Влияние поверхностно-активных веществ на агрегацию 6,6'-дизамещенных тиакарбоцианиновых красителей в водных растворах
- Авторы: Пронкин П.Г.1, Шведова Л.А.1, Татиколов А.С.1
-
Учреждения:
- Институт биохимической физики им. Н.М. Эмануэля Российской академии наук
- Выпуск: Том 43, № 3 (2024)
- Страницы: 3-13
- Раздел: Строение химических соединений, квантовая химия, спектроскопия
- URL: https://bakhtiniada.ru/0207-401X/article/view/263289
- DOI: https://doi.org/10.31857/S0207401X24030016
- EDN: https://elibrary.ru/VGWISY
- ID: 263289
Цитировать
Полный текст
Аннотация
Спектрально-флуоресцентными методами изучены агрегационные свойства ряда 6,6'-замещенных тиакарбоцианиновых красителей (Т-304, Т-306, Т-307, T-336 и, для сравнения, тиакарбоцианина Cyan 2, не имеющего заместителей в 6,6'-положениях), в водных буферных растворах и в присутствии поверхностно-активных веществ (ПАВ) различного типа. Для характеристики спектров поглощения (положения полос, ширины, формы) был применен метод моментов. Заместители в 6,6'-положениях существенно увеличивают способность красителей Т-304, Т-306, Т-307, T-336 к агрегации (димеризации, а также к образованию неупорядоченных агрегатов, обладающих широкими малоинтенсивными спектрами поглощения). Введение ПАВ приводит к перестройке спектров, связанной со сложным характером равновесий между мономерами и агрегатами различного строения (включающими и молекулы ПАВ при их наличии), в частности с уменьшением вклада неупорядоченных агрегатов. Однако распад димерных агрегатов 6,6'-замещенных цианинов наблюдается только при очень высоких концентрациях ПАВ (~20 ККМ и выше, где ККМ – критическая концентрация мицеллообразования ПАВ). При этом при концентрациях ПАВ выше ККМ спектрально-флуоресцентные свойства красителей существенно не изменяются, что, вероятно, обусловлено достаточно сильными взаимодействиями красителей с отдельными молекулами и премицеллярными ассоциатами ПАВ.
Полный текст
ВВЕДЕНИЕ
Благодаря набору уникальных физико-химических свойств цианиновые красители нашли свое применение в различных областях науки и технологии. В частности, цианиновые красители широко используются в качестве зондов для обнаружения и визуализации биомакромолекул [1, 2]. Исследования спектрально-флуоресцентных свойств цианиновых красителей в присутствии биомолекул продолжаются и в настоящее время [3–8].
При разработке спектрально-флуоресцентных зондов, помимо показателей чувствительности и селективности, важен также комплекс других характеристик, одной из которых является агрегация в водных растворах. Вследствие того, что красители-зонды, реагируя на биомолекулы, функционируют обычно в виде мономеров, агрегация как побочный процесс, уменьшающий концентрацию мономеров, может сильно затруднять их практическое использование [2]. Это обуславливает важность изучения агрегации цианинов в водных растворах и поиска возможностей ее ослабления.
В настоящей работе спектрально-флуоресцентными методами выполнено подробное исследование агрегационных свойств в водных буферных растворах ряда триметинцианинов, синтезированных и предложенных ранее в качестве потенциальных флуоресцентных зондов для ДНК [9]. Это 6,6'-дизамещенные красители 3,3'-диэтил-6,6'-ди(бензоиламино)тиакарбоцианин-иодид (Т-304), 3,3'-диэтил-6,6'-ди(бензоиламино)-9-метилтиакарбоцианин-иодид (Т-306), 3,3'-диэтил-6,6'-ди(бензоиламино)-9-метокситиакарбоцианин-иодид (Т-307), 3,3'-диэтил-6,6'-ди(метиламино)-9-метокситиакарбоцианин-иодид (Т-336), а также, для сравнения, 3,3',9-триметилтиакарбоцианин-иодид (Cyan 2), не имеющий заместителей в 6,6'-положениях (рис. 1).
Рис. 1. Структуры исследованных цианиновых красителей.
Поскольку известно, что введение поверхностно-активных веществ (ПАВ) обычно подавляет агрегацию красителей [10, 11], в работе изучено влияние ПАВ различных типов (использовались анионный SDS, катионный CTAB, неионогенные Triton X-100, Brij 35, Tween-20) на агрегацию вышеуказанных красителей в водных растворах. Для сравнения были также изучены спектрально-флуоресцентные свойства красителей в органических растворителях – этаноле и диметилсульфоксиде (ДМСО).
ЭКСПЕРИМЕНТАЛЬНАЯ ЧАСТЬ
Красители Т304–Т336 и Cyan 2 предоставлены проф. С.М. Ярмолюком (Институт молекулярной биологии и генетики НАН Украины). В качестве ПАВ использовали SDS с критической концентрацией мицеллообразования ПАВ (ККМ) ~ 8.2 ‧ 10–3 моль ‧ л–1 [12], CTAB (ККМ ~ 9.1 ‧ 10–4 моль ‧ л–1; [13]), Triton X-100 (ККМ ~ 2.4 ‧ 10–4 моль ‧ л–1; [12]), Brij 35 (ККМ ~ 1 ‧ 10–4 моль ‧ л–1; [12]), Tween-20 (ККМ ~ 0.9 ‧ 10–4 моль ‧ л–1; [12]) – все производства компании Sigma-Aldrich (USA). Растворы готовили в буфере HEPES (0.1 моль ‧ л–1, pH 7.1). В качестве растворителей использовали также этанол и ДМСО марки “ч.д.а”.
