Mixed Cationic Liposomes Based on L-Amino Acids As Efficient Delivery Systems of Therapeutic Molecules into Cells
- Authors: Denieva Z.G.1, Koloskova O.O.2, Gileva A.M.3, Budanova U.A.4, Sebyakin Y.L.4
-
Affiliations:
- Frumkin Institute of physical chemistry and electrochemistry, Russian Academy Of Sciences
- NRC Institute of Immunology FMBA of Russia
- Shemyakin–Ovchinnikov Institute of Bioorganic Chemistry, Russian Academy of Sciences
- MIREA – Russian Technology University (Lomonosov Institute of Fine Chemical Technology)
- Issue: Vol 40, No 3 (2023)
- Pages: 203-216
- Section: Articles
- URL: https://bakhtiniada.ru/0233-4755/article/view/135034
- DOI: https://doi.org/10.31857/S0233475523030052
- EDN: https://elibrary.ru/FDQFOC
- ID: 135034
Cite item
Full Text
Abstract
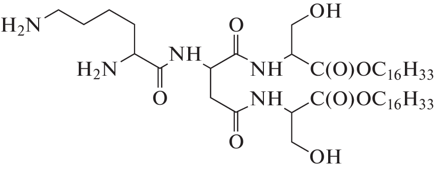
This work aimed to produce mixed liposomes based on natural amino acids as vehicles for delivery of anticancer drugs and nucleic acids. Liposomes were formed from cationic lipids based on L-alanine and L-serine, a kerase-forming lipid based on L-ornithine, and phospholipids phosphatidylcholine (PC) or 1,2-dioleoyl-sn-glycero-3-phosphoethanolamine (DOPE). For the developed agents, particle size, zeta potential, and stability were determined, and the biological activity was studied on the MCF-7 and HEK 293 cell lines. Liposomes based on L-serine demonstrated the ability to accumulate in the endoplasmic reticulum of cells within 1 h, and their transfection activity significantly exceeded that of the commercial drug Lipofectamine-2000. At the same time, the proposed system had a slight toxic effect (IC50, 0.475 mg/mL and the safe working concentration, 0.24 mg/mL).
About the authors
Z. G. Denieva
Frumkin Institute of physical chemistry and electrochemistry, Russian Academy Of Sciences
Author for correspondence.
Email: zaret03@mail.ru
Russia, 119071, Moscow
O. O. Koloskova
NRC Institute of Immunology FMBA of Russia
Email: zaret03@mail.ru
Russia, 115522, Moscow
A. M. Gileva
Shemyakin–Ovchinnikov Institute of Bioorganic Chemistry, Russian Academy of Sciences
Email: zaret03@mail.ru
Russia, 117997, Moscow
U. A. Budanova
MIREA – Russian Technology University (Lomonosov Institute of Fine Chemical Technology)
Email: zaret03@mail.ru
Russia, 119571, Moscow
Yu. L. Sebyakin
MIREA – Russian Technology University (Lomonosov Institute of Fine Chemical Technology)
Email: zaret03@mail.ru
Russia, 119571, Moscow
References
- Liu P., Chen G., Zhang J. 2022. A review of liposomes as a drug delivery system: current status of approved products, regulatory environments, and future perspectives. Molecules. 27 (4), 1372.
- Akbarzadeh A., Rezaei-Sadabady R., Davaran S., Joo S.W., Zarghami N., Hanifehpour Y., Samiei M., Kouhi M., Nejati-Koshki K. 2013. Liposome: Classification, preparation, and applications. Nanoscale Res Lett. 8 (1), 102.
- Šturm L., Poklar Ulrih N. 2021. Basic methods for preparation of liposomes and studying their interactions with different compounds, with the emphasis on polyphenols. Int. J. Mol. Sci. 22 (12), 6547.
- Bozzuto G., Molinari A. 2015. Liposomes as nanomedical devices. Int. J. Nanomedicine. 10, 975–999.
- One focus. Transfection protocol. Mirus Transfectopedia. 2014. Madison, WI 53719 USA. https://www. m-irusbio.com/transfectopedia.
- Khodthong C., Ismaili I., Juckem L. 2014. The impact of transfection mediated toxicity – gene expression and cytotoxicity analysis of transfection reagents. Mirus Bio, LLC. Madison, WI 53719 USA. https://www. m-irusbio.com/assets/technical-documents/the-impact-of-transfection-mediated-toxicity.pdf.
- Shim G., Kim M.-G., Park J. Y., Oh Y.-K. 2013. Application of cationic liposomes for delivery of nucleic acids. Asian J. Pharm. Sci. 8, 72–80.
- Liang X., Li X., Jing L., Xue P., Jiang L., Ren Q., Dai Z. 2013. Design and synthesis of lipidic organoalkoxysilanes for self-assembly of liposomal nanohybrid cerasomes with controlled drug release properties. Chem. Eur. J. 19 (47), 16113–16121.
