединений 4а, 4b и 5b.
Исследование методом атомно-силовой микроскопии (АСМ)
Форма и размер комплексов, формируемых липосомами с нуклеиновыми кислотами, может влиять на эффективность проникновения липосомальных систем в клетки организма [39, 40]. Для определения морфологии полученных агрегатов было проведено исследование их структуры с помощью атомно-силовой микроскопии. Для этого формировали комплексы липосом (с составом амфифил: PC: Chol 5:5:3 масс.%) с РНК (Type VI from Torula yeast) в соотношении катионный/ионизируемый липид: РНК (N:P) = 1:32. Полученные комплексы наносили на свежесколотую слюду и высушивали на воздухе. Изображения интактных молекул РНК, адсорбированных на поверхности слюды, приведены на рис. 2. Это нитевидные структуры высотой около 0.5 нм, имеющие утолщения и ветвления, что, скорее всего, является отображением вторичной структуры молекулы.
Рис. 2. Подборка АСМ-изображений молекул РНК (Type VI from Torula yeast), адсорбированных на поверхности слюды.
Типичные АСМ-изображения липосомальных комплексов с РНК представлены на рис. 3, где справа (панели 3в, 3е, 3и) также приведены примеры вертикального профиля каждого вида комплексов. На образцах 5а и 5с явно наблюдаются нитевидные структуры РНК, расположенные внутри или поверх участка, сформированного молекулами липидов. Свободной РНК, не связанной с амфифилами, не наблюдается. Комплексы на основе соединения 4с (рис. 3а-б) на поверхности слюды выглядят глобулами высотой 15–20 нм и диаметром 50–100 нм (вероятно, РНК находится внутри этих комплексов). Морфология таких частиц соответствует размерам липосом, определенным методом ДРС. Комплексы на основе ионизируемого липида 5а (рис. 3г-д) представляют полностью плоские, высотой 0.5–0.6 нм, или частично глобулярные, высотой до 7 нм, объекты в зависимости от процедуры нанесения на поверхность слюды. Плоские структуры образуются при наличии стадии промывки образца в ходе его приготовления. В этом случае как по краям, так и внутри плоского слоя различимы нитевидные структуры, скорее всего, являющиеся молекулами РНК. Более высокие структуры образуются, когда образец не промывался водой. Можно предположить, что такой вариант приготовления образца приводит к лучшему сохранению трехмерной формы комплексов липосом с РНК. В этих структурах также можно наблюдать нитевидные структуры РНК по периметру липосом. В результате обоих вариантов приготовления образца образуются комплексы, существенным образом отличающиеся от липосом без РНК. Это может быть результатом компактизации амфифильных структур при взаимодействии с нуклеиновой кислотой. Комплексы на основе амфифила 5с (рис. 3ж-з), для которого размер частиц был сопоставим с размером липосом на основе образца 4с, также имеют схожую, но более плоскую морфологию. На данных комплексах различимы два уровня: первый высотой около 6 нм является плоским и образует структуры примерно округлой формы диаметром от 50 до 200 нм; он может соответствовать липидному бислою, сформировавшемуся на слюде после адсорбции комплекса. Сверху на этом слое и внутри него находятся фибриллярные структуры высотой около 4 нм относительно данного слоя, которые могут соответствовать молекулам РНК, окруженным липидами. По полученным результатам видно, что все три синтезированных амфифила способны связываться с молекулами РНК из раствора. Это является одним из основных условий применимости липосомальных систем в качестве средств доставки нуклеиновых кислот в клетки организма.
Рис. 3. а-б, г-д, ж-з – АСМ-изображения комплексов РНК с липосомами на основе 4а (а-б), 5а (г-д) и 5с (ж-з), нанесенных на поверхность слюды. в, е, и – Вертикальный профиль поверхности, проведенный вдоль линий на соответствующих АСМ-изображениях (б, д, з). Размеры изображений 500 × 500 нм2 (а-б, д, ж-з) и 300 × 300 нм2 (г).
Таким образом, в данной работе были синтезированы новые амфифилы на основе дигексадецилового диэфира L-глутаминовой кислоты и алифатических аминокислот (глицин, β-аланин и γ-аминомасляная кислота) как структурные компоненты катионных/ионизируемых липосом для транспорта нуклеиновых кислот в клетки. На основе полученных соединений были сформированы липосомальные частицы, средний диаметр которых оказался около 100 нм. Такое значение размера коллоидных частиц находится в пределах допустимого диапазона значений (до 300 нм), что может увеличивать их проникающую способность к целевым мишеням в организме. Данные по изучению стабильности полученных липосом показали возможность их хранения в течение 5–7 суток при комнатной температуре. С помощью метода атомно-силовой микроскопии было показано, что полученные липосомальные частицы могут связывать и компактизировать молекулы РНК из раствора, формируя соответствующие комплексы для доставки нуклеиновых кислот в клетки. Таким образом, полученные комплексы имеют потенциал для дальнейшего изучения в качестве средств доставки терапевтических молекул к мишеням и могут быть использованы для экспериментов in vitro на клеточных культурах.