Спектры поглощения регистрировали на спектрофотометре СФ-2000; спектры флуоресценции и возбуждения флуоресценции измеряли на спектрофлуориметре “Флюорат-02-Панорама” (Россия). Спектры измеряли с использованием стандартных полистироловых кювет (Sarstedt, Germany) и кварцевых полумикрокювет (Bio-Rad, USA). Для получения рабочих растворов в измерительную кювету вводили микролитровые объемы маточных растворов красителей (растворитель – ДМСО; разведение – 1 : 100 ÷ 1 : 200). После перемешивания спектры красителей регистрировали несколько раз до тех пор, пока они не переставали изменяться во времени. Измерения проводились при комнатной температуре ((22 ± 3)°С). При регистрации спектры флуоресценции и возбуждения флуоресценции корректировались на спектральную характеристику канала возбуждения и на поглощение раствора.
При анализе спектров поглощения красителей для более точного описания изменений в спектрах использовался метод спектральных моментов [14]:
(1)
(2)
где Sl и Ml – начальный и центральный спектральные моменты, l = 0, 1, 2 – порядок момента; – распределение интенсивности поглощения в спектрах; ε(ν) – поглощение образца, ν – волновое число (с–1); ν1= S1/S0 – первый момент нормированного распределения фотонов. Показатель M–1 = 107/ν1 – среднее положение полосы в шкале длин волн (2) в нм.
Ширину спектральных кривых (σ, см–1) красителей определяли по величине второго момента:
(3)
Асимметрия спектральных кривых и их форма характеризуются безразмерными коэффициентами γ1,2:
(4)
(5)
РЕЗУЛЬТАТЫ И ИХ ОБСУЖДЕНИЕ
Спектрально-флуоресцентные свойства красителей в растворах
Спектры поглощения красителей Cyan 2, Т-304–Т-336 в полярных органических растворителях (этанол, ДМСО) представляют собой одиночные узкие полосы и имеют типичное для большинства цианиновых красителей коротковолновое плечо, соответствующее вибронному переходу [15]. По сравнению с Cyan 2 максимумы полос поглощения (λabs) 6,6'-дизамещенных красителей Т-304–Т-336 имеют значительные батохромные сдвиги (в этаноле – 30–44 нм). Анализ спектров поглощения красителей в этаноле по методу моментов также выявил батохромные смещения центров тяжести спектров поглощения 6,6'-дизамещенных красителей (ÄМ –1 = 20–31 нм) и ощутимо большую ширину спектральных полос (σabs, см–1). В частности, для T-306 и T-307 σabs ~ ~ 1010 и 1002 см–1, соответственно, тогда как для Cyan 2 σabs ~ 888 см–1. Для раствора Т-304 в этаноле сдвиг М –1 составляет 17 нм, относительное увеличение σabs (Äóabs) – 48%; для Т-306 и Т-307 ÄМ –1 ~ 26–28 нм и Äóabs ~ 40–45%. Все эти эффекты объясняются влиянием заместителей в 6- и 6'-положениях красителей [9].
За счет влияния мезозаместителей, для Т-306, Т-307, T-336 характерна более слабая флуоресценция в органических растворителях (примерно в 13–20 раз), чем для их незамещенного аналога Т-304 [9]. Известно, что мезозаместители определяют возможность полярно-зависимого (динамического) равновесия между цис- и транс-изомерными формами триметинцианинов [16, 17]. В полярных средах это равновесие смещается в сторону коротковолновых нефлуоресцирующих цис-изомеров красителей. В растворах этанола и ДМСО максимумы спектров возбуждения флуоресценции красителей (соответствуют по положению флуоресцирующим транс-изомерам) Т-306, Т-307, T-336 батохромно смещены относительно спектров поглощения (Äλ = λex – λabs ~ ~ 8–10 нм), что объясняется одновременным присутствием цис- и транс-изомеров красителей с различными флуоресцентными свойствами. Конфигурация мезонезамещенного T-304 как в полярных, так и в неполярных растворителях соответствует транс-изомеру как энергетически более выгодной форме (при этом Äλ = 0 нм [18]).
Способность образовывать агрегаты различного типа в водных растворах – одна из особенностей цианиновых красителей [10, 19]. Димеризация Cyan 2 заметна при концентрациях красителя порядка cCyan 2 = (5.0–9.0) ‧ 10–6 моль ‧ л–1; при cCyan 2 < 1.0 ‧ 10–6 моль ‧ л–1 ее эффекты минимальны. В спектрах поглощения полосе димеров соответствует λabs ~ 490 нм (вблизи вибронного плеча основной полосы) [20]. Центр тяжести спектра поглощения смещается гипсохромно: ÄМ –1 ~ –17 нм (по сравнению со спектрами в этаноле), полосы уширены на ~50% (σabs = 1303 см–1 в буфере HEPES), вершины спектров сглажены (γ2 = 1.34 и 3.36 в HEPES и в этаноле соответственно). При дальнейшем увеличении концентрации (а также с течением времени) краситель может образовывать Н-агрегаты более высоких порядков, имеющие еще более коротковолновое поглощение [21].