- Dharmalingam P., Rachamalla H.K.R., Lohchania B., Bandlamudi B., Thangavel S., Murugesan M.K., Banerjee R., Chaudhuri A., Voshavar C., Marepally S. 2017. Green transfection: Cationic lipid nanocarrier system derivatized from vegetable fat, palmstearin enhances nucleic acid transfections. ACS Omega. 2, 7892–7903.
- Pires P., Simões S., Nir S., Gaspar R., Düzgünes N., Pedroso de Lima M.C. 1999. Interaction of cationic liposomes and their DNA complexes with monocytic leukemia cells. Biochim. Biophys. Acta (BBA) – Biomembranes. 1418 (1), 71–84.
- Katagiri K., Ariga K., Kikuchi J.-I. 1999. Preparation of organic-inorganic hybrid vesicle “cerasome” derived from artificial lipid with alkoxysilyl head. Chem. Lett. 28, 661–662.
- Wang Y., Wang B., Liao H., Song X., Wu H., Wang H., Shen H., Ma X., Tan M. 2015. Liposomal nanohybrid cerasomes for mitochondria-targeted drug delivery. J. Mat. Chem. B. 3, 7291–7299.
- Sarker S. R., Takeoka S. 2018. Amino acid-based liposomal assemblies: Intracellular plasmid DNA delivery nanoparticles. J. Nanomed. 2, 1008–1021.
- Faneca H., Simões S., de Lima M.C.P. 2002. Evaluation of lipid-based reagents to mediate intracellular gene delivery. Biochim. Biophys. Acta. 1567, 23–33.
- Liu Y., Mounkes L.C., Liggitt H.D., Brown C.S., Solodin I., Heath T.D., Debs R.J. 1997. Factors influencing the efficiency of cationic liposome-mediated intravenous gene delivery. Nat. Biotechnol. 15, 167–173.
- Templeton N.S., Lasic D.D., Frederik P.M., Strey H.H., Roberts D.D., Pavlakis G.N. 1997. Improved DNA:liposomes complexes for increased systemic delivery and gene expression. Nat. Biotechnol. 15, 647–652.
- Nsairat H., Khater D., Sayed U., Odeh F., Al Bawab A., Alshaer W. 2022. Liposomes: Structure, composition, types, and clinical applications. Heliyon. 8 (5), e09394.
- Silva S.G., Fernandes R.F., Marques E.F., do Vale M.L.C. 2012. Serine-based bis quat gemini surfactants: synthesis and micellization properties. Eur. J. Org. Chem. 2, 345–352.
- Brito R.O., Oliveira I.S., Araújo M.J., Marques E.F. 2013. Morphology, thermal behavior, and stability of self-assembled supramolecular tubules from lysine-based surfactants. J. Phys. Chem. B. 117, 9400–9411.
- Fan H., Han F., Liu Z., Qin L., Li Z., Liang D., Fu H. 2008. Active control of surface properties and aggregation behavior in amino acid-based gemini surfactant systems. J. Colloid Interface Sci. 321, 227–234.
- McGregor C., Perrin C., Monck M., Camilleri P., Kirby A.J. 2001. Rational approaches to the design of cationic gemini surfactants for gene delivery. J. Am. Chem. Soc. 123, 6215–6220.
- Yang P., Singh J., Wettig S., Foldvari M., Verrall R.E., Badea I. 2010. Enhanced gene expression in epithelial cells transfected with amino acid-substituted gemini nanoparticles. Eur. J. Pharm. Biopharm. 75, 311–320.
- Denieva Z.G., Budanova U.A., Sebyakin Y.L. 2021. Irregular cationic lipotetrapeptides for pharmaceutical multifunctional transport systems. Mendeleev Communications. 31 (4), 509–511.
- Niyomtham N., Apiratikul N., Suksen K., Opanasopit P., Yingyongnarongkul B.E. 2015. Synthesis and in vitro transfection efficiency of spermine-based cationic lipids with different central core structures and lipophilic tails. Bioorg. Med. Chem. Lett. 25, 496–503.
- Jones C. H., Chen C.K., Ravikrishnan A., Rane S., Pfeifer B.A. 2013. Overcoming nonviral gene delivery barriers: Perspective and future. Mol. Pharm. 10, 4082–4098.
- Sheng R., Zhuang X., Wang Z., Cao A., Lin K., Zhu J.X.X. 2016. Cationic nanoparticles assembled from natural-based steroid lipid for improved intracellular transport of siRNA and pDNA. Nanomaterials (Basel). 6, 69–86.
- Sabın J., Prieto G., Ruso J. M., Hidalgo-Álvarez R., Sarmiento F. 2006. Size and stability of liposomes: A possible role of hydration and osmotic forces. Europ. Phys. J. E. 20, 401–408.
- Cao Z., Zhu W., Wang W., Zhang C., Xu M., Liu J., Feng S., Jiang Q., Xie X. 2014. Stable cerasomes for simultaneous drug delivery and magnetic resonance imaging. Int. J. Nanomedicine. 9, 5103–5116.
Supplementary files














