Effect of terahertz radiation on the transport properties of albumin: binding with metal ions
- Authors: Nemova E.F.1, Kobzeva T.V.2, Dultseva G.G.2
-
Affiliations:
- Institute of Laser Physics, Siberian Branch of the Russian Academy of Sciences
- Voevodsky Institute of Chemical Kinetics and Combustion, Siberian Branch, Russian Academy of Sciences
- Issue: Vol 43, No 2 (2024)
- Pages: 9-16
- Section: ВЛИЯНИЕ ВНЕШНИХ ФАКТОРОВ НА ФИЗИКО-ХИМИЧЕСКИЕ ПРЕВРАЩЕНИЯ
- URL: https://bakhtiniada.ru/0207-401X/article/view/259893
- DOI: https://doi.org/10.31857/S0207401X24020022
- EDN: https://elibrary.ru/WIZMVW
- ID: 259893
Cite item
Full Text
Abstract
The effect of terahertz radiation on clusterization of bovine serum albumin (BSA) molecules and on BSA binding with nickel, cobalt and cadmium ions is investigated by means of high performance liquid chromatography and EPR spectroscopy under variation of the concentration of molecular oxygen in solution. Irradiation is detected to remove steric hindrance for oxygen adsorption. The degree of nickel and cobalt ion binding with irradiated BSA samples is substantially higher than with non-irradiated ones, while for cadmium the binding degree is the same and rather low in both cases. The functional groups in BSA molecule participating in metal ion binding are revealed by means of modeling.
Full Text
Введение
В терагерцовом диапазоне частот (0.1–10 ТГц) кванты электромагнитного излучения не обладают энергией достаточной для того, чтобы вызывать разрывы валентных и даже слабых водородных связей. Известно, что к этой области спектра относятся частоты коллективных колебательно-вращательных переходов в молекулах многих биополимеров. Поэтому можно предполагать, что влияние излучения терагерцового диапазона (далее — ТГц-излучение) на биологические системы, многочисленные примеры которого описаны в литературе на уровне клеточных культур [1] и целых организмов [2, 3], на молекулярном уровне основано именно на инициировании конформационных изменений, связанных с такими колебательно-вращательными переходами [4]. Могут ли эти конформационные изменения иметь какие-либо химические последствия? Фундаментального запрета в этом случае нет: например, известно, что энергии магнитного поля недостаточно для разрыва химических связей, хотя под его влиянием становятся возможными некоторые взаимодействия, которые в отсутствие магнитного поля невозможны вследствие спиновых запретов.
Для непосредственного наблюдения химических последствий конформационных переходов под действием ТГц-излучения могла бы подойти, например, система, в которой химическим процессам предшествует стерически затрудненное адсорбционное взаимодействие, так что индуцируемое излучением изменение конформаций приводит к усилению или ослаблению стерических затруднений с соответствующим ускорением или замедлением процесса в целом. Экспериментальные трудности в исследовании таких систем связаны с необходимостью доказательства нетермической природы воздействия или, наоборот, выявления термического фактора, что часто бывает сопряжено с невысокой статистической достоверностью. О проблемах воспроизводимости, достоверности результатов в этой области и возможных путях решения этих проблем недавно высказались в обзорной статье авторы работы [5].
Необходимость применения в биомедицинских исследованиях не постоянного, а импульсного ТГц-излучения, причем в форме ультракоротких импульсов (до пикосекунд), связана с возможностью избежать в этом случае термических эффектов. Например, авторы работы [6] описали нетермические эффекты, связанные с экстремально большими амплитудами электрического поля, при исследовании воздействия высокоинтенсивного ТГц-излучения на фибробласты человеческой кожи. Доказательства нетермической природы эффектов, наблюдавшихся в исследовании действия ТГц-излучения на биологические объекты, в том числе на культуры клеток человека, представлены также в работах [7, 8].