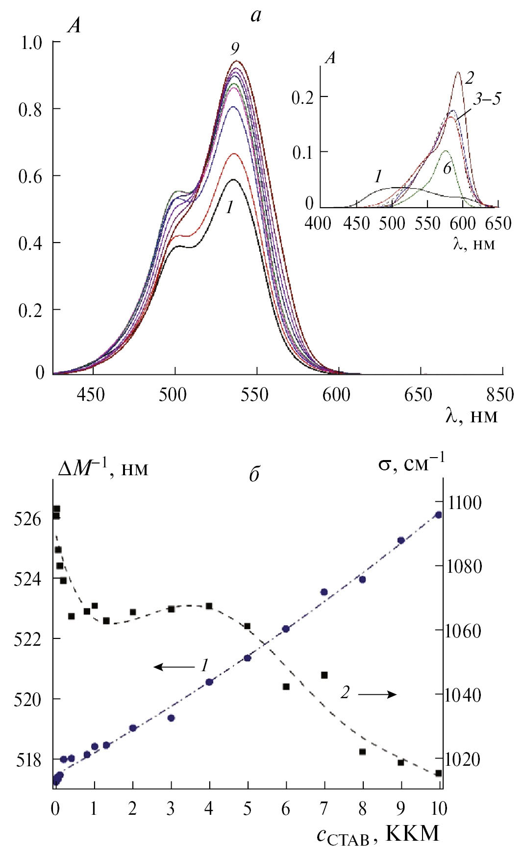
В отличие от Cyan 2, образующего в основном только димеры, спектры поглощения 6,6'-дизамещенных красителей в водных растворах, приведенные на рис. 2а, представляют собой широкие полосы, не похожие на спектры в органических растворителях, что свидетельствует о значительно более выраженной агрегации, которая проявляется даже при очень малых концентрациях красителей: ~10–7 моль ‧ л–1. На рис. 2а приведены также спектры поглощения красителя T-336 при различных концентрациях: при разбавлении раствора красителя T-336 до с ~ 4.18 ‧ 10–7 моль ‧ л–1 в спектре все еще наблюдаются эффекты агрегации (образование димеров), что приводит к уширению и изменению формы спектральной кривой. Это отражается в росте s и немонотонном изменении М –1 при разбавлении раствора (рис. 2б). В целом, в спектрах 6,6'-дизамещенных красителей максимумы полос поглощения сдвинуты гипсохромно по сравнению со спектрами в этаноле. В частности, полоса спектра поглощения Т-304 имеет λabs = 518 нм, для T-306 и Т-307 λabs = 513–514 нм, а в спектрах поглощения T-336 наблюдается коротковолновое поглощение димерных агрегатов c λabs = 536 нм (основной максимум имеет λabs = 571 нм). По сравнению с Cyan 2 усиливаются гипсохромные сдвиги М –1: ÄМ –1 ~ 23–30 нм, ширина полос поглощения составляет 145–168% от ширины спектров в этаноле (см. выше), вершины спектров сильнее сглажены (γ2 ~ ~ 0.14–0.38). В водных растворах красители характеризуются слабой флуоресценцией (для T-304 наблюдается снижение флуоресценции в ~200 раз по сравнению с этанолом) из-за влияния агрегации.
Рис. 2. а – Спектры поглощения красителей T-304 (кривая 1; cT-304 = 1 ‧ 10–6 моль ‧ л–1) и T-336, полученные при различных концентрациях красителя: cT-336 = = 1.92 ‧ 10–6 (кривая 2), 1.2 ‧ 10–6 (3), 9.72 ‧ 10–7 (4), 6.47 ‧ 10–7 (5) и 4.18 ‧ 10–7 моль ‧ л–1 (6) в буферном растворе HEPES; б – зависимости М–1 (1) и óabs от концентрации T-336 в буферном растворе; в – спектры флуоресценции (1 – Т-304, λex = 490 нм и 4 – Т-336, λex = 550 нм) и возбуждения флуоресценции (2 – Т-304, λreg = 550 нм; 3 – Т-304, λreg = 700 нм; 5 – Т-336, λreg = 640 нм).
В водном буферном растворе в спектрах флуоресценции Т-304 наблюдаются две полосы испускания с максимумами λfl = 535 и 685 нм (при возбуждении λex = 490 нм). Спектры возбуждения флуоресценции (рис. 2в) имеют максимумы при λex= 512 и 526 нм (при регистрации λreg = 550 и 700 нм соответственно). Такой вид спектров можно объяснить образованием красителем флуоресцирующих агрегатов различного строения (например, Н-димеров и агрегатов более высокого порядка) [13]. В спектрах флуоресценции красителей T-306, T-307 и T-336 наблюдается по одной полосе испускания агрегатов красителей с λfl = 678, 676 и 616 нм (максимумы в спектрах возбуждения флуоресценции λex = 519, 485, 577 нм соответственно). Отметим, что для всех исследованных красителей не наблюдались полосы, соответствующие длинноволновым J-агрегатам.
Агрегация красителей в водных растворах определяется рядом факторов, главнейшим из которых является баланс липофильных/гидрофильных свойств молекул красителей. Оценка этих свойств проводилась на базе расчетных коэффициентов распределения в системе октанол–вода (logP) [22]. Величины logP являются положительными и увеличиваются в ряду Cyan 2 < T-336 < T-307 < T-304 < < T-306 (logP = 2.31, 2.73, 3.25, 4.25, 4.8 соответственно). Наличие 6,6'-ди(бензоиламино)-заместителей увеличивает logP почти в 2 раза, что показывает высокую гидрофобность молекул красителей и определяет их склонность к агрегации в водных растворах. В то же время площадь полярной поверхности (TPSA, Å2) молекул красителей Т-304, Т-306, Т-307 составляет ~67.02–76.25 Å2 (для T-336 TPSA = 32.87 Å2), что значительно больше, чем у Cyan 2 (TPSA = 8.82 Å2) за счет полярных амидных групп в заместителях.
