Photonics of bilirubin – biologically important molecule (Review)
- Authors: Tatikolov A.S.1, Panova I.G.2
-
Affiliations:
- Emanuel Institute of Biochemical Physics, Russian Academy of Sciences
- International Scientific and Practical Center of Tissue Proliferation
- Issue: Vol 43, No 11 (2024)
- Pages: 3-9
- Section: СТРОЕНИЕ ХИМИЧЕСКИХ СОЕДИНЕНИЙ, КВАНТОВАЯ ХИМИЯ, СПЕКТРОСКОПИЯ
- URL: https://bakhtiniada.ru/0207-401X/article/view/281859
- DOI: https://doi.org/10.31857/S0207401X24110011
- ID: 281859
Cite item
Full Text
Abstract
Bilirubin, a bile pigment having photochemical activity, plays an important role in the body. Photonics (photophysics and photochemistry) of bilirubin has attracted scientific and practical interest of researchers up to the present day. This is because its molecule is capable of ultrafast photoisomerization processes, and also contains two interacting dipyrromethenone chromophores. Furthermore, the photochemical reactions of bilirubin are used in the widespread phototherapy of neonatal jaundice (neonatal hyperbilirubinemia), carried out to reduce the level of bilirubin in the body. This review briefly considers photonics of bilirubin, as well as its main photochemical reactions in phototherapy of neonatal hyperbilirubinemia.
Full Text
1. ВВЕДЕНИЕ
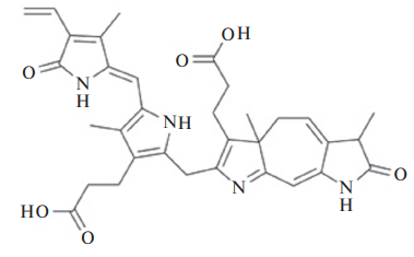
Среди молекулярных компонентов организма важную роль играет билирубин (БР) — пигмент желчи человека и животных, окрашенный в желтый цвет и проявляющий фотохимическую активность (рис. 1). Билирубин является конечным продуктом метаболизма гем-содержащих белковых молекул — гемоглобина, миоглобина, некоторых ферментов; он практически не растворим в воде. В клетках ретикуло-эндотелиальной системы c участием гемоксигеназы-1 (НО-1) гем расщепляется до СО, Fe2+ и биливердина. Под действием биливердинредуктазы биливердин восстанавливается до БР (так называемый неконъюгированный или непрямой БР). Билирубин обладает высокой токсичностью и, поступая в кровеносное русло, образует комплекс с сывороточным альбумином, что делает его нетоксичным. Этот комплекс транспортируется в клетки печени, где БР связывается с глюкуроновой кислотой с образованием растворимого прямого (или конъюгированного) БР. Затем прямой БР из печени поступает в желчные капилляры и через кишечник выводится из организма [1–6].
Рис. 1. Структура молекулы БР.
Особое значение имеет изучение фотоники (фотофизики и фотохимии) БР. Молекула БР способна участвовать в сверхбыстрых процессах фотоизомеризации и других важных фотопроцессах; кроме того, она содержит два дипиррометеноновых хромофора, которые могут взаимодействовать между собой посредством экситонной связи, зависящей от геометрии молекулы [7–10]. Практический интерес к фотохимии БР вызван широким распространением метода фототерапии желтухи новорожденных, основанном на фотохимических реакциях БР при освещении кожных покровов новорожденных, страдающих неонатальной гипербилирубинемией (высоким уровнем БР в организме) [9–11]. В настоящем обзоре рассмотрены элементарные фотофизические и фотохимические процессы с участием БР, а также фотохимические реакции БР в фототерапии неонатальной гипербилирубинемии (ФНГ).