Между тем исследования в области медицинских применений ТГц-излучения, в частности в диагностике рака [9–11], детектировании биомолекул [12, 13], распознавании вирусов [14] продолжают развиваться независимо от исследований молекулярной природы наблюдаемых эффектов. Параллельно с биомедицинскими исследованиями идет изучение структурных изменений в биомолекулах под действием ТГц-излучения, например, недавно авторами работы [15] были описаны изменения структуры растворов белков, в работе [16] изучено влияние облучения на связывание белков, авторы работы [17] исследовали водородные связи при помощи спектроскопии в терагерцовом диапазоне. Ранее при исследовании молекулярных механизмов взаимодействия ТГц-излучения с биополимерами на примере альбумина нами было обнаружено, что под действием излучения происходит усиление адсорбции молекулярного кислорода и ослабление адсорбции оксида азота NO на молекулах бычьего сывороточного альбумина (БСА) [18]. Биологическое значение адсорбции разнообразных веществ на молекулах альбумина заключается в том, что этот механизм обеспечивает одну из важнейших функций альбумина в организме — транспортную. Цели нового исследования — выявить влияние ТГц-излучения на возможность образования кластеров молекулами БСА, разработать методические подходы к исследованию изменения связывания ионов металлов с БСА под действием ТГц-излучения, изучить влияние облучения на транспортные свойства альбумина по отношению к ионам металлов.
Материалы и методы
В исследовании применялись реагенты квалификации “х.ч.”: метанол и ацетонитрил (элюенты для хроматографии), трифторуксусная кислота (реагент для ион-парной хроматографии), нитраты кобальта и никеля, нитрат кадмия (соли перед приготовлением растворов дополнительно очищали методом перекристаллизации).
Исследование проводили с лиофилизированными препаратами БСА (Sigma-Aldrich, USA). В качестве образцов для облучения использовали пленочные препараты, которые готовили из раствора БСА в дистиллированной воде с концентрацией 1 мг/мл. На подложки из кристаллического кварца наносили каплю (50 мкл). Затем с помощью покровного стекла равномерно распределяли нанесенную каплю по поверхности подложки и высушивали образец в потоке воздуха при комнатной температуре в течение 1 ч и влажности не выше 40%. Для каждого измерения готовили два идентичных образца: облучаемый и контрольный (необлучаемый). Образцы хранили в эксикаторе над безводным силикагелем.
Облучение приготовленных образцов проводили с использованием установки, показанной на рис. 1 и описанной ранее в работе [18]. Подложку с экспериментальным образцом помещали в фокус ТГц-излучения, как показано на рис. 1, при этом контрольный образец находился в открытом контейнере рядом, но вне зоны облучения. Облучение проводилось в диапазоне частот 0.3–1.5 ТГц в импульсном режиме (частота следования импульсов — 80 МГц, пиковая мощность <20 мВт, длительность импульса — 3 пс). Температура образца во время облучения составляла 21 ±1 °С, время облучения — 60 мин.
Рис. 1. Схема установки для облучения пленочных образцов БСА. Для генерации и детектирования ТГц-излучения используются импульсы второй гармоники волоконного эрбиевого лазера (длина волны излучения — 775 нм, длительность импульса — 130 фс, частота следования импульсов — 77 МГц, средняя мощность — 80 мВт). Для преобразования лазерного излучения в ТГц-излучение используется фотопроводящая антенна с арсенидом галлия. Система регистрации состоит из кристалла-детектора ZnTe ориентации (110) толщиной 1 мм, четвертьволновой пластинки, призмы Волластона, фотодиодов, операционного усилителя (ОУ) и синхронного детектора.