Влияние поверхностно-активных веществ на агрегацию и спектрально-флуоресцентные свойства красителей
Известно, что нековалентные взаимодействия с мицеллами и отдельными молекулами ПАВ способны оказывать существенное влияние на процессы агрегации/дезагрегации цианиновых красителей [10, 11]. Влияние ПАВ различных типов (катионного CTAB, анионного SDS, неионогенных Triton Х-100, Brij 35, Tween-20) на агрегацию и изомерное равновесие красителей Cyan 2, Т-304, Т-306, Т-307, T-336 было исследовано спектрально-флуоресцентными методами.
В случае катионных ПАВ (в данном случае – CTAB) кулоновское отталкивание, очевидно, должно препятствовать образованию премицеллярных агрегатов краситель–ПАВ (при cCTAB < < ККМ). Однако уже в присутствии низких концентраций CTAB (cCTAB ~ (0.18 ÷ 7.35) ‧ 10–4 моль ‧ л–1, (0.02 ÷ 0.81) ККМ) в спектрах поглощения красителя Cyan 2 наблюдается рост поглощения на ~43–45%, при этом вклад полосы агрегатов (димеров) не изменялся и практически не наблюдалось сдвигов основного максимума (рис. 3а). Параметры спектров поглощения, полученные методом моментов, были более чувствительными к добавлению CTAB. Так, в области низких концентраций CTAB (cCTAB ~ (0.18 ÷ 7.35) ‧ 10–4 моль ‧ л–1, (0.02 ÷ 0.81) ККМ) положение M–1 претерпевало батохромный сдвиг (ÄM–1 = 1 нм), óabs уменьшалась на 3%, коэффициент симметрии ã1 при этом практически не изменялся. Изменения в спектрах поглощения при низких концентрациях ПАВ (< ККМ), вероятно, обусловлены гидрофобными взаимодействиями красителя с отдельными молекулами и премицеллярными ассоциатами CTAB. Рост полосы поглощения может быть вызван распадом неупорядоченных агрегатов со слабым поглощением, присутствующих в системе. Увеличение концентрации CTAB до ККМ и выше приводит к продолжению роста поглощения (дополнительно еще на 9%) и батохромному сдвигу максимума полосы Cyan 2 (Äëabs = 2–3 нм). Только при достаточно высоком содержании CTAB (cCTAB = = 3.64 ‧ 10–3 моль ‧ л–1, 4 ККМ) вклад коротковолнового плеча H-димеров начинает уменьшаться, очевидно, вследствие распада димеров на мономеры (рис. 3а). В этих условиях продолжает увеличиваться батохромный сдвиг положения M–1 (наблюдается линейная зависимость ÄM–1 от концентрации ПАВ). При cCTAB ~ 9.1 ‧ 10–3 моль ‧ л–1, (10 ККМ) ΔM–1 ~ 9 нм. В области cCTAB = 4 ККМ и выше продолжается уменьшение σabs : σabs = 1067 см–1 при 4 ККМ и 1015 см–1 при 10 ККМ (рис. 3б).
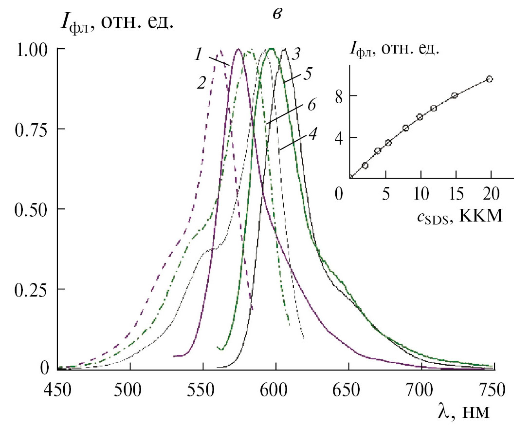
Рис. 3. а – Спектры поглощения красителя Cyan 2 (cCyan 2 = 1 ‧ 10–5 моль ‧л–1) при различных концентрациях CTAB: cCTAB = 0 (кривая 1), 0.10 ККМ (2), 0.20 ККМ (3), 1.01 ККМ (4), 2.01 ККМ (5), 4.0 ККМ (6), 6.0 ККМ (7), 8.01 ККМ (8) и 10.0 ККМ (9) в буферном растворе HEPES; на врезке – спектры поглощения Т-307 (cТ-307 ~ 1.5 ‧ 10–6 моль ‧ л–1) в отсутствие ПАВ (кривая 1), в присутствии ≥ 20 ККМ CTAB (2), Triton Х-100 (3), Brij 35 (4), Tween-20 (5) и SDS (6); б – зависимости ÄМ–1 (1) и óabs, полученные из спектров поглощения Cyan 2, от концентрации CTAB; в – спектры флуоресценции (1, 3, 5) и возбуждения флуоресценции (2, 4, 6) Cyan 2 при ≥ 20 ККМ CTAB (1, λex = 520 нм; 2, λreg = 600 нм) и Т-307 при ≥20 ККМ CTAB (3, λex = 550 нм; 4, λreg = 630 нм) и при ≥20 ККМ SDS (5, λex = 550 нм; 6, λreg = 620 нм). На врезке – зависимость интенсивности флуоресценции красителя Т-307 (cT-307 ~ 1.5 ‧ 10–6 моль ‧ л–1) от концентрации SDS ((2.2÷20) ККМ; λex = 550 нм, λreg = 596 нм).
Рис. 3. Окончание.
В случае красителей Т-304, Т-306, Т-307, T-336 при содержании CTAB > 2–3 ККМ спектры поглощения состоят в основном из полос мономеров. В спектрах флуоресценции 6,6'-дизамещенных красителей наблюдаются полосы, соответствующие испусканию мономеров (см. табл. 1). Тем не менее при содержании CTAB > (2 ÷ 3) ККМ в спектрах все еще присутствует вклад агрегатов красителей. Увеличение концентрации CTAB до 20 ККМ приводит к значительному дополнительному росту (46–75%) и сужению (σabs ~ 890–910 см–1) полос поглощения красителей (для Т-307 см. врезку на рис. 3а) и сопровождается увеличением квантовых выходов флуоресценции (в 1.7–2.3 раза).
