Cardiac troponin I determination by elisa immuno assay on magnetic particles with electrochemical detection
- Authors: Sorokina O.N.1, Konstantinova T.S.1, Vorobyova A.K.1, Vasilyeva A.D.1, Yurina L.V.1, Eremenko A.V.1, Lyzhenkova A.V.2, Minushkina L.O.3, Zateyshchikov D.A.2,3, Kurochkin I.N.1,4
-
Affiliations:
- Emanuel Institute of Biochemical Physics, Russian Academy of Sciences
- Bauman City Clinical Hospital No.29, Health Department of Moscow
- “Central State Medical Academy” Department of the President of the Russian Federation
- Lomonosov Moscow State University
- Issue: Vol 43, No 11 (2024)
- Pages: 71-78
- Section: Chemical physics of biological processes
- URL: https://bakhtiniada.ru/0207-401X/article/view/281885
- DOI: https://doi.org/10.31857/S0207401X24110095
- ID: 281885
Cite item
Full Text
Abstract
A high sensitive method for the quantitative rapid determination of cardiac Troponin I in human serum has been developed. The method is based on an enzyme-linked immunosorbent assay on magnetic particles in the volume of a blood serum sample, which can significantly reduce the diffusion limits typical for common ELISA. Alkaline phosphatase which is a high-performance enzyme was used as an enzyme label. The enzyme demonstrated a catalytic efficiency (kcat/Km) = 26500 1/(s∙mM) in combination with the substrate 1-naphtyl phosphate monosodium salt. The planar electrochemical sensors manufactured by industrial screen-printing technology were used for signal detection. The detection was carried out in differential pulse voltammetry mode. The calculated limit of detection by the enzymatic reaction product was 0.075 μM which significantly exceeded the sensitivity of colorimetric methods. The combination of the proposed methods and approaches makes it possible to obtain a quantitative analysis for cardiac TnI in human serum within 20 minutes with an estimated detection limit of 7 pg/mL and an upper reference limit of normal analyte concentration (99-th percentile) of 22 pg/mL.
Full Text
1. ВВЕДЕНИЕ
Сердечно-сосудистые заболевания, такие как острый инфаркт миокарда (ИМ), являются одной из наиболее распространенных причин смерти людей как в развивающихся, так и в развитых странах [1–4]. Диагностика ИМ – сложный процесс, который требует комплексного подхода, сочетающего несколько методов исследований, таких как оценка симптомов, электрокардиограмма, определение биомаркеров повреждения сердечной мышцы и пр. Одним из ключевых биомаркеров, используемых для диагностики ИМ, является сердечный тропонин I (cTnI) [5, 6]. Он представляет собой контрактильный белок определенной структуры [7], присутствующий исключительно в сердечной мышце, который высвобождается в кровь при повреждении миокарда (инфаркте миокарда) [8].
Физиологический уровень сTnI в крови здорового человека составляет менее 0.04 нг/мл [9]. Патологическая концентрация cTnI в крови, свидетельствующая о повреждении сердечной мышцы, может быть определена несколькими методами, которые различаются по продолжительности анализа и чувствительности.
Для количественного определения cTnI широко применяется иммуноферментный анализ (ИФА), в основе которого лежит специфическая реакция антиген–антитело. Выявление образовавшегося комплекса проводят с использованием фермента в качестве метки для регистрации сигнала. Нижние пределы обнаружения для cTn I методом ИФА могут находиться в интервале варьирования от 0.01 до 0.04 нг/мл [10], однако время анализа оказывается довольно длительным и обычно составляет около 1–2 ч.