Спектры ЭПР записывали в стандартной плоской кварцевой ампуле для водных растворов на спектрометре серии EMX (Bruker, Germany): амплитуда модуляции Germany — 1 Гс, микроволновая мощность — не более 10 мВт, постоянная времени — 0.2 с, усиление — до 5.6 · 105, скорость развертки — 100 Гс/200 с. Точность определения констант сверхтонкого расщепления составляла 0.03 Гс, g-фактор измеряли с точностью до 10–4. Количественные оценки содержания парамагнитных частиц в растворе проводили с помощью внешнего стандарта интенсивности (кристалл дифенилпикрилгидразида, прикрепленный снаружи к плоской кварцевой ампуле).
Хроматографическое исследование проводили методом высокоэффективной жидкостной хроматографии с использованием хроматографа модели Милихром А-02 (Эконова, Новосибирск) с детектором по УФ-поглощению в интервале длин волн 200–360 нм. Детектирование осуществляли в режиме записи спектра поглощения на вершине хроматографического пика с целью одновременного получения спектрофотометрической информации. Использовалась стандартная хроматографическая колонка длиной 75 мм, заполненная обращенно-фазным сорбентом ProntoSil C18 (5 мкм). Колонку термостатировали при 35 °С. Хроматограммы записывали в градиентном режиме (вода с метанолом — от 0 до 20%) и в режиме ион-парной хроматографии в элюенте ацетонитрил/вода (1 : 3 по объему) с трифторуксусной кислотой (0.1 мас. %). Градиентный режим использовался для идентификации кластеров БСА, в котором молекулы удерживались вместе за счет межмолекулярного связывания через азотсодержащие группы. Условия проведения хроматографического исследования: объем пробы, вводимой в хроматограф, — 20 мкл, скорость элюирования — 150 мкл/мин, детектирование — на длинах волн 210 и 276 нм. Хроматограммы обрабатывали с помощью программы АльфаСпектр (Эконова, Новосибирск). Структуру реакционных центров БСА при взаимодействии с ионами металлов и энергетические выигрыши при образовании комплексов с ионами металлов рассчитывали с использованием полуэмпирических методов MNDO, PM3, AM1, и метода молекулярной механики ММ2 с помощью программы CS Chem 3D Pro версия 5.0 (Cambridge Soft Corp., UK).
Результаты и их обсуждение
ЭПР-спектроскопия
Ранее нами было показано, что молекулярный кислород взаимодействует с адсорбционными центрами молекулы БСА, причем степень адсорбции различна для облученных и необлученных образцов [18]. Чтобы установить другие возможные взаимодействия, протекающие в водном растворе БСА, было проведено исследование этого раствора методами ЭПР и высокоэффективной жидкостной хроматографии (ВЭЖХ). Образование кластеров молекул БСА соответствовало появлению в ЭПР-спектрах сигнала малой интенсивности в виде триплета с константой сверхтонкого взаимодействия (СТВ) аN = 0.94 мТл, причем этот сигнал виден на фоне более интенсивного сигнала триплетной формы с аN = 1.47 мТл, который характеризует парамагнитные центры в молекуле БСА в данных условиях. Поскольку значение константы СТВ в сигнале малой интенсивности существенно меньше, чем значение СТВ основного интенсивного сигнала, можно предположить, что структурные изменения при образовании кластера затрагивают атомы азота, так как появление сигнала триплетной формы в ЭПР-спектре связано с взаимодействием неспаренного электрона с ядром атома азота.
В ЭПР-спектре образца БСА ширина линии интенсивного триплета больше у облученного образца по сравнению с необлученным, а ширина линии сигнала малой интенсивности, наоборот, меньше у облученного образца. Известно, что в ЭПР-спектрах ширина линии увеличивается с уменьшением подвижности парамагнитного центра, а с увеличением подвижности, наоборот, ширина линии уменьшается за счет более эффективного усреднения. Таким образом, результаты ЭПР-исследования показывают, что подвижность парамагнитных центров, отвечающих за сильный и слабый сигналы, соответственно уменьшается и увеличивается под действием облучения в терагерцовом диапазоне частот.