Вклад авторов. Все авторы внесли эквивалентный вклад в подготовку публикации.
Конфликт интересов. Авторы декларируют отсутствие явных и потенциальных конфликтов интересов, связанных с публикацией настоящей статьи.
Источники финансирования. Работа выполнена с использованием оборудования ЦКП РТУ МИРЭА при поддержке Минобрнауки России в рамках Соглашения № 075–15–2021–689 от 01.09.2021 г.
Соответствие принципам этики. Настоящая статья не содержит описания каких-либо исследований с участием людей или животных в качестве объектов.
1 Дополнительные материалы размещены в электронном виде: https://doi.org/10.31857/S0233475524040035
About the authors
G. A. Bukharin
MIREA – Russian Technological University (Lomonosov Institute of Fine Chemical Technologies)
Email: zaret03@mail.ru
Russian Federation, Moscow, 119571
U. A. Budanova
MIREA – Russian Technological University (Lomonosov Institute of Fine Chemical Technologies)
Email: zaret03@mail.ru
Russian Federation, Moscow, 119571
Z. G. Denieva
Frumkin Institute of Physical Chemistry and Electrochemistry, Russian Academy of Sciences
Author for correspondence.
Email: zaret03@mail.ru
Russian Federation, Moscow, 119071
E. V. Dubrovin
Frumkin Institute of Physical Chemistry and Electrochemistry, Russian Academy of Sciences; Lomonosov Moscow State University
Email: zaret03@mail.ru
Faculty of Physics
Russian Federation, Moscow, 119071; Moscow, 119991Yu. L. Sebyakin
MIREA – Russian Technological University (Lomonosov Institute of Fine Chemical Technologies)
Email: zaret03@mail.ru
Russian Federation, Moscow, 119571
References
- Gonzalez G.A., Hosseinidoust Z. 2020. Liposomes for antibiotic encapsulation and delivery. ACS Infect. Dis. 6 (5), 896.
- Guimarães D., Cavaco-Paulo A., Nogueira E. 2021. Design of liposomes as drug delivery system for therapeutic applications. Int. J. Pharm. 601, 120571.
- Jahn A., Vreeland W.N., DeVoe D.L., Locascio L.E., Gaitan M. 2007. Microfluidic directed formation of liposomes of controlled size. Langmuir. 23 (11), 6289–6293.
- Wang L., Xing H., Guo S., Cao W., Zhang Z., Huang L., Xin S., Luo Y., Wang Y., Yang J. 2023. Negatively charged phospholipids doped liposome delivery system for mRNA with high transfection efficiency and low cytotoxicity. Drug Deliv. 30 (1), 2219869.
- Пашков Е.А., Коротышева М.О., Пак А.В., Файзулоев Е.Б., Сидоров А.В., Поддубиков А.В., Быстрицкая Е.П., Дронина Ю.Е., Солнцева В.К., Зайцева Т.А., Пашков Е.П., Быков А.С., Свитич О.А., Зверев В.В. Исследование противогриппозной активности комплексов миРНК против клеточных генов FLT4, Nup98 и Nup205 на модели in vitro. 2022. Тонкие Химические Технологии. 17 (2), 140.
- Wang H., Yuan Y., Qin L., Yue M., Xue J., Cui Z., Zhan X., Gai J., Zhang X., Guan J., Mao S. 2024. Tunable rigidity of PLGA shell-lipid core nanoparticles for enhanced pulmonary siRNA delivery in 2D and 3D lung cancer cell models. JCR. 366, 746.
- Haase F., Pohmerer J., Yazdi M., Grau M., Zeyn Y., Wilk U., Burghardt T., Höhn M., Hieber C., Bros M., Wagner E., Berger S. 2024. Lipoamino bundle LNPs for efficient mRNA transfection of dendritic cells and macrophages show high spleen selectivity. Eur. J. Pharm. Biopharm. 194, 95.