В настоящей работе предложен метод количественного определения сердечного тропонина I в сыворотке и плазме крови человека методом гетерогенного иммуноферментного анализа на магнитных частицах с электрохимическим детектированием сигнала. В разрабатываемом методе использование магнитных частиц в качестве твердой фазы [11] дает ряд преимуществ перед традиционными методами гетерогенного ИФА, проводимыми на поверхности полистирольных планшетов. Реакция взаимодействия целевого антигена с антителами, связанными с поверхностью магнитных частиц, происходит в объеме образца, благодаря чему преодолеваются диффузионные ограничения и увеличивается скорость и иммунореакции, и ферментативного процесса. Электрохимический метод детекции характеризуется быстротой и чувствительностью и широко используется для определения различных белков в крови [12]. Предлагаемый метод анализа может быть реализован за 20 мин, что сопоставимо с современными методами экспресс-диагностики маркеров крови [13, 14]. Чувствительность метода иммуноанализа сравнима с традиционным ИФА и современными методами анализа и составляет 7 пг/мл. Верхний референтный предел нормы (99-й процентиль) составляет 22 пг/мл.
ЭКСПЕРИМЕНТАЛЬНАЯ ЧАСТЬ
Ковалентная модификация магнитных частиц
Магнитные частицы SileksMag-NH2, производства ООО “Силекс”, (Россия) покрыты SiO2-оболочкой и имеют на своей поверхности активные NH2-группы для возможности иммобилизации антител (АТ) захвата к cTnI (клоны 20С6 и 7В9 производства ООО “Хайтест”, Россия). Такие частицы активно используются для выделения различных белковых структур [15]. Ковалентная иммобилизация антител на поверхности магнитных частиц проводилась по методике производителя – ООО “Силекс”. Модифицированные частицы в концентрации 10 мг/мл необходимо хранить в фосфатно-солевом буфере с добавлением 0.5% бычьего сывороточного альбумина (БСА), 1% L-метионина, 0.02% NaN3 при рН 7.4 и температуре 4 °С.
Конъюгирование антител с ферментной меткой
Для конъюгирования антител детекции к cTn I (клоны 506сс и RecR33сс) с ферментом щелочной фосфатазой (код LPP-229, Toyobo enzymes, Japan) использовали метод сшивки через модификацию антител N-сукцинимидил-S-ацетилпропионатом (SATP, производства компании Thermo Fisher, (USA) и фермента через модификацию сульфосукцинимидил-4-[N-малеидометил]циклогексан-1-карбоксилатом ((Sulfo-SMCC), Thermo Fisher, (USA), согласно протоколу производителя. В результате получали стоковый раствор антител, конъюгированных с ферментной меткой с концентрацией АТ 1 мг/мл.
Ферментативная реакция
Мононатриевая соль 1-нафтилфосфата использовалась как электрохимический субстрат для фермента щелочной фосфатазы. В результате ферментативного гидролиза 1-нафтилфосфата в щелочной среде при pH 9.5 – 10 образуется электрохимически активный продукт реакции – 1-нафтол. Константу Михаэлиса (Km) и максимальную скорость ферментативного процесса (Vmax) с субстратом 1-нафтилфосфатом мононатриевой соли определяли по кривой Михаэлиса–Ментена [16] для щелочной фосфатазы в составе иммунологического комплекса на магнитных частицах. Экспериментально рассчитанная величина Km составляла 0.127 ммоль/л при максимальной скорости реакции 13 800 нА/(с ∙ мкмоль ∙ л-1). Для обеспечения оптимальных условий работы ферментной метки используют концентрацию субстрата >10Km. Это позволяет добиться максимальной скорости наработки продукта в течение всего времени процесса. Для проведения анализа была выбрана концентрация ферментативного субстрата, равная 1.5–2 ммоль/л. Щелочная фосфатаза в комбинации с субстратом 1-нафтилфосфатом демонстрирует высокую каталитическую эффективность (kcat/Km) = 26 500 (с ∙ ммоль/л)-1, где каталитическую константу kcat оценивали из данных по Vmax и чувствительности метода электрохимической детекции к продукту ферментативной реакции 1-нафтолу (4.1 нА на 1 мкмоль/л 1-нафтола).