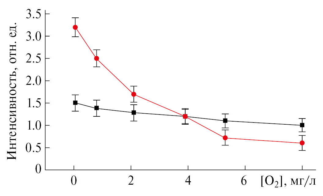
Поскольку кислород эффективно связывается с адсорбционными центрами в молекуле БСА, было проведено исследование зависимости процесса образования димеров от содержания кислорода в растворе. Кислород удаляли, пропуская аргон через раствор БСА в течение 30 мин. В определенные моменты времени по мере удаления кислорода его содержание в растворе определяли методом иодометрического титрования. Интенсивности ЭПР-сигналов, относящихся к образованию димеров, сопоставляли с содержанием кислорода в растворе для облученных и необлученных образцов БСА. Зависимость интегральной интенсивности триплетного сигнала малой интенсивности от содержания кислорода показана на рис. 2. Из этого рисунка видно, что при низком содержании кислорода интегральная интенсивность этого сигнала у облученных образцов в 2.4 раза выше, чем у необлученных, а при высоком содержании кислорода, наоборот, у облученных образцов интенсивность триплетного сигнала малой интенсивности ниже, чем у необлученных.
Рис. 2. Зависимость интегральной интенсивности триплетного сигнала малой интенсивности, связанного с кластерами БСА, от содержания кислорода в растворе по данным ЭПР-спектроскопии: кружки — облученный образец, квадраты — необлученный.
Хроматография
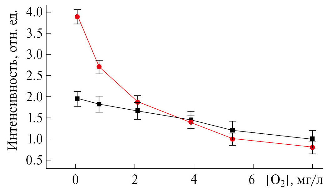
Для проверки предположения о том, что сигнал малой интенсивности связан с образованием кластеров молекул БСА, было проведено хроматографическое исследование растворов БСА в зависимости от содержания кислорода в них. На хроматограммах присутствовали два пика, отличающиеся интенсивностью и временами удерживания, но характеризующиеся одинаковыми спектрами поглощения. При разбавлении раствора наблюдалось возрастание интенсивности первого пика (время удерживания — 16.6 мин) и убывание интенсивности второго (время удерживания — 24.2 мин). Этот факт косвенно подтверждает предположение о существовании в растворе БСА димеров, основанное на данных ЭПР-спектроскопии. Кривая зависимости содержания димеров от концентрации кислорода по данным хроматографических исследований облученного и необлученного образцов БСА представлена на рис. 3. Сравнение с кривыми, приведенными на рис. 2, показывает, что результаты, полученные методом ВЭЖХ, качественно соответствуют данным ЭПР-спектроскопии.
Рис. 3. Зависимость содержания димеров БСА (относительно их содержания в необлученном растворе с максимальным содержанием кислорода) от концентрации кислорода в растворе по данным высокоэффективной жидкостной хроматографии: кружки — облученный образец, квадраты — необлученный.
Образование комплексов с ионами металлов
В функции альбумина в организме входит транспорт ферментов, содержащих ионы металлов, а также перенос ионов прежде всего кальция магния, меди. В последнее время интерес исследователей к процессам переноса металлов альбуминами связан в основном с медицинскими применениями таких систем. Например, связывание альбумина с некоторыми металлами, используемыми в терапевтических целях, исследовано в работе [19]. Было показано, что присутствие ионов металлов в системе оказывает существенное влияние на транспортные возможности альбумина по отношению к лекарственным веществам [20, 21]. Роли металлов в процессах агрегации молекул человеческого сывороточного альбумина посвящена работа [22]. В литературе пока нет данных о том, влияет ли облучение альбумина в терагерцовом диапазоне частот на изменение связывания этого белка с ионами металлов, хотя ответ на этот вопрос мог бы открыть еще один путь к пониманию природы конформационного перехода, вызываемого в молекуле БСА ТГц-излучением.