2. ФОТОФИЗИЧЕСКИЕ И ФОТОХИМИЧЕСКИЕ СВОЙСТВА БИЛИРУБИНА
Данные литературы указывают на то, что БР в растворе обладает изогнутой конформацией, имеющей Z-конфигурацию относительно двойных связей 4–5 и 15–16 (4Z, 15Z-изомер, обозначаемый как 4Z, 15Z-билирубин-IXα), стабилизированную внутримолекулярными водород-ными связями (рис. 2). Такую конформацию БР имеет и в комплексе с сывороточным альбумином человека (САЧ) [8, 11, 12].
Рис. 2. Структура Z,Z-конформации БР – 4Z,15Z-билирубина-IXα. Штриховыми линиями показаны внутримолекулярные водородные связи, стабилизирующие Z,Z-конформацию. Стрелки указывают на двойные связи 4–5 и 15–16, относительно которых происходит фотоизомеризация БР.
Спектр поглощения БР в комплексе с САЧ представляет собой широкую полосу, простирающуюся от 350 до 530 нм с максимумом около 460 нм; в отсутствие САЧ (в буфере) спектр (с максимумом при 443 нм) несколько уширяется [11–13]. Квантовый выход флуоресценции БР в комплексе с САЧ Φf = 0.003; в отсутствие САЧ он резко уменьшается (Φf < 2 × 10–5). Положение максимума флуоресценции комплекса БР–САЧ несколько зависит от длины волны возбуждения и лежит в области 520–526 нм при возбуждении длины волны λ = 420–470 нм. Квантовый выход интеркомбинационной конверсии в триплетное состояние для БР в комплексе с САЧ ΦT < 0.01 [7]. Низкие выходы флуоресценции указывают на сверхбыструю безызлучательную дезактивацию электронно-возбужденного состояния БР, к которой относится фотоизомеризация в результате поворота относительно одной из двойных связей молекулы БР – 4–5 или 15–16 (Z → E-изомеризация, схема):
(1)
При этом САЧ стабилизирует 4Z,15E–изомер в комплексе с БР. Квантовый выход 4Z,15E-изомера для комплекса БР–САЧ Φi = 0.20 при фотовозбуждении светом с λ = 465 нм [14] (по более поздним данным, Φi = 0.10 при λ = 458 нм, причем с ростом длины волны света Φi уменьшается, а соотношение [4E,15Z]/[4Z,15E] возрастает [10]). Наряду с фотоизомеризацией, происходит быстрая диссипация энергии возбуждения путем безызлучательного перехода (внутренней конверсии) в исходный изомер БР [7]. Квантовый выход других продуктов фотопревращения БР – люмирубина (рис. 3), а также продуктов фотоокисления – гораздо ниже, чем 4Z,15E-изомера (суммарно < 0.008 [7], ~0.001 для люмирубина [15]). Хотя ряд конечных фотопродуктов имеют низкие квантовые выходы, их образование может быть существенно при проведении ФНГ [10].
Рис. 3. Структура люмирубина (циклобилирубина).
Первичные сверхбыстрые процессы безызлучательной дезактивации энергии электронного возбуждения в молекуле БР изучались методами с фемтосекундным временным разрешением [16–19]. В кинетике затухания флуоресценции было обнаружено наличие быстрого компонента со временем, равным ~120 фс, который был отнесен к процессу локализации экситона на одном из хромофоров – половинок молекулы. Более медленные компоненты в несколько сотен фемтосекунд и несколько пикосекунд отнесены к релаксации в “скрученный” промежуточный продукт, который далее переходил за время, равное ~15 пс в исходное состояние молекулы [15].
В работе [20] было показано, что дезактивация фотовозбужденного БР происходит через образование нефлуоресцирующего (dark) состояния, переходящего затем в течение 15 пс в исходное состояние. Предполагалось экситонное взаимодействие S1-состояний экзо- и эндо-половинок молекулы БР, приводящее к расщеплению электронных уровней. При этом было обнаружено двухфотонное стимулирование второстепенного канала Z → E-изомеризации, которое, возможно, осуществляется через долгоживущий интермедиат.
Различные интермедиаты сверхбыстрой деградации фотовозбужденного БР были охарактеризованы с использованием вычислительных методов. Результаты расчетов хорошо согласуются с экспериментальными данными из литературных источников [21].