Таблица 1. Максимумы спектров поглощения (λabs), флуоресценции (λfl) и возбуждения флуоресценции (λex) красителей Cyan 2, Т-304, Т-306, Т-307, T-336 при высоких концентрациях ПАВ: SDS (cSDS = 0.164 моль ⋅ л–1), CTAB (cCTAB = 2.0 ⋅ 10–2 моль ⋅ л–1) Triton Х-100 (cTriton X-100 = 4.8 ⋅ 10–3 моль ⋅ л–1), Brij 35 (cBrij 35 = 1.8 ⋅ 10–3 моль ⋅ л–1), Tween-20 (cTween-20 = 8.4 ⋅ 10–4 моль ⋅ л–1)
λabs, нм | λfl, нм | λex, нм | |||||||||||||
а | б | в | г | д | а | б | в | г | д | а | б | в | г | д | |
SDS/8.0 | 588 | 585 | 573 | 574 | 585 (506) | 573 | 602 | 595 | 597 | 637 | 558 | 596 | 583 | 582 | 603 |
CTAB/0.91 | 541 | 596 | 591 | 592 | 600 (506) | 575 | 612 | 607 | 606 | 642 | 562 | 596 | 593 | 592 | 618 |
Triton X-100/0.24 | 543 | 590 | 581 | 582 | 606 (506) | 573 | 609 | 602 | 602 | 643 | 559 | 592 | 587 | 586 | 611 |
Brij 35/0.10 | 543 | 592 | 584 | 585 | 607 (509) | 569 | 611 | 604 | 604 | 643 | 552 | 594 | 589 | 588 | 615 |
Tween-20/0.09 | 541 | 592 | 585 | 586 | 612 | 572 | 609 | 605 | 605 | 640 | 557 | 593 | 590 | 588 | 610 |
Примечание: а – Cyan 2, б – T-304, в – T-306, г – T-307, д – T-336; для красителя T-336 в скобках указано положение плеча димеров в спектрах поглощения.
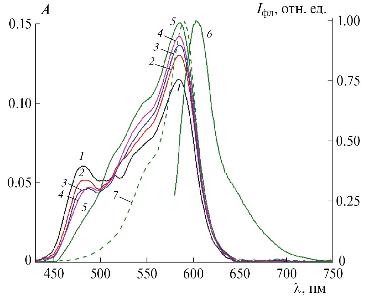
Взаимодействие катионных цианиновых красителей с противоположно заряженными молекулами SDS приводит к связыванию агрегатов красителей с молекулами и/или премицеллярными ассоциатами ПАВ при концентрациях ПАВ ниже ККМ. В этом случае кулоновские и гидрофобные взаимодействия между молекулами SDS и красителя приводят к переходу молекул красителя в микрофазу ПАВ с образованием премицеллярных ассоциатов краситель–ПАВ. Увеличение концентрации ПАВ (cSDS ~ 1.8 ‧ 10–2 моль ‧ л–1, ~2.2 ККМ) не приводит к серьезному сдвигу мономерно-агрегатного равновесия изучаемых катионных 6,6'-дизамещенных цианиновых красителей. Спектры поглощения Т-304, Т-306, Т-307 в присутствии SDS (2.2 ККМ) уширены (σabs = = 1511, 1426 и 1470 см–1 соответственно) и слабо структурированы. Центры спектральных полос М –1 батохромно смещены относительно максимумов (ÄМ –1 = 15–31 нм); спектры поглощения представляют собой суперпозицию полос поглощения Н-димеров и агрегатов более высокого порядка. Увеличение содержания SDS (до сSDS ~ ~ (3.3÷4.5) ‧ 10–2 моль ‧ л–1; (4.1÷5.6) ККМ) приводит к постепенному появлению длинноволновой полосы, соответствующей поглощению мономеров (для T-307 с λabs = 571–573 нм). Для существенного разрушения образовавшихся премицеллярных агрегатов краситель–ПАВ требуются еще более высокие концентрации ПАВ. При сSDS ~ ~ 0.164 моль ‧ л–1 (20 ККМ) спектры поглощения красителей T-304, T-306, T-307 становятся узкими (σabs = 1057, 1135 и 1082 см–1 соответственно), центры спектральных полос М–1 испытывают гипсохромный сдвиг относительно максимумов спектров (ÄM–1 = 18–22 нм). Это есть следствие распада агрегатов красителей и их перехода в виде мономеров в мицеллярную фазу ПАВ. В случае T-336 интенсивное коротковолновое поглощение Н-агрегатов красителя наблюдается даже при сSDS ~ 0.164 моль ‧ л–1 (20 ККМ); при этом спектральные кривые остаются широкими (σabs ~ 1173 см–1). В спектрах поглощения красителя Cyan 2 при содержании SDS 20 ККМ наблюдается рост интенсивности полосы поглощения в 2.9 раза, вклад коротковолнового поглощения агрегатов уменьшается, спектры сдвигаются батохромно (Äλabs = = 14 нм, ÄМ –1 ~ 17 нм). По сравнению с исходными спектрами в буфере ширина полос óabs уменьшается (на 17% содержании SDS при 20 ККМ), вершины спектров “сглажены”.
