Cationic Lipoaminoacid Derivatives of Diethanolamine as Potentially Membrane-Active Antibacterial Agents
- Authors: Guseva M.K.1, Denieva Z.G.2, Budanova U.A.1, Sebyakin Y.L.1
-
Affiliations:
- MIREA, Russian Technology University, Lomonosov Institute of Fine Chemical Technology
- Frumkin Institute of Physical Chemistry and Electrochemistry, Russian Academy of Sciences
- Issue: Vol 40, No 2 (2023)
- Pages: 133-141
- Section: Articles
- URL: https://bakhtiniada.ru/0233-4755/article/view/135021
- DOI: https://doi.org/10.31857/S0233475523020032
- EDN: https://elibrary.ru/LANSBL
- ID: 135021
Cite item
Full Text
Abstract
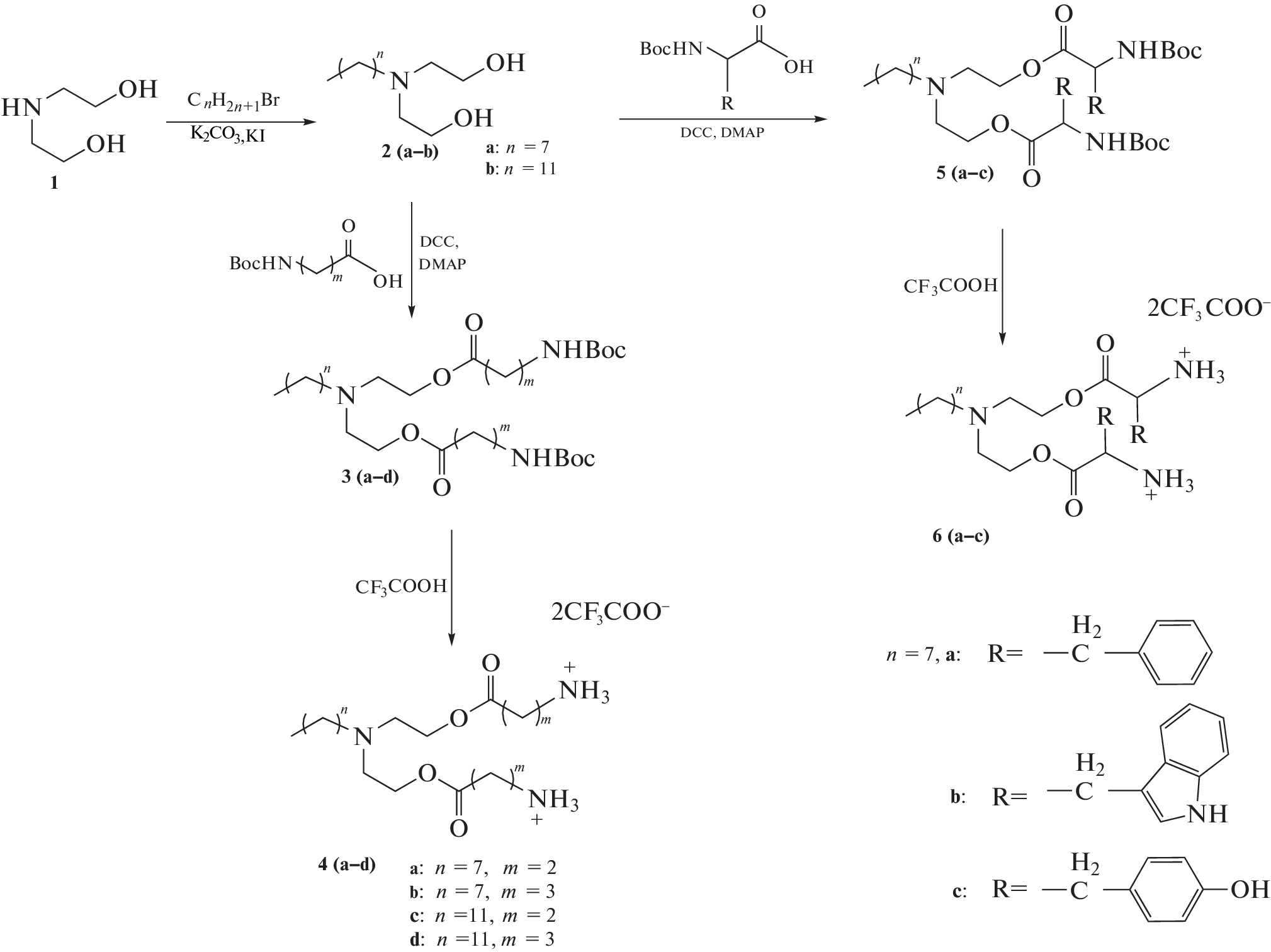
This work is aimed to develop a number of cationic amphiphiles based on amino acid derivatives of diethanolamine as potentially membrane-active antibacterial agents. The developed compounds contain two amino acid residues in the polar block and various length of aliphatic chains in the hydrophobic domain. Amphiphiles were obtained in preparative amounts sufficient to confirm their structures and perform a study of antibacterial activity. The synthesized samples based on β-Ala (4c) and GABA (4d) with an aliphatic C12 chain in the hydrophobic domain showed a promising level of antimicrobial activity (minimal inhibitory concentration, MIC, 1 μg/mL) against gram-positive (B. subtilis) and gram-negative (E. coli) bacteria. Amphiphiles containing aromatic amino acids L-Phe (6a) and L-Trp (6b) in the polar head group and C8 hydrocarbon chain are active against B. subtilis with a MIC of 1 μg/mL. The obtained data on antimicrobial activity make the selected compounds attractive for further detailed study of their mechanism of action.