В недавней работе с использованием фемтосекундной спектроскопии комбинационного рассеяния и квантово-химических расчетов была изучена динамика сверхбыстрой фотоизомеризации БР [22]. Результаты исследования показали, что при фотовозбуждении вначале происходит сверхбыстрая конфигурационная изомеризация с сохранением объема (механизм “hula-twist”) за время, равное ~300 фс, после чего следует искажение внутримолекулярных водородных связей и крупномасштабный поворот двух дипирриноновых половин изомера Z,Z-БР за несколько пикосекунд. После этого большая часть молекул возвращается обратно в Z,Z-БР, и только очень небольшая доля превращается в стабильные изомеры БР путем изомеризации.
Наряду с фотоизомеризацией, БР может также участвовать в реакциях фотосенсибилизированного окисления с участием триплетных молекул БР, сенсибилизирующих образование синглетного кислорода [23]. Реализация этих процессов была доказана экспериментально путем лазерного возбуждения БР и регистрации люминесценции синглетного кислорода [24]. Однако в связи с низким квантовым выходом БР в триплетное состояние выход продуктов фотоокисления БР мал по сравнению с выходом фотоизомеров [25].
ФОТОХИМИЧЕСКИЕ РЕАКЦИИ БИЛИРУБИНА ПРИ ФОТОТЕРАПИИ НЕОНАТАЛЬНОЙ ГИПЕРБИЛИРУБИНЕМИИ
Суть метода ФНГ заключается в воздействии на кожные покровы новорожденных с гипербилирубинемией (окрашивание кожи в желтый цвет из-за высокого уровня БР) светом различных длин волн (обычно синей или сине-зеленой области спектра), приводящим к уменьшению желтизны и выведению БР из организма [26]. Основные фотохимические реакции БР (исходный изомер обозначен как 4Z,15Z-БР-IXα), происходящие при ФНГ, показаны ниже:
где ЦБР – циклобилирубин (люмирубин).
4E,15Z-ЦБР-IXα может также фотоизомеризоваться в 4E,15E-ЦБР-IXα [27].
Изомер билирубина 4Z,15E-билирубин-IXα является основным продуктом обратимых фотохимических реакций геометрической изомеризации, а 4E,15Z-циклобилирубин-IXα (4E,15Z-ЦБР-IXα, или Z-люмирубин, см. рис. 3) – основным продуктом необратимой реакции структурной фотоизомеризации (фотоциклизации). Образующиеся фотоизомеры растворимы в воде и легко выводятся из организма (в основном через печень и желчь). В то же время Z-люмирубин может в некоторых случаях полимеризоваться в темно-коричневое вещество, вызывающее синдром “бронзового ребенка” (повышенное производство бронзовых пигментов) – вредную побочную реакцию при фототерапии [3, 27].
Наряду с продуктами фотоизомеризации, при ФНГ обнаруживается образование продуктов фотоокисления БР (в частности, водорастворимых окисленных моно- и дипирролов, которые выводятся из организма главным образом через почки) [4]. В то же время есть мнение, что фотоокисление БР не вносит существенного вклада в фотопроцессы, происходящие при ФНГ, а продукты окисления БР образуются путем темновых реакций БР с активными формами кислорода, присутствующими в организме (в случае реакции переноса электрона – с образованием биливердина), что обусловливает его антиоксидантную активность [3].
Фототерапии неонатальной гипербилирубинемии посвящено большое число работ, и здесь мы остановимся только на некоторых из них. В ряде работ изучалось влияние параметров источника света (типа источника, длины волн, интенсивности и др.) на фототерапию. В работе [28] проводили сравнение действия фильтрованного солнечного света (λ = 400–900 нм) и интенсивного светодиодного облучения (λ = 420–530 нм) при фототерапии новорожденных с выраженной (от средней до высокой) степенью гипербилирубинемии. Авторами установлено, что не наблюдалось существенных различий в эффектах, вызванных действием солнечного света и светодиодного облучения. В то же время использование светодиодов позволяет, в частности, уменьшить тепловой эффект при достаточно высокой интенсивности облучения.