ДЕТЕКТИРОВАНИЕ ЭЛЕКТРОХИМИЧЕСКОГО СИГНАЛА
В результате проведения электрохимической реакции на поверхности рабочего электрода происходило окисление гидроксильной группы 1-нафтола с образованием продукта реакции – 1,4-нафтохинона. Электрохимическое окисление фенольных соединений активно используется для изучения ферментативных процессов в различных системах [17, 18].
В работе использовались двухэлектродные электрохимические сенсоры, изготовленные на лавсановых подложках по технологии трафаретной печати с золотым рабочим электродом и электродом сравнения Ag/AgCl производства ООО “Компания “Элта”, (Россия). Для изготовления рабочего электрода использовалась паста ПЗл-М производства ООО “НПП Дельта-пасты” (Россия), а для электрода сравнения – паста ПСХП-1 того же производителя.
Электрохимические сигналы 1-нафтола регистрировали в буферном растворе диэтаноламина с концентрацией 50 ммоль/л с добавлением 5 ммоль/л MgCl2 и 100 ммоль/л KCl с pH = 9.5 методом дифференциально-импульсной вольтамперометрии (ДИВАМ) на потенциостате Corrtest CS350M производства компании Wuhan Corrtest Instruments Corp., Ltd., (КНР) при следующих условиях регистрации: Ebegin = 0.05 В, Eend = 0.5 В, ΔE = 12.5 мВ, Epuls= 50 мВ, tpuls = 0,06 c, Npuls= 0.5. Чувствительность электрохимического детектирования 1-нафтола методом ДИВАМ составляет k = 4.1 нА/(мкмоль л-1), а расчетный предел обнаружения (3SD0/k) = 0.075 мкмоль/л (1.5 пмоль), что существенно превосходит чувствительность колориметрического анализа, которая составляет ~8.5 мкмоль/л для 3,3′,5,5′-тетраметилбензидиндиимина. Линейный характер концентрационной зависимости для сигнала ДИВАМ 1-нафтола составляет 3 порядка и лежит в диапазоне от 0.1 до 100 мкмоль/л.
Процедура проведения анализа
Сборку иммунологического комплекса осуществляли по следующей процедуре: в пробирку с единичным объемом магнитных частиц (1–4 мкл), модифицированных АТ к cTnI вносили 50 мкл сыворотки крови человека, содержащей тройной комплекс TnITC в концентрациях 0, 0.75, 1.875, 7.5 и 10 нг/мл и 75 мкл АТ, конъюгированных с ферментной меткой, в концентрации 0.12–1 мкг/мл в фосфатно-солевом буфере с Твин-20 0.1% (ФСБТ) и БСА 5% при pH 7.4. После смешивания всех компонентов проводили их инкубацию в пробирке при комнатной температуре (23–25 °С) и при 37 °С в течение 10 мин и постоянном перемешивании. После сборки иммунологического комплекса несвязавшиеся компоненты системы убирали путем двукратной отмывки магнитных частиц буфером ФСБТ и однократной отмывки 50 ммоль/л диэтаноламиновым (ДЭА) буфером с pH = 9.5 для перевода системы в необходимую для работы фермента щелочную среду. Все отмывки осуществлялись с использованием внешнего магнитного поля постоянного магнита [19]. Затем к фракции магнитных частиц с иммунологическим комплексом на поверхности добавляли 40 мкл субстрата в концентрации 1.5 мкмоль/л в ДЭА-буфере с pH = 9.5 с добавлением KCl в концентрации 100 ммоль/л и MgCl2 в концентрации 5 ммоль/л и инкубировали в течение 10 мин при комнатной температуре или 37 °С и постоянном перемешивании. По истечении времени инкубации субстрат с наработанным продуктом переносили на рабочую поверхность электрохимического сенсора и проводили электрохимическое измерение сигнала ДИВАМ в условиях для регистрации 1-нафтола.