About the authors
M. K. Guseva
MIREA, Russian Technology University, Lomonosov Institute of Fine Chemical Technology
Email: c-221@yandex.ru
Russia, 119571, Moscow
Z. G. Denieva
Frumkin Institute of Physical Chemistry and Electrochemistry, Russian Academy of Sciences
Email: c-221@yandex.ru
Russia, 119071, Moscow
U. A. Budanova
MIREA, Russian Technology University, Lomonosov Institute of Fine Chemical Technology
Author for correspondence.
Email: c-221@yandex.ru
Russia, 119571, Moscow
Yu. L. Sebyakin
MIREA, Russian Technology University, Lomonosov Institute of Fine Chemical Technology
Email: c-221@yandex.ru
Russia, 119571, Moscow
References
- Yount N.Y., Yeaman M.R. 2004. Multidimensional signatures in antimicrobial peptides. Proc. Natl. Acad. Sci. USA. 101 (19), 7363. https://doi.org/10.1073/pnas.0401567101
- Мусин Х.Г. 2018. Антимикробные пептиды – потенциальная замена традиционным антибиотикам. Инфекция и иммунитет. 8 (3), 295.
- Rima M., Rima M., Fajloun Z., Sabatier J.-M., Bechinger B., Naas T. 2021. Antimicrobial peptides: A potent alternative to antibiotics. Antibiotics. 10 (9), 1095. https://doi.org/10.3390/antibiotics10091095
- Molchanova N., Hansen P.R., Franzyk H. 2017. Advances in development of antimicrobial peptidomimetics as hotential drugs. Molecules. 22 (9), 1430. https://doi.org/10.3390/molecules22091430
- Pirri G., Giuliani A., Nicoletto S.F., Pizzuto L., Rinaldi A.C. 2009. Lipopeptides as anti-infectives: A practical perspective. Cent. Eur. J. Biol. 4(3), 258–273. https://doi.org/10.2478/s11535-009-0031-3
- Fjell C.D., Hiss J.A., Hancock R.E. W., Schneider G. 2012. Designing antimicrobial peptides: Form follows function. Nat. Rev. Drug Discovery. 11, 37–51.