- Polack F.P., Thomas S.J., Kitchin N., Absalon J., Gurtman A., Lockhart S., Perez J.L., Perez Marc G., Moreira E.D., Zerbini C., Bailey R., Swanson K.A., Roychoudhury S., Koury K., Li P., Kalina W.V., Cooper D., Frenck R.W. Jr, Hammitt L.L., Tureci O., Nell H., Schaefer A., Unal S., Tresnan D.B., Mather S., Dormitzer P.R., Sahin U., Jansen K.U., Gruber W.C., Group C.C.T. 2020. Safety and efficacy of the BNT162b2 mRNA Covid-19 vaccine. N. Engl. J. Med. 383, 26032615.
- Baden L.R., El Sahly H.M., Essink B., Kotloff K., Frey S., Novak R., Diemert D., Spector S.A., Rouphael N., Creech C.B., McGettigan J., Khetan S., Segall N., Solis J., Brosz A., Fierro C., Schwartz H., Neuzil K., Corey L., Gilbert P., Janes H., Follmann D., Marovich M., Mascola J., Polakowski L., Ledgerwood J., Graham B.S., Bennett H., Pajon R., Knightly C., Leav B., Deng W., Zhou H., Han S., Ivarsson M., Miller J., Zaks T., Group C.S. 2021. Efficacy and safety of the mRNA-1273 SARS-CoV2 Vaccine. N. Engl. J. Med. 384, 403.
- He H., Yuan D., Wu Y., Cao Y. 2019. Pharmacokinetics and pharmacodynamics modeling and simulation systems to support the development and regulation of liposomal drugs. Pharmaceutics. 11(3), 110.
- Maritim S., Boulas P., Lin Y. 2021. Comprehensive analysis of liposome formulation parameters and their influence on encapsulation, stability and drug release in glibenclamide liposomes. Int. J. Pharm. 592, 1200051.
- Sakuma T., Makino K., Terada H., Takeuchi I., Mitova V., Troev K. 2023. Synthesis and characterization of amphiphilic diblock polyphosphoesters containing lactic acid units for potential drug delivery applications. Molecules. 28 (13), 5243.
- Kheoane P.S., Enslin G.M., Tarirai C. 2023. Formulation and characterization of liposomes containing drug absorption enhancers for optimized anti-HIV and antimalarial drug delivery. Drug Deliv. Transl. Res. 13 (5), 1358–1371.
- Cui S., Wang Y., Gong Y., Lin X., Zhao Y., Zhi D., Zhou Q., Zhang S. 2018. Correlation of the cytotoxic effects of cationic lipids with their headgroups. Toxicol. Res. (Camb). 7 (3), 473–479.
- Denieva Z.G., Koloskova O.O., Gileva A.M., Budanova U.A., Sebyakin Yu.L. 2023. Mixed cationic liposomes based on L-amino acids as efficient delivery systems of therapeutic molecules into cells. Biochem. (Moscow) Suppl. Ser. A. 17, 136–147.
- Gileva A.M., Koloskova O.O., Nosova A.S., Vishniakova L.I., Egorenkov E.A., Smirnov V.V., Budanova U.A., Sebyakin Yu.L., Khaitov, M.R., Markvicheva, E.A. 2023. Transfection efficacy and drug release depends upon the PEG derivative in cationic lipoplexes: Evaluation in 3D in vitro model and in vivo. J. Biomed. Mater. Res. B. 111 (9), 1614–1628.
- Inoh Y., Hirose T., Yokoi A., Yokawa S., Furuno T. 2020. Effects of lipid composition in cationic liposomes on suppression of mast cell activation. Chem. Phys. Lipids. 231, 104948.
- Rana S., Bhatnagar A., Singh S., Prabhakar N. 2022. Evaluation of liver specific ionizable lipid nanocarrier in the delivery of siRNA. Chem. Phys. Lipids. 246, 105207.
- Settanni G., Brill W., Haas H., Schmid F. 2022. pH-dependent behavior of ionizable cationic lipids in mRNA-carrying lipoplexes investigated by molecular dynamics simulations. Macromol Rapid Commun. 43 (12), e2100683.
- Sun Y., Zhao Y., Zhao X., Lee R.J., Teng L., Zhou C. 2017. Enhancing the therapeutic delivery of oligonucleotides by chemical modification and nanoparticle encapsulation. Molecules. 22 (10), 1724.
- Pandey H., Rani R., Agarwal V. Liposome and their applications in cancer therapy. 2016. Braz. Arch. Biol. Technol. 59, e16150477.
- Liu H.M., Zhang Y.F., Xie Y.D., Cai Y.F., Li B.Y., Li W., Zeng L.Y., Li Y.L., Yu R.T. Hypoxia-responsive ionizable liposome delivery siRNA for glioma therapy. 2017. Int. J. Nanomed. 12, 1065–1083.