В некоторых исследованиях показано, что светодиодное излучение с длиной волны λmax= 410 нм наиболее эффективно для фотоизомеризации 4Z,15Z-БР → 4Z,15E-БР. В то же время зеленый свет с λmax ~ 510 нм производит больше люмирубина и меньше 4Z,15E-БР и идеален для ФНГ, поскольку коротковолновый свет в диапазоне длин волн 350–450 нм может оказывать вредное воздействие (в частности, иметь мутагенный эффект) [29–31].
В ряде работ сопоставлялась эффективность фототерапии светодиодными источниками синего и сине-зеленого света [32–36]. На животных моделях было обнаружено, что фототерапия смешанным фильтрованным синим (440–520 нм) и зеленым (490–590 нм) светом (50% синего и 50% зеленого света) примерно так же эффективна, как и фототерапия синим светом, но вызывает более низкий окислительный стресс [32]. Исследование на новорожденных показало, что светодиодный сине-зеленый свет диапазона 470–490 нм (λmax = = 478 нм) на 31% более эффективен, чем синий свет диапазона 450–470 нм (λmax = 459 нм) [35]. В настоящее время имеются рекомендации (в частности, в работе [37]), а также указание Американской академии педиатрии [38] использовать в ФНГ именно смешанный сине-зеленый свет.
В недавней работе [27] подробно анализируются результаты перехода от синего к сине-зеленому свету при светодиодной ФНГ. К положительным эффектам авторы относят уменьшение фотоокисления, гено/цитотоксичности, снижение риска развития рака и смертности у новорожденных с низкой массой тела. В то же время в организме под действием сине-зеленого света может снижаться уровень витамина B2 (рибофлавина) за счет фотоокисления. К тому же из-за усиленного образования люмирубина при сине-зеленом освещении может наблюдаться синдром “бронзового” ребенка у предрасположенных к этому новорожденных. Дальнейшее развитие метода ФНГ должно заключаться в оптимизации условий осуществления процесса (длины волны облучения, интенсивности света, времени и периодичности облучения и др.) с целью повышения эффективности выведения БР из организма при минимизации побочных эффектов.
ЗАКЛЮЧЕНИЕ
Билирубин представляет собой биомолекулу, играющую важную роль в процессах жизнедеятельности организма (в частности, являющуюся мощным антиоксидантом). Фотоника БР в настоящее время вызывает значительный научный и практический интерес. Исследование сверхбыстрых маршрутов фотопревращений БР позволяет выявить новые важные закономерности этих процессов, а изучение экситонного взаимодействия двух хромофоров в молекуле БР – его влияние на фотохимические свойства молекулы (в частности, объясняет зависимость флуоресценции от длины волны возбуждения). Фотохимические реакции БР используются в ФНГ, основанной на геометрической и структурной фотоизомеризации БР, а также его фотоокислении. Фототерапия неонатальной гипербилирубинемии дает возможность выведения избытка БР из организма путем воздействия на кожные покровы новорожденных, страдающих гипербилирубинемией. В настоящее время при ФНГ рекомендовано использовать светодиодное облучение сине-зеленого диапазона. Развитие метода ФНГ должно заключаться в дальнейшей оптимизации условий осуществления процесса с целью повышения эффективности выведения БР из организма при минимизации побочных эффектов.
Работа выполнена в рамках госзадания ИБХФ РАН (тема № 001201253314).
About the authors
A. S. Tatikolov
Emanuel Institute of Biochemical Physics, Russian Academy of Sciences
Author for correspondence.