Для разработки методического подхода к изучению изменений в прочности связывания ионов металлов с белковыми молекулами нами были выбраны высокотоксичный кадмий и биологически значимые металлы — кобальт и никель, комплексы которых можно изучать как методом хроматографии, так и с помощью спектроскопии ЭПР. Как показано выше, сопоставление результатов, полученных для одной и той же системы независимо двумя разными методами, позволяет делать более обоснованные выводы, чем в случае применения только одного из этих методов. Растворы, содержащие нитраты металлов в концентрации 5 ммоль/л, использовали для комплексообразования с облученными и необлученными образцами БСА. В качестве раствора сравнения применяли раствор нитрата натрия, что позволило учесть эффект присутствия аниона NO3–, исключив при этом мешающее влияние катиона, так как натрий не участвует в комплексообразовании с БСА из-за отсутствия d-орбиталей. Растворы готовили для исследования, удаляя из них растворенный кислород с помощью продувки аргоном.
Степень связывания ионов кобальта и никеля с БСА определяли по изменениям параметров спектров ЭПР этих ионов (количество линий, их ширина, величина g-фактора). Для подтверждения полученных результатов проводили хроматографическое исследование в режиме спектрофотометрии на вершинах пиков. В случае кадмия, который не детектируется методом ЭПР, проведено только хроматографическое изучение. Было обнаружено, что для Ni2+ и Co2+ степени связывания ионов металлов с облученным образцом БСА заметно выше, чем с необлученным, тогда как степень связывания иона кадмия практически не изменилась. Результаты исследований представлены в табл. 1.
Для сравнения в таблице также приведены значения ионных радиусов, взятых из работы [23]. Результаты не показывают ни прямой, ни обратной корреляции степени связывания с ионным радиусом: кобальт, занимая промежуточное положение между никелем и кадмием по величине ионного радиуса, связывается с БСА в наибольшей степени, тогда как степень связывания меньшего по размеру иона никеля существенно ниже, чем у кобальта. Самая низкая степень связывания у кадмия, обладающего наибольшим ионным радиусом. Для никеля и кобальта степени связывания с облученным образцом БСА достоверно выше, чем с необлученным, тогда как для кадмия в обоих случаях получены примерно одинаковые значения. Таким образом, различия в связывании ионов никеля, кобальта и кадмия с БСА не удается однозначно объяснить разницей их геометрических параметров.
Таблица 1. Степени связывания (α, %) ионов металлов с облученным и необлученным образцами БСА
Параметр | Значения параметров | ||
Co2+ | Ni2+ | Cd2+ | |
Ионный радиус, нм* | 0.074 | 0.069 | 0.095 |
a, с облученным образцом БСА | 17.5 ± 0.4 | 12.6 ± 0.4 | 1.8 ± 0.3 |
a, с необлученным образцом БСА | 11.3 ± 0.3 | 9.8 ± 0.2 | 1.7 ± 0.2 |
* Данные взяты из работы [23].
Моделирование взаимодействия ионов никеля, кобальта и кадмия с функциональными группами БСА
Для выяснения механизмов, лежащих в основе зарегистрированных изменений степени связывания ионов металлов с облученным и необлученным образцами БСА проведено моделирование с использованием полуэмпирических методов и метода молекулярной механики. Рассчитывали величину изменения энергии при сближении иона металла с функциональной группой. В расчете учитывались не более 18 ближайших атомов фрагмента БСА. Результаты расчета показали, что ионы никеля и кобальта связываются с молекулой БСА посредством связей –С=О карбоксильных групп БСА, а также гидроксильных (–ОН) и тиольных (–SH) групп, тогда как связывание кадмия обеспечивают в основном карбонильные группы –С=О в b-положении к кольцевым структурам. Также анализ полученных результатов позволяет предполагать, что ионы металлов не являются прямыми конкурентами за адсорбционные центры с молекулярным кислородом, который, как было показано ранее [18], адсорбируется в основном на тиольных и дисульфидных группах, а также на пролиновом фрагменте. Ионы металлов также не конкурируют за позиции в процессе образования кластеров БСА (расчет проводили только для димеризации).