- Liu Y., Huang L. 2010. Designer lipids advance systemic siRNA delivery. Mol. Ther. 18 (4), 669–670.
- Koloskova O.O., Nikonova A.A., Budanova U.A. 2016. Synthesis and evaluation of novel lipopeptide as a vehicle for efficient gene delivery and gene silencing. Eur. J. Pharm. Biopharm. 102, 159–167.
- Filatova S.M., Denieva Z.G., Budanova U.A., Sebyakin Yu.L. 2020. Synthesis of low-molecular-weight antibacterial peptide mimetics based on dialkyl- and diacylamines. Moscow Univ. Chem. Bull. 75, 320–327.
- Shantanu P. 2023. Liposomes for drug delivery: review of vesicular composition, factors affecting drug release and drug loading in liposomes. Artif. Cells Nanomed. Biotechnol. 51 (1), 428–440.
- Briuglia M.L., Rotella C., McFarlane A., Lamprou D.A. 2015 Influence of cholesterol on liposome stability and on in vitro drug release. Drug Deliv. Transl. Res. 5, 231–242.
- Nakhaei P., Margiana R., Bokov D.O., Abdelbasset W.K., Jadidi Kouhbanani M.A., Varma R.S., Marofi F., Jarahian M., Beheshtkhoo N. 2021. Liposomes: Structure, biomedical applications, and stability parameters with emphasis on cholesterol. Front. Bioeng. Biotechnol. 9, 705886.
- Jeong M., Lee Y., Park J., Jung H., Lee H. 2023. Lipid nanoparticles (LNPs) for in vivo RNA delivery and their breakthrough technology for future applications. Adv. Drug Del. Rev. 200, 114990.
- El Moukhtari S.H., Garbayo E., Amundarain A., Pascual-Gil S., Carrasco-León A., Prosper F., Agirre X., Blanco-Prieto M.J. 2023. Lipid nanoparticles for siRNA delivery in cancer treatment. JCR. 361, 130–146.
- Denieva Z.G., Romanova N.A., Bodrova T.G., Budanova U.A., Sebyakin Yu.L. 2019. Synthesis of amphiphilic peptidomimetics based on the aliphatic derivatives of natural amino acids. Moscow Univ. Chem. Bull. 74, 300–305.
- Xu G., Chen B., Guo B., He D., Yao S. 2011. Detection of intermediates for the Eschweiler-Clarke reaction by liquid-phase reactive desorption electrospray ionization mass spectrometry. Analyst. 136 (11), 2385–2390.
- Waghule T., Saha R.N., Alexander A., Singhvi G. 2022. Tailoring the multi-functional properties of phospholipids for simple to complex self-assemblies. JCR. 349, 460–474.
- Khalil R.A., Zarrari A.A. 2014. Theoretical estimation of the critical packing parameter of amphiphilic self-assembled aggregates. Appl. Surf. Sci. 318, 85–89.
- Denieva Z.G., Budanova U.A., Sebyakin Y.L. 2021. Irregular cationic lipotetrapeptides for pharmaceutical multifunctional transport systems. Mend. Commun. 31 (4), 509–511.
- Fondjo E.S., Njoya A.S., Tamokou J.D., Doungmo G., Lenta B.N., Simon P.F.W., Tsopmo A., Kuiate J.-R. 2022. Synthesis, characterization and antimicrobial properties of two derivatives of pyrrolidine-2,5-dione fused at positions-3,4 to a dibenzobarrelene backbone. BMC Chemistry. 16, 8.
- Liu Y., Castro Bravo K.M., Liu J. 2021. Targeted liposomal drug delivery: a nanoscience and biophysical perspective. Nanoscale Horiz. 6 (2), 78–94.
- Carrasco M.J., Alishetty S., Alameh M.G., Said H., Wright L., Paige M., Soliman O., Weissman D., Cleveland T.E. IV, Grishaev A., Buschmann M.D. 2021. Ionization and structural properties of mRNA lipid nanoparticles influence expression in intramuscular and intravascular administration. Commun. Biol. 4, 956.
- Ma B., Zhang S., Jiang H., Zhao B., Lv H. 2007. Lipoplex morphologies and their influences on transfection efficiency in gene delivery. JCR. 123 (3), 184–194.
- Inoh Y., Nagai M., Matsushita K., Nakanishi M., Furuno T. 2017. Gene transfection efficiency into dendritic cells is influenced by the size of cationic liposomes/DNA complexes. Eur. J. Pharm. Sci. 102, 230–236.
Supplementary files