Оптимизация параметров сборки иммунологического комплекса
Предлагаемый метод иммунологического анализа включает в себя четыре основные стадии: иммунохимическая реакция на магнитных частицах, отмывка иммунологического комплекса от несвязавшихся компонентов системы, инкубация с ферментативным субстратом для наработки электрохимически активного продукта, регистрация электрохимического сигнала.
Эффективная реализация иммунологического анализа требует подбора и оптимизации условий сборки комплекса на магнитных частицах, таких как количество магнитных частиц с АТ захвата, концентрация ферментной метки, конъюгированной со вторыми антителами, и температура процесса. Объем магнитных частиц (V) для анализа варьировали в диапазоне от 1 до 4 мкл на пробу, концентрацию ферментной метки (C) в диапазоне 0.12–1 мкг/мл, сборку иммунологического комплекса и наработку продукта реакции проводили при комнатной температуре (23–25 °C) и при 37 °С. Варьируя один из указанных выше параметров, другой оставляли постоянным.
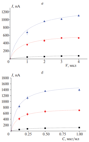
На рис.1 представлены зависимости интенсивности электрохимического сигнала от объема магнитных частиц и концентрации конъюгата антител с ферментной меткой. Данные, полученные при электрохимическом детектировании продукта ферментативной реакции, свидетельствуют о том, что оптимальный объем магнитных частиц для достоверной иммунопреципитации целевого белка из образца сыворотки крови человека составляет 3 мкл на одну пробу (рис. 1а), а конъюгата АТ с ферментной меткой – 0.5 мкг/мл (рис. 1б). Увеличение объема магнитных частиц и АТ, конъюгированных с ферментом, выше оптимальных значений существенно не влияет на эффективность сборки иммунологического комплекса. Проверка температурных режимов для процессов сборки иммунологического комплекса и наработки продукта ферментативной реакции показала, что при комнатной температуре ферментативный процесс существенно замедляется, по сравнению с наработкой при 37 °С, а на сборку иммунологического комплекса температурный режим значительного влияния не оказывает (рис. 2).
Рис. 1. Зависимости электрохимического сигнала от количества магнитных частиц (а) и от концентрации АТ, конъюгированных с ферментной меткой (б), для разной концентрации cTn I в пробе ■ – 1 нг/мл, • – 10 нг/мл, ▲ – 25 нг/мл.
Рис. 2. Зависимость интенсивности электрохимического сигнала от температурного режима сборки иммунологического комплекса на магнитных частицах и наработки продукта ферментативной реакции; 1 – температура сборки иммунологического комплекса 25 °С, температура наработки продукта ферментативной реакции 25 °С; 2 – температура сборки иммунологического комплекса 25 °С, температура наработки продукта ферментативной реакции 37 °С; 3 – температура сборки иммунологического комплекса 37 °С, температура наработки продукта ферментативной реакции – 37 °С.
С использованием данных по оптимизации процедуры анализа была получена калибровочная зависимость интенсивности электрохимического сигнала от концентрации тропонина I в пробе с использованием коммерческого калибратора тройного комплекса TnITC производства ООО “Хайтест” (Россия), рис. 3 (круглые маркеры). При сборке иммунологического комплекса для калибровочной зависимости использовали магнитные частицы в количестве 3 мкл на одну пробу, 50 мкл сыворотки крови человека и 75 мкл АТ, конъюгированных с ферментной меткой в концентрации 0.5 мкг/мл. Сборку иммунологического комплекса проводили в одну стадию при комнатной температуре, а наработку ферментативного продукта – при 37 °С. Электрохимический сигнал регистрировали в режиме ДИВАМ для количественного определения 1-нафтола.
Рис. 3. Калибровочная зависимость интенсивности электрохимического сигнала от концентрации тропонинового комплекса TnITC в образце (•); на вставке – начальный участок калибровочной зависимости; ▲ – интенсивность сигналов c TnI в образцах сыворотки крови пациентов в зависимости от концентрации c Tn I по данным ГКБ №29.