- Faber C., Stallmann H., Lyaruu D., Joosten U., Von Eiff C., van Nieuw Amerongen A., Wuisman P.I. 2005. Comparable efficacies of the antimicrobial peptide human lactoferrin 1-11 and gentamicin in a chronic methicillin-resistant Staphylococcus aureus osteomyelitis model. Antimicrob. Agents Chemother. 49 (6), 2438–2444. https://doi.org/10.1128/AAC.49.6.2438-2444.2005
- Lin L., Chi J., Yan Y., Luo R., Feng X., Zheng Y., Xian D., Li X., Quan G., Liu D, Wu C., Lu C., Pan X. 2021. Membrane-disruptive peptides/peptidomimetics-based therapeutics: Promising systems to combat bacteria and cancer in the drug-resistant era. Acta Pharm. Sin. B. 11 (9), 2609. https://doi.org/10.1016/j.apsb.2021.07.014
- Tague A.J., Putsathit P., Hammer K.A., Wales S.M., Knight D.R., Riley T.V., Keller P.A., Pyne S.G. 2019. Cationic biaryl 1,2,3-triazolyl peptidomimetic amphiphiles: Synthesis, antibacterial evaluation and preliminary mechanism of action studies. Eur. J. Med. Chem. 168, 386. https://doi.org/10.1016/j.ejmech.2019.02.013
- Mojsoska B., Jenssen H. 2015. Peptides and peptidomimetics for antimicrobial drug design. Pharmaceuticals (Basel). 8(3), 366–415. https://doi.org/10.3390/ph8030366
- Zhang E., Bai P.-Y., Cui D.-Y., Chu W.-C., Hua Y.-G., Liu Q., Yin H.-Y., Zhang Y.-J., Qin S., Liu H.-M. 2018. Synthesis and bioactivities study of new antibacterial peptide mimics: The dialkyl cationic amphiphiles. Europ. J. Med. Chem. 143, 1489–1509. https://doi.org/10.1016/j.ejmech.2017.10.044
- Su M., Xia D., Teng P., Nimmagadda A., Zhang C., Odom T., Cao A., Hu Y., Cai J. 2017. Membrane-active hydantoin derivatives as antibiotic agents. J. Med. Chem. 60 (20), 8456. https://doi.org/10.1021/acs.jmedchem.7b00847
- Konai M.M., Ghosh C., Yarlagadda V. 2014. Membrane active phenylalanine conjugated lipophilic norspermidine derivatives with selective antibacterial activity. J. Med. Chem. 57, 9409–9423. https://doi.org/10.1021/jm5013566
- Ghosh C., Sarkar P., Samaddar S., Uppua D., Haldar J. 2017. L-Lysine based lipidated biphenyls as agents with anti-biofilm and anti-inflammatory properties that also inhibit intracellular bacteria. Chem. Commun., 53, 8427–8430. https://doi.org/10.1039/C7CC04206J
- Lohan S., Kalanta A., Sonkusre P., Cameotra S.S., Bisht G.S. 2014. Development of novel membrane active lipidated peptidomimetics active against drug resistant clinical isolates. Bioorg. & Med. Chem., 22, 4544–4552. https://doi.org/10.1016/j.bmc.2014.07.041
- Schnaider L., Brahmachari S., Schmidt N.W., Mensa B., Shaham-Niv S., Bychenko D., Adler-Abramovich L., Shimon L.J.W., Kolusheva S., DeGrado W.F., Gazit E. 2017. Self-assembling dipeptide antibacterial nanostructures with membrane disrupting activity. Nat. Commun. 8 (1), 1365. https://doi.org/10.1038/s41467-017-01447-x
- Shahane G., Ding W., Palaiokostas M., Azevedo H.S., Orsi M. 2019. Interaction of antimicrobial lipopeptides with bacterial lipid bilayers. J. Membr. Biol. 252 (4–5). 317. https://doi.org/10.1007/s00232-019-00068-3
- Yar M., Mushtaq N., Afzal S. 2013. Synthesis, reactions, applications, and biological activity of diethanolamine and its derivatives. Russ. J. Org. Chem. 49 (7) 949–967. https://doi.org/10.1134/S1070428013070014
- Denieva Z.G., Romanova N.A., Bodrova T.G., Budanova U.A., Sebyakin Yu.L. 2019. Synthesis of amphiphilic peptidomimetics based on the aliphatic derivatives of natural amino acids. Moscow Univ. Chem. Bull. 74 (6), 300–305. https://doi.org/10.3103/S0027131419060087
- Makovitzki A., Baram J., Shai Y. 2008. Antimicrobial lipopolypeptides composed of palmitoyl di- and tricationic peptides: in vitro and in vivo activities, self-assembly to nanostructures, and a plausible mode of action. Biochemistry. 47 (40), 10630. https://doi.org/10.1021/bi8011675
Supplementary files