В присутствии SDS (2.2 ККМ) в спектрах флуоресценции 6,6'-дизамещенных красителей наряду с М-полосой мономера (λfl = 598, 594, 596 и 637 нм для Т-304, Т-306, Т-307 и Т-336 соответственно) наблюдаются вклады полос флуоресценции агрегатов (в частности, в спектрах T-304 и Т-306 имеются дополнительные длинноволновые компоненты с λfl = 675–678 и 630–640 нм соответственно). Спектры возбуждения красителей значительно уширены, в случае Т-306 получены двухкомпонентные спектры возбуждения флуоресценции с максимумами при 525 и 582 нм (λreg = = 700 нм). Аналогичные эффекты наблюдаются для цианинового красителя Cyan 2, (см. табл. 1). При сSDS ~ 0.164 моль ‧ л–1 (20 ККМ) в спектрах флуоресценции красителей исчезают полосы эмиссии агрегатов, а интенсивность флуоресценции мономеров красителей увеличивается (рис. 3в).
В присутствии неионогенных ПАВ в спектрах поглощения исследуемых красителей также наблюдаются изменения, связанные с образованием неструктурированных агрегатов. В области cПАВ < < ККМ взаимодействие с молекулами и/или премицеллярными ассоциатами неионогенных ПАВ влияет на мономерно-агрегатное равновесие. Спектральные данные указывают на то, что присутствие неионогенных ПАВ, по-видимому, приводит к перестройке H-агрегатов и способно усиливать образование неструктурированных агрегатов красителей.
В частности, при низких концентрациях Tween 20 (cTween-20 ~ (0.45 ÷ 6.9) ‧ 10–5 моль ‧ л–1, (0.05 ÷ ÷ 0.77) ККМ) в спектрах поглощения Cyan 2 наблюдается уменьшение поглощения на ~29%, сопровождающееся уменьшением вклада коротковолнового плеча H-димеров; при этом не наблюдалось сдвигов максимума и среднего положения полосы поглощения мономера (Äëabs =0, ÄM–1 < 0.5–0.7 нм). Ширина спектральной кривой σabs в этих условиях возрастает на 6% от исходной, коэффициент ã2 несколько повышается, коэффициент симметрии ã1 при этом практически не изменялся (ã1~ 0.6–0.8). В спектрах поглощения Т-304 при cTween-20 ~ (0.89 ÷ 7.7) ‧ 10–5 моль ‧ л–1 ((0.10 ÷ 0.85) ККМ) наблюдается небольшое падение интенсивности поглощения (18% от исходной), не сопровождающееся уменьшением вклада агрегатов и появлением поглощения мономера красителя. Падение интенсивности спектра поглощения может быть вызвано образованием неструктурированных агрегатов цианинов, которые имеют низкий коэффициент молярной экстинкции по сравнению с мономерной и димерной формами красителей. В случае T-336 при cTween-20 = = 7.2 ‧ 10–5 моль ‧ л–1 (0.8 ККМ) наблюдается падение поглощения с λabs ~ 560 нм (разрушение/перестройка агрегатов), сопровождающееся увеличением поглощения в длинноволновой области (λabs = 606 нм, что соответсвует поглощению мономера красителя). При взаимодействии T-304 с Brij 35 cBrij 35 = 7.6 ‧ 10–5 моль ‧ л–1 (0.76 ККМ) в спектрах наблюдается батохромный сдвиг центра полосы поглощения: ÄM–1 > 10 нм; при этом ширина спектральной кривой несколько уменьшается (Äóabs составляет ~7% от исходного спектра).
Дальнейшее увеличение содержания ПАВ до 2–10 ККМ) приводит к нарастанию и углублению наблюдаемых эффектов. При умеренных и высоких концентрациях Tween-20 продолжается падение интенсивности полосы поглощения Cyan 2 (падение в 2 раза при 10 ККМ), при этом вклад плеча H-димеров уменьшается. Максимумы и среднее положение полосы поглощения Cyan 2 сдвигаются батохромно, ширина полос óabs растет: Äëabs =5 нм, ÄM–1 ~ 3 нм, Äσabs = 20% при содержании Tween-20 10 ККМ). Коэффициент ã2 уменьшается (ã2 = 0.5 при 10 ККМ), коэффициент симметрии ã1 при этом практически постоянен. При cTriton X-100 ~ (3.8 ÷ ÷ 7.3) ‧ 10–4 моль ‧ л–1 ((1.6 ÷ 3) ККМ) также наблюдается падение интенсивности спектра Cyan 2 (достигающее 30% от исходного значения при содержании Cyan 2 3 ККМ), сопровождающееся его некоторым уширением.
Рост концентрации Tween-20 приводит к уменьшению интенсивности поглощения T-304 (на ~30% при содержании Tween-20 1 ККМ), нарастают батохромия максимума (Äëabs > 30 нм) и уширение спектров (Äóabs ~ 10%). Положение центров спектральных кривых красителя меняется слабее: ÄM –1 ~ 1–1.5 нм. Это связанно с перестройкой/накоплением агрегатов красителей при связывании красителя с мицеллами ПАВ.