Калибровочную зависимость получали в диапазоне концентраций тропонина I от 0 до 10 нг/мл. Условно зависимость можно разделить на два линейных участка – от 0 до 1 нг/мл и от 1 до 10 нг/л, описываемых уравнениями линейной регрессии: y = 228.0x + 1.5 и y = 130.9х + 74.1 соответственно. Разрабатываемый метод иммуноанализа с электрохимическим детектированием обладает высокой чувствительностью и низким пределом обнаружения. Предел обнаружения, рассчитанный по калибровочной зависимости в диапазоне концентраций тропонина I от 0 до 1 нг/мл как 3SD0/228.0, составляет 7 пг/мл.
Построение калибровочной зависимости позволяет реализовать апробацию метода иммуноферментного анализа на магнитных частицах с электрохимическим детектированием на сыворотках крови пациентов с подозрением на инфаркт миокарда, предоставленных кардиологическим отделением Городской клинической больницы №29 (ГКБ №29). На рис. 3 треугольными маркерами приведены данные по интенсивности электрохимических сигналов, полученных для образцов сыворотки крови пациентов в соответствии с концентрацией сTnI, измеренной на анализаторе Mindray bs800 (КНР) в лаборатории ГКБ № 29. Полученные значения интенсивности сигналов для пациентов удовлетворительно соотносятся с калибровочной зависимостью для тройного комплекса TnITC. В табл. 1 представлены данные по концентрации сTnI в образцах крови пациентов, измеренные в ГКБ №29 на анализаторе Mindray bs800, а также референсным методом на экспресс-анализаторе Getein-1100 (КНР) в лабораторных условиях ИБХФ РАН и методом ИФА на магнитных частицах и рассчитанные по уравнениям для разных участков калибровочной зависимости.
Таблица 1. Сводная таблица данных измерения концентрации тропонина I в образцах сыворотки крови пациентов, предоставленных ГКБ №29. Сравнение результатов, полученных в ГКБ №29 и на анализаторе Getein 1100
№ пробы | Данные из ГКБ №2٩, нг/мл | Данные анализатора Getein 1100, нг/мл | Расчетные значения, нг/мл | Относительная ошибка, ٪ | Iav, нА | SD, нА | RSD, % |
10 | 0.01 | 0.01 | 0.000 ± 0.000 | – | 1.34 | 0.07 | 6 |
12 | 0.01 | 0.01 | 0.002 ± 0.002 | 79 | 1.97 | 0.38 | 19 |
17 | 0.01 | 0.01 | 0.003 ± 0.002 | 19 | 2.25 | 0.35 | 16 |
20 | 0.01 | 0.01 | 0.004 ± 0.003 | 80 | 2.35 | 0.70 | 30 |
5 | 0.01 | 0.01 | 0.005 ± 0.003 | 30 | 2.52 | 0.66 | 26 |
28 | 0.01 | 0.01 | 0.006 ± 0.004 | 65 | 2.88 | 0.90 | 31 |
66 | 0.01 | 0.01 | 0.007 ± 0.003 | 45 | 3.05 | 0.70 | 23 |
57 | 0.01 | 0.01 | 0.008 ± 0.003 | 37 | 3.23 | 0.64 | 20 |
50 | 0.01 | 0.01 | 0.008 ± 0.003 | 31 | 3.25 | 0.54 | 17 |
34 | 0.01 | 0.01 | 0.009 ± 0.001 | 13 | 3.65 | 0.29 | 8 |
6 | 0.01 | 0.01 | 0.010 ± 0.002 | 24 | 3.70 | 0.54 | 14 |
25 | 0.01 | 0.01 | 0.014 ± 0.001 | 9 | 4.68 | 0.26 | 6 |
3 | 0.01 | 0.01 | 0.014 ± 0.001 | 9 | 4.70 | 0.30 | 6 |
4 | 0.01 | 0.01 | 0.017 ± 0.001 | 8 | 5.37 | 0.32 | 6 |
2 | 0.02 | 0.01 | 0.013 ± 0.001 | 4 | 4.45 | 0.17 | 4 |