Согласно результатам расчетов, в присутствии кислорода образование димера происходит за счет связей двух тиольных групп разных молекул БСА через молекулу кислорода (–SH---O2---HS–), а при низком содержании кислорода в растворе две молекулы БСА удерживаются в димере в основном дисульфидными связями, при этом небольшой вклад (около 15% по энергии) вносят взаимодействия атома азота гетероцикла одной из молекул БСА с гидроксильным атомом другой молекулы. Таким образом, можно предположить на основании результатов расчета, что конформационный переход под действием облучения в терагерцовой области снимает стерическое затруднение для адсорбции кислорода, а удаление кислорода из раствора освобождает адсорбционные центры для межмолекулярного взаимодействия, благодаря которому образуются димеры. Для изучения роли ионов металлов в агрегации молекул БСА и для выявления влияния облучения в терагерцовом диапазоне частот на конформационные изменения молекул требуются дальнейшие исследования, в том числе получение концентрационных зависимостей процессов, изученных в данной работе.
Заключение
Облучение пленочных препаратов бычьего сывороточного альбумина в терагерцовом диапазоне частот приводит к изменениям транспортных свойств белка: увеличивается подвижность парамагнитных центров, участвующих в межмолекулярных взаимодействиях с образованием димеров БСА, и возрастает содержание димеров. При низком содержании кислорода концентрация димеров в необлученных образцах возрастает на 30% по сравнению с образцами, содержащими кислород, а в облученных образцах концентрация димеров возрастает более чем в три раза. Впервые с использованием методов ЭПР-спектроскопии и ВЭЖХ обнаружены различия в степени связывания ионов кобальта и никеля с молекулами БСА, но для кадмия различий не обнаружено. Моделирование взаимодействий полуэмпирическими методами и методом молекулярной механики показало, что ионы Ni2+ и Co2+ связываются с молекулой БСА через ее –С=О связи в карбоксильных группах, а также через –ОН и –SH-группы, тогда как связывание кадмия обеспечивают в основном карбонильные группы –С=О в b-положении к кольцевым структурам.
Авторы благодарят Н.А. Николаева и Центр коллективного пользования “Спектроскопия и оптика” Института автоматики и электрометрии СО РАН за предоставленный источник ТГц-излучения.
Исследования выполнены при частичной поддержке Министерством науки и высшего образования РФ в рамках госзадания ИЛФ СО РАН (тема № АААА-А17-117030310290-5).
About the authors
E. F. Nemova
Institute of Laser Physics, Siberian Branch of the Russian Academy of Sciences
Author for correspondence.
Email: endy.endy@gmail.com
Russian Federation, Novosibirsk
T. V. Kobzeva
Voevodsky Institute of Chemical Kinetics and Combustion, Siberian Branch, Russian Academy of Sciences
Email: endy.endy@gmail.com
Russian Federation, Novosibirsk
G. G. Dultseva
Voevodsky Institute of Chemical Kinetics and Combustion, Siberian Branch, Russian Academy of Sciences
Email: endy.endy@gmail.com
Russian Federation, Novosibirsk
References
- Cherkasova O.P., Serdyukov D.S., Nemova E.F., Ratushnyak A.S., Kucheryavenko A.S., Dolganova I.N., Xu G., Skorobogatiy M., Reshetov I.V., Timashev P.S., Spektor I.E., Zaytsev K.I., Tuchin V.V. // J. Biomed. Optics, 2021. V. 26. P. 090902.
- Siegel P.H. // IEEE Trans. Microwave Theory Technol. 2004. V. 52. P. 2438−2447.
- Parrott E.P.J., Sun Y., Pickwell-MacPherson E. // J. Mol. Struct. 2011. 1006. P. 66−76.
- Cherkasova O.P., Fedorov V.I., Nemova E.F., Pogodin A.S. Optika I Spektroskopiya. 2009. V. 107. No. 4. P. 566. (In Russ.).