Email: tatikolov@mail.ru
Russian Federation, Moscow
I. G. Panova
International Scientific and Practical Center of Tissue Proliferation
Email: tatikolov@mail.ru
Russian Federation, Moscow
References
- S.Y. Kim and S.C. Park, Front. Pharmacol. 3, 45 (2012). https://doi.org/10.3389/fphar.2012.00045
- E. Sticova and M. Jirsa, World J. Gastroenterol. 19, 6398 (2013). https://doi.org/10.3748/wjg.v19.i38.6398
- S. Itoh, H. Okada, K. Koyano, S. Nakamura, Y. Konishi, T. Iwase, and T. Kusaka, Front. Pediatr. 10, 1002408 (2023). https://doi.org/10.3389/fped.2022.1002408
- D.A. Lightner and A.F. McDonagh, Acc. Chem. Res. 17, 417 (1984). https://doi.org/10.1021/ar00108a002
- C.P. Soto Conti, Arch. Argent. Pediatr. 119, No. 1, e18 (2021). http://dx.doi.org/10.5546/aap.2021.eng.e18
- J.F. Creeden, D.M. Gordon, D.E. Stec, and T.D. Hinds Ir, Am. J. Physiol. Endocrinol. Metab. 320, E191 (2021). https://doi.org/10.1152/ajpendo.00405.2020
- A.A. Lamola, Effects of environment on photophysical processes of bilirubin. In: Optical Properties and Structure of Terrapyrroles. Edited by G. Blauer and H. Sund. Walter de Gruyter, Berlin, 1985, p. 311–326.
- D.A. Lightner, J.K. Gawronski, and W.M.D. Wijekoon, J. Am. Chem. Soc. 109, No. 21, 6354 (1987). https://doi.org/10.1021/ja00255a020
- A.F. McDonagh and D.A. Lightner, Pediatrics 75, 443 (1985). https://doi.org/10.1542/peds.75.3.443
- A.F. McDonagh and D.A. Lightner, Semin. Liver Dis. 8, 272 (1988). https://doi.org/10.1055/s-2008-1040549
- J.E. Ennever, Pediatr. Clin. North Am. 33, 603 (1986). https://doi.org/10.1016/S0031-3955(16)36045-X
- D.A. Lightner, M. Reisinger, and G.L. Landen, J. Biol. Chem. 261, No. 13, 6034 (1986). https://doi.org/10.1016/S0021-9258(17)38489-2
- M. Taniguchi and J.S. Lindsey, J. Photochem. Photobiol. C 55, 100585 (2023). https://doi.org/10.1016/j.jphotochemrev.2023.100585
- A.A. Lamola and J. Flores, J. Am. Chem. Soc. 104, No. 9, 2530 (1982). https://doi.org/10.1021/ja00373a033
- B. Zietz and T. Gillbro, J. Phys. Chem. B 111, 11997 (2007). https://doi.org/10.1021/jp073421c
- A.S. Vetchinkin, S.Ya. Umanskii, Yu.A. Chaikina, and A.I. Shushin, Russ. J. Phys. Chem. B 16, No. 5, 945 (2022). https://doi.org/10.1134/S1990793122050104
- D.R. Anfimov, I.S. Golyak, O.A. Nebritova, and I.L. Fufurin, Russ. J. Phys. Chem. B 16, No. 5, 834 (2022). https://doi.org/10.1134/s1990793122050165
- V. Gorokhov, P. Knox, B. Korvatovskiy, N.Kh. Seifullina, S.N. Goryachev, N.P. Grishanova, V.Z. Paschenko, and A. B. Rubin, Russ. J. Phys. Chem. B 17, No. 3, 571 (2023). https://doi.org/10.1134/S199079312303020X
- D.A. Cherepanov, G.E. Milanovsky, V.A. Nadtochenko, and A.Yu. Semenov, Russ. J. Phys. Chem. B 17, No. 3, 594 (2023). https://doi.org/10.1134/S1990793123030193
- C. Carreira-Blanco, P. Singer, R. Diller, and J.L.P. Lustres, Phys. Chem. Chem. Phys. 18, 7148 (2016). https://doi.org/10.1039/c5cp06971h
- H.P. Upadhyaya, J. Phys. Chem. A 122, No. 46, 9084 (2018). https://doi.org/10.1021/acs.jpca.8b09392
- R. Pu, Z. Wang, R. Zhu, J. Jiang, T.-C. Weng, Y. Huang, and W. Liu, J. Phys. Chem. Lett. 14, 809 (2023). https://doi.org/10.1021/acs.jpclett.2c03535
- E.J. Land, Photochem. Photobiol. 24, 475 (1976). https://doi.org/10.1111/j.1751-1097.1976.tb06857.x
- V.Yu. Plavskii, A.I. Tretyakova, L.G. Plavskaya, A.V. Mikulich, A.S. Stashevskii, A.S. Grabchikov, I.A. Khodasevich, and V.A. Orlovich, Molecular, membrane and cellular basis of the functioning of biosystems: Int. Scientific Conf. Tenth Congress of the Belarusian Public Association of Photobiologists and Biophysicists, June 19–21, 2012, Minsk, Belarus: Books of Art. in 2 books. Book 2. Editorial board: I.D. Volotovskii, S.N. Cherenkevich, et al. Minsk: Publishing house Center of BSU, 2012. P. 71, ISBN 978-985-553-356-7.