Хорошо разрешeнные и интенсивные полосы мономеров 6,6'-дизамещенных цианиновых красителей появляются в их спектрах только при высоких концентрациях неионогенных ПАВ. Увеличение концентрации ПАВ до 20 ККМ приводит к увеличению интенсивности поглощения Cyan 2 почти в 2 раза. При содержании Tween-20 и Brij 35 20 ККМ в спектрах Т-304 наблюдаются достаточно узкие полосы (óabs = 1105 и 982 см–1 соответственно) с λabs = 592 нм. В спектрах поглощения мезо-замещенного цианина Т-306, имеющего наибольшее значение logP и, следовательно, наиболее склонного к агрегации, в присутствии высокой концентрации Tween 20 (>20 ККМ) полоса мономера появляется и увеличивается со временем (λabs = 585 нм). Рост этой полосы сопровождается уменьшением поглощения агрегатов красителя с λabs = 480–485 нм (рис. 4). Однако, поскольку σabs(ПАВ) > > σabs(EtOH), можно сделать вывод о наличии остатков агрегатов красителя даже при высоких концентрациях ПАВ (σabs(ПАВ) ~ 1105 и 1299 см–1 для Т-304 и Т-306 соответственно). На наличие агрегатов указывает также гипсохромия положений центров спектральных кривых (в присутствии Tween 20 М –1 = 564 нм для Т-304, М –1 = 553 нм для Т-306). На врезке к рис. 3а приведены спектры поглощения красителя Т-307 при высоких концентрациях ПАВ.
Рис. 4. Спектры поглощения (1–5), флуоресценции (6, λex = 570 нм) и возбуждения флуоресценции (7, λreg = 620 нм) красителя Т-306 в буферном растворе HEPES в присутствии высокой концентрации Tween-20 (≥ 20 ККМ). Спектры поглощения 1–5 регистрировали через 0 (кривая 1), 2 (2), 4 (3), 6 (4), 16 мин (5) после приготовления образцов.
Переход цианиновых красителей в мономерную форму под действием ПАВ лучше всего прослеживается в спектрах флуоресценции. В буферном растворе для Т-304 характерен двухфазный спектр флуоресценции, компоненты которого принадлежат различным агрегатам красителя. В присутствии неионогенных ПАВ появляется и растет третий компонент – мономер T-304 с λfl = = 594–608 нм. При высоких концентрациях ПАВ эта полоса возрастает (~18 раз при содержании Tween-20, равном 1.5 ККМ) и испытывает гипсохромный сдвиг. В спектрах возбуждения флуоресценции этой форме красителя соответствует полоса с максимумом в области 586–593 нм (более коротковолновые максимумы характерны для cTween 20 >> ККМ). Отметим, что полосы флуоресценции коротковолновых агрегатов (Н-димеров) Т-304 наблюдаются в спектрах даже при концентрациях неионогенных ПАВ порядка (1 ÷ 2) ККМ. В случае T-306 при cTween-20 = 7.2 ‧ 10–5 моль ‧ л–1 (0.8 ККМ) в спектрах флуоресценции наблюдается испускание мономера (λfl ~ 643 нм), максимум спектра возбуждения флуоресценции λex = 613 нм.
В спектрах флуоресценции Т-304 при высоких концентрациях ПАВ наблюдается одна полоса, соответствующая флуоресценции мономера (см. табл. 1). Спектры возбуждения флуоресценции красителя имеют максимумы при λex = 593 и 585 нм соответственно. Аналогичные эффекты наблюдаются в спектрах флуоресценции красителей T-306, T-307, T-336, например, при содержании Tween-20, равном 20 ККМ, в спектрах флуоресценции T-306 наблюдается одна полоса с λfl = = 605 нм, что соответствует флуоресценции мономерного красителя (вероятно, в виде транс-изомера) в мицеллах ПАВ (максимум спектра возбуждения флуоресценции λех = 590 нм). В случае T-306 при его содержании 20 ККМ в спектрах флуоресценции наблюдается только испускание мономера (λfl ~ 640–643 нм), максимумы спектров возбуждения флуоресценции составляют λex = 610, 611, 615 нм в случае Tween-20, Triton X-100 и Brij 35 соответственно.
Таким образом, ПАВ сложным образом влияют на спектрально-флуоресцентные характеристики изученных красителей, что обусловлено сложным характером равновесий между мономерами и агрегатами различного строения (включающими и молекулы ПАВ при их наличии). При этом влияние ПАВ проявляется даже при сравнительно малых концентрациях (< ККМ), а распад агрегатов (димеров) 6,6'-замещенных красителей на мономеры наблюдается лишь при высоких концентрациях ПАВ (~20 ККМ и выше). Важно отметить, что при концентрациях ПАВ выше ККМ спектрально-флуоресцентные свойства изученных красителей существенно не изменяются. Это, очевидно, обусловлено достаточно сильными взаимодействиями красителей с отдельными молекулами и/или премицеллярными ассоциатами ПАВ.
ЗАКЛЮЧЕНИЕ
В работе спектрально-флуоресцентными методами (с использованием метода моментов для анализа спектров поглощения) изучено влияние ПАВ различного типа на агрегационные свойства ряда 6,6'-замещенных тиакарбоцианиновых красителей: Т-304, Т-306, Т-307, T-336 и, для сравнения, тиакарбоцианина Cyan 2, не имеющего заместителей в 6,6'-положениях, в водных буферных растворах. По сравнению с Cyan 2, агрегирующего главным образом в виде димеров, красители с заместителями в 6,6'-положениях обладают существенно большей способностью к агрегации (димеризации, а также к образованию неупорядоченных агрегатов, обладающих широкими малоинтенсивными спектрами поглощения). Введение ПАВ приводит к перестройке спектров, связанной с уменьшением вклада неупорядоченных агрегатов, что отражается на положении и форме полос поглощения. В то же время распад димерных агрегатов 6,6'-замещенных красителей наблюдается только при очень высоких концентрациях ПАВ (~20 ККМ и выше). При этом рост концентраций ПАВ выше ККМ существенно не отражается на спектрально-флуоресцентных свойствах изученных красителей, что, очевидно, обусловлено достаточно сильными взаимодействиями красителей с отдельными молекулами и/или премицеллярными ассоциатами ПАВ, сравнимыми с мицеллярными взаимодействиями.