27 | 0.02 | 0.01 | 0.006 ± 0.002 | 28 | 2.83 | 0.38 | 13 |
11 | 0.04 | 0.01 | 0.034 ± 0.015 | 38 | 9.35 | 3.38 | 43 |
32 | 0.09 | 0.06 | 0.049 ± 0.022 | 44 | 12.78 | 4.92 | 38 |
38 | 0.11 | 0.08 | 0.081 ± 0.007 | 9 | 20.03 | 1.58 | 8 |
61 | 0.94 | 2.54 | 0.916 ± 0.071 | 8 | 210.25 | 16.21 | 8 |
58 | 10.69 | 12.27 | 10.153 ± 0.219 | 2 | 1403.13 | 28.72 | 2 |
Примечание: Iav – среднее значение интенсивности электрохимического сигнала, SD – стандартное отклонение интенсивности электрохимического сигнала от среднего значения, RSD – относительное стандартное отклонение интенсивности электрохимического сигнала от среднего значения.
Для реализации метода иммуноанализа, кроме чувствительности, важным параметром является специфичность анализа, которая определяется как верхний референтный предел концентрации целевого белка, при котором 99 из 100 лиц здоровой популяции будут иметь отрицательный результат тестирования – 99-й процентиль. Для расчета 99-го процентиля были проведены измерения 16 проб сыворотки здоровых людей, чей показатель cTnI не превышает 20 пг/мл. Для каждой пробы было проведено по два независимых анализа, включая сборку иммунологического комплекса, наработку продукта ферментативной реакции и регистрацию электрохимического сигнала. В результате для статистической обработки был получен массив из 32 независимых величин. С использованием полученных значений интенсивностей электрохимического сигнала была проведена линейная интерполяция между соседними значениями в наборе данных из 32 упорядоченных по величине сигналов. Верхний референтный предел концентрации целевого белка или 99-й процентиль списка (от меньших к большим) рассчитывался как наименьшее в списке число, которое больше, чем 99% всех чисел исследуемого ряда. Расчет проводился в программе Excel с использованием встроенной статистической функции ПРОЦЕНТИЛЬ.ВКЛ. В результате обработки значение верхнего референтного предела нормы для разрабатываемого метода анализа было определено как ~22 пг/мл.
ЗАКЛЮЧЕНИЕ
Метод иммуноферментного анализа на магнитных частицах с электрохимическим детектированием, предложенный в работе, демонстрирует высокую чувствительность и специфичность при количественном определении сердечного тропонина I в сыворотке крови человека. Разработанный метод может стать платформой для создания автоматизированных систем диагностики маркеров острого инфаркта миокарда и других специфических маркеров заболеваний. Такие системы диагностики могут оказаться востребованными для проведения экспресс-анализа в медицинских организациях по месту приема пациента.
Авторы выражают благодарность ГКБ №29 за предоставленные образцы сыворотки и плазмы крови.
Работа выполнена за счет средств госзадания (тема № 122041400080-0).
About the authors
O. N. Sorokina
Emanuel Institute of Biochemical Physics, Russian Academy of Sciences
Author for correspondence.