- R.W. Sloper and T.G. Truscott, Photoсhem. Photobiol. 35, 743 (1982). https://doi.org/10.1111/j.1751-1097.1982.tb02640.x
- K.L. Tan, Clin. Perinatol. 18, No. 3, 423 (1991). https://doi.org/10.1016/S0095-5108(18)30506-2
- F. Ebbesen, H.J. Vreman, and T.W.R. Hansen, Int. J. Mol. Sci. 24, 461 (2023). https://doi.org/10.3390/ijms24010461
- T.M. Slusher, H.J. Vreman, A.M. Brearley, Y.E. Vaucher, R.J. Wong, D.K. Stevenson, O.T. Adeleke, I.P. Ojo, G. Edowhorhu, T.C. Lund, and D.A. Gbadero, Lancet Glob. Health 6, e1122 (2018). http://dx.doi.org/10.1016/S2214-109X(18)30373-5
- S. Onishi, S. Itoh, and K. Isobe, Biochem. J. 236, 23 (1986). https://doi.org/10.1042/bj2360023
- S. Itoh, S. Onishi, K. Isobe, M. Manabe, and T. Yamakawa, Biol. Neonate 51, 10 (1987). https://doi.org/10.1159/000242625
- S. Itoh, H. Okada, T. Kuboi, and T. Kusaka, Pediatr. Intern. 59, 959 (2017). https://doi.org/10.1111/ped.13332
- Y. Uchida, Y. Morimoto, T. Uchiike, T. Kamamoto, T. Hayashi, I. Arai, T. Nishikubo, and Y. Takahashi, Early Human Dev. 91, 381 (2015). http://dx.doi.org/10.1016/j.earlhumdev.2015.04.010
- F. Ebbesen, P. Madsen, S. Støvring, H. Hundborg, and G. Agati, Acta Pædiatr. 96, 837 (2007). https://doi.org/10.1111/j.1651-2227.2007.00261.x
- F. Ebbesen, P.K. Vandborg, and M.L. Donneborg, Seminars in Perinatol. 45, 151358 (2021). https://doi.org/10.1016/j.semperi.2020.151358
- F. Ebbesen, M. Rodrigo-Domingo, A.M. Moeller, H.J. Vreman, and M.L. Donneborg, Pediatr. Res. 89, 598 (2021). https://doi.org/10.1038/s41390-020-0911-9
- F. Ebbesen, P.H. Madsen, P.K. Vandborg, L.H. Jakobsen, T. Trydal, and H.J. Vreman, Pediatr. Res. 80, 511 (2016). https://doi.org/10.1038/pr.2016.115
- A.A. Lamola, Clin. Perinatol. 43, No. 2, 259 (2016). http://dx.doi.org/10.1016/j.clp.2016.01.004
- V.K. Bhutani, Pediatrics. 128, e1046 (2011). www.pediatrics.org/cgi/doi/10.1542/peds.2011-1494
Supplementary files