Потенциал тиакарбоцианинов в их использовании в качестве спектрально-флуоресцентных зондов, а также в тераностике активно исследуется [1–8, 23]. Исследования эффектов агрегации важны не только для разработки спектрально-флуоресцентных зондов, но потенциально способны привнести новое в методологию супрамолекулярной нанофотоники [24]. Следует отметить, что при разработке и синтезе красителей-зондов для биомолекул нужно соблюдать баланс их гидрофильных/гидрофобных свойств: рост гидрофобности молекул красителей, с одной стороны, повышает их сродство к биомолекулам, а с другой – повышает склонность к агрегации. Образующиеся агрегаты могут быть достаточно устойчивыми (как в случае 6,6'-замещенных тиакарбоцианинов), что может существенно затруднить использование красителей в качестве зондов [23].
Авторы выражают благодарность проф. С.М. Ярмолюку (Институт молекулярной биологии и генетики НАН Украины) за предоставление цианиновых красителей.
Работа выполнена в рамках госзадания ИБХФ РАН № 001201253314.
Об авторах
П. Г. Пронкин
Институт биохимической физики им. Н.М. Эмануэля Российской академии наук
Автор, ответственный за переписку.
Email: pronkinp@gmail.com
Россия, Москва
Л. А. Шведова
Институт биохимической физики им. Н.М. Эмануэля Российской академии наук
Email: pronkinp@gmail.com
Россия, Москва
А. С. Татиколов
Институт биохимической физики им. Н.М. Эмануэля Российской академии наук
Email: pronkinp@gmail.com
Россия, Москва
Список литературы
- Tatikolov A.S. // J. Photochem. Photobiol. C. 2012. V. 13. P. 55; https://doi.org/10.1016/j.jphotochemrev.2011.11.001
- Pronkin P.G., Tatikolov A.S. // Molecules. 2022. V. 27. P. 6367; https://doi.org/10.3390/molecules27196367
- Pronkin P.G., Tatikolov A.S. // Spectrochim. Acta, Part A. 2021. V. 263. P. 120171; https://doi.org/10.1016/j.saa.2021.120171
- Pronkin P.G., Tatikolov A.S. // Spectrochim. Acta, Part A. 2022. V. 269. P. 120744; https://doi.org/10.1016/j.saa.2021.120744
- Татиколов А.С. // Химическая физика. 2021. Т. 40. № 2. С. 11.
- Пронкин П.Г., Татиколов А.С. // Хим. физика. 2021. Т. 40. № 2. С. 3; https://doi.org/10.31857/S0207401X2102014X
- Татиколов А.С., Пронкин П.Г., Шведова Л.А., Панова И.Г. // Хим. физика. 2019. Т. 38. № 12. С. 11.
- Пронкин П.Г., Татиколов А.С. // Хим.физика. 2022. Т. 41. № 2. С. 3; https://doi.org/10.31857/S0207401X22020091
- Kovalska V.B., Volkova K.D., Losytskyy M.Yu. et al. // Spectrochim. Acta. Part A. 2006. V. 65. P. 271; https://doi.org/10.1016/j.saa.2005.10.042
- Herz A.H. // Adv. Coll. Interf. Sci. 1977. V. 8. P. 237; https://doi.org/10.1016/0001-8686(77)80011-0
- Chibisov A.K., Prokhorenko V.I., Görner H. // Chem. Phys. 1999. V. 250. P. 47; https://doi.org/10.1016/S0301-0104(99)00245-1
- Sharma R., Shaheen A., Mahajan R.K. // Colloid Polym. Sci. 2011. V. 289. P. 43; https://doi.org/10.1007/s00396-010-2323-6
- Goronja J.M., Janošević Ležaić A.M., Dimitrijević B.M., Malenović A.M., Stanisavljev D.R., Pejić N.D. // Hem. Ind. 2016. V. 70 (4). P. 485; https://doi.org/10.2298/HEMIND150622055G
- Dyadyusha G.G., Ishchenko A.A. // J. Appl. Spectrosc. 1979. V. 30. P. 746; https://doi.org/10.1007/BF00615763
- Акимкин Т.М., Татиколов А.С., Ярмолюк С.М. // Химия высоких энергий. 2011. Т. 45. № 3. С. 252.
- Khimenko V., Chibisov A.K., Görner H. // J. Phys. Chem. A. 1997. V. 101. P. 7304; https://doi.org/10.1021/jp971472b
- Noukakis D., Van der Auweraer M., Toppet S., De Schryver F. // J. Phys. Chem. 1995. V. 99. P. 11860; https://doi.org/10.1021/j100031a012
- Колесников А.М., Михайленко Ф.А. // Успехи химии. 1987. Т. 56. №3. С. 466.
- Шапиро Б.И. // Успехи химии. 2006. Т. 75. № 5. С. 484.
- Чибисов А.К. // Химия высоких энергий. 2007. Т. 41. № 3. С. 239.
- Акимкин Т.М., Татиколов А.С., Панова И.Г., Ярмолюк С.М. // Химия высоких энергий. 2011. Т. 45. № 6. С. 553.
- Molinspiration, 2015. Calculation of Molecular Properties and Bioactivity Score; http://www.molinspiration.com (accessed June 25, 2021).
- Pronkin P.G., Tatikolov A.C. // Spectrochimica Acta, Part A. 2023. V. 292. P. 122416; https://doi.org/10.1016/j.saa.2023.122416
- Gromov S.P., Chibisov A.K., Alfimov M.V. // J. Phys. D. 2021. V. 15. P. 219; https://doi.org/10.1134/S1990793121020202
Дополнительные файлы