Email: alsiona@gmail.com
Russian Federation, Moscow
T. S. Konstantinova
Emanuel Institute of Biochemical Physics, Russian Academy of Sciences
Email: alsiona@gmail.com
Russian Federation, Moscow
A. K. Vorobyova
Emanuel Institute of Biochemical Physics, Russian Academy of Sciences
Email: alsiona@gmail.com
Russian Federation, Moscow
A. D. Vasilyeva
Emanuel Institute of Biochemical Physics, Russian Academy of Sciences
Email: alsiona@gmail.com
Russian Federation, Moscow
L. V. Yurina
Emanuel Institute of Biochemical Physics, Russian Academy of Sciences
Email: alsiona@gmail.com
Russian Federation, Moscow
A. V. Eremenko
Emanuel Institute of Biochemical Physics, Russian Academy of Sciences
Email: alsiona@gmail.com
Russian Federation, Moscow
A. V. Lyzhenkova
Bauman City Clinical Hospital No.29, Health Department of Moscow
Email: alsiona@gmail.com
Russian Federation, Moscow
L. O. Minushkina
“Central State Medical Academy” Department of the President of the Russian Federation
Email: alsiona@gmail.com
Russian Federation, Moscow
D. A. Zateyshchikov
Bauman City Clinical Hospital No.29, Health Department of Moscow; “Central State Medical Academy” Department of the President of the Russian Federation
Email: alsiona@gmail.com
Russian Federation, Moscow; Moscow
I. N. Kurochkin
Emanuel Institute of Biochemical Physics, Russian Academy of Sciences; Lomonosov Moscow State University
Email: alsiona@gmail.com
Russian Federation, Moscow; Moscow
References
- Hahla M.S., Saeed Y., Razieh H. // Res. J. Pharm. Biol. Chem. Sci. 7 (6), 2013 (2016).
- National Center for Health Statistics. Multiple Cause of Death 2018–2021 on CDC WONDER Database (2023) https://wonder.cdc.gov/wonder/help/mcd-expanded.html
- Federal State Statistics Service (Rosstat). Operational demographic indicators for January – June 2020 (2021). https://rosstat.gov.ru/storage/mediabank/BgjLrP31/demogr_01-06.pdf
- Bogachev R.S., Mikhailova L.V., Shcherbanev K.G., et al. // “Social Aspects of Population Health” scientific e-journal. 69 (2) (2023) http://vestnik.mednet.ru/content/view/1461/30/lang,ru/
- Docherty A.B., Sim M., Oliveira J., et al. // Crit Care. 21, 216 (2017).
- Karibaev K.R., Makhanov D.I., Maidyrov E.S., et al. // Vestnik Novsu. 112 (6), 59 (2018).
- Shaitan K.V. // Russ. J. Phys. Chem. B 17 (3), 550 (2023).
- Katrukha I.A., Katrukha A.G. // Clinical Chem. 67 (1), 124 (2021).
- Thygesen K., Alpert J.S., Jaffe A.S., et al. // Circulation. 138 (20), e618 (2018).
- Babuin L., Jaffe A.S. // CMAJ. 173 (10), 1191 (2005).
- Alymov M.I., Seplyarskii B.S., A. Kochetkov // Russ. J. Phys. Chem. B 17 (4), 1005 (2023).
- Reddy K.K., Bandal H., Satyanarayana M., et al. // Adv. Sci. 7, 1902980 (2020).
- Nechaeva N.L., Sorokina O.N., Konstantinova T.S., et al.// J. Anal. Chem. 77, (5) 531 (2022).
- Nechaeva N.L., Sorokina O.N., Konstantinova T.S., et al. // Talanta. 224, 121860 (2021).
- Vasilyeva A.D., Yurina L.V., Azarova D.Yu., et al. // Russ. J. Phys. Chem. B. 16 (1)118 (2022).
- Khrenova M.G., Polyakov I.V., Nemukhin A.V. // Russ. J. Phys. Chem. B. 16 (3), 455 (2022).
- Misin V.M., Sazhina N.N. // Russ. J. of Phys. Chem. B. 4 (5),797 (2010).
- Sazhina N.N., Misin V.M. // Khim. Fizika (in Russian) 31 (11), 48 (2012).
- Podoynitsyn S.N., Sorokina O.N., Kovarsky A.L. // Russ. J. Phys. Chem. B. 10 (2), 321 (2016).
Supplementary files