- Markelz A.G., Mittleman D.M. Photonics (ACS). https://doi.org/10.1021/acsphotonics.2c00228.
- Sitnikov D.S., Ilina I.V., Revkova V.A., Rodionov S.A., Gurova S.A., Shatalova R.O., Kovalev A.V., Ovchinnikov A.V., Chefonov O.V., Konoplyannikov M.A., Kalsin V.A., Baklaushev V.P. // Biomed. Opt. Express. 2021. No. 12. P. 7122.
- Yaekashiwa N, Yoshida H., Otsuki S, Hayashi S.I., Kawase K. // Photonics. 2019. No. 6. P. 33.
- Koyama S., Narita E., Suzuki Y., Shiina T., Taki M., Shinohara N., Miyakoshi J. // J. Radiat. Res. 2019. V. 60. P. 417.
- Shi W., Wang Y., Hou L., Ma C., Yang L., Dong C., Wang Z., Wang H., Guo J., Xu S., Li J. // J. Biophoton. 2021. V. 14. Article e202000237.
- Peng Y., Shi C., Wu X., Zhu Y., Zhuang S. // BME Frontiers. 2020. 2020. P. 1.
- Zaytsev K.I., Dolganova I.N., Chernomyrdin N.V., Katyba G.M., Gavdush A.A., Cherkasova O.P., Komandin G.A., Shchedrina M.A., Khodan A.N., Ponomarev D.S., Reshetov I.V., Karasik V.E., Skorobogatiy M., Kurlov V.N., Tuchin V.V. Journal of Optics. 2020. V. 22. No. 1. Article 013001. doi: 10.1088/2040-8986/ab4dc3.
- Son J.-H., Oh S.J., Cheon H.J. // Appl. Phys. 2019. V. 125. Article 190901.
- Wei L., Yu L., Jiaoqi H., Guorong H., Yang Z., Weiling F. // Frontiers in Laboratory Medicine. 2018. No. 2. P. 127.
- Di Fabrizio M., Lupi S., D’Arco A. // J. Phys.: Photonics. 2021. № 3. Article 032001.
- Schroer M.A., Schewa S., Gruzinov A. Y., Rönnau C., Lahey-Rudolph J.M., Blanchet C.E., Zickmantel T., Song Y.-H., Svergun D.I., Roessle M. // Sci. Rep. 2021. V. 11. P. 22311.
- Chen J.Y., Knab J.R., Ye S.J., He Y.F., Markelz A.G. // Appl. Phys. Lett. 2007. V. 90. 243901.
- Tan N.Y., Li R., Bräuer P., D’Agostino C., Gladden L.F., Zeitler J.A. // Phys. Chem. Chem. Phys. 2015. V. 17. P. 5999.
- Nemova E.F., Cherkasova O.P., Nikolaev N.A., Dultseva G.G. // Biophysics (Russian Federation). 2020. V. 65. No. 3. P. 410.
- Alhazmi H.A., Al Bratty M., Meraya A.M., Najmi A., Alam M.S., Javed S.A. // Acta Biochim. Pol. 2021. V. 68. No. 1. P. 99.
- Liu X.F., Xia Y.M., Fang Y. J. // Inorg Biochem. 2005. V. 99. No. 7. P. 1449. https://doi.org/10.1016/j.jinorgbio.2005.02.025. PMID: 15908003.
- Peng M., Shi S., Zhang Y. // Spectrochim Acta A Mol. Biomol. Spectrosc. 2012. V. 85. No. 1. P. 190. https://doi.org/10.1016/j.saa.2011.09.059.
- Hedberg Y.S., Dobryden I., Chaudhary H., Wei Z., Claesson P.M., Lendel C. // Colloids Surf B Biointerfaces. 2019. V. 173. P. 751.
- CRC Handbook of Chemistry and Physics. 95th edition. Ed. W.M. Haynes. CRC Press, 2014.
Supplementary files





