Quantum-chemical calculations of the enthalpy of formation for 5/6/5 tricyclic tetrazine derivatives annelated with nitrotriazoles
- Autores: Volokhov V.M.1, Parakhin V.V.2, Amosova E.S.1, Volokhov A.V.1, Lempert D.B.1, Zyubina T.S.1
-
Afiliações:
- Institute of problems of chemical physics Russian academy of sciences
- N.D. Zelinskiy Institute of organic chemistry Russian academy of sciences
- Edição: Volume 43, Nº 1 (2024)
- Páginas: 13-23
- Seção: СТРОЕНИЕ ХИМИЧЕСКИХ СОЕДИНЕНИЙ, КВАНТОВАЯ ХИМИЯ, СПЕКТРОСКОПИЯ
- URL: https://bakhtiniada.ru/0207-401X/article/view/258139
- DOI: https://doi.org/10.31857/S0207401X24010026
- EDN: https://elibrary.ru/mlodle
- ID: 258139
Citar
Texto integral
Resumo
The paper presents the study of the calculated physicochemical properties of new high-energy 5/6/5 tricyclic structures, which are 1,2,3,4- or 1,2,4,5-tetrazines, fused with a pair of 1H-1,2,4-, 4H-1,2,4- or 1H-1,2,3-triazoles. Values of the enthalpy of formation in the gaseous phase have been determined by high-performance quantum-chemical calculations (within Gaussian 09 program package) using various methods for solving the stationary Schrödinger equation, including G4, G4MP2, ωB97XD/aug-cc-pVTZ, CBS-APNO, CBS-QB3, CBS-4M, B3LYP/6-311+G(2d,p), M062X/6-311+G(2d,p). The results of calculations obtained by the methods of atomization and isogyric reactions have been analysed. Various calculation methods have been compared in terms of accuracy and time consumption.
Palavras-chave
Texto integral
Введение
Важнейшей задачей для специалистов в области энергоемких соединений является поиск новых высокоэнергетических материалов (ВЭМ) и изучение их свойств [1–17]. Представленные в современной литературе новые ВЭМ в основном являются производными различных азотистых нитрогетероциклов. Так, например, в качестве перспективных энергоемких соединений рассматриваются представители ряда 5/6/5-трициклических производных 1,2,3,4-тетразинов [18–20], обладающие полезными физико-химическими свойствами. Высокий энергетический потенциал этих соединений определяется тем, что наличие нитрогрупп в их структуре обеспечивает приемлемый кислородный баланс, а большое количество связей C–N, N–N и N=N их гетероциклических систем — высокий уровень энтальпии образования (ΔHf).
Первым из указанных производных был синтезирован 2,9-динитробис([1, 2, 4]триазоло)[1,5-d : 5′,1′-f ][1, 2, 3, 4]тетразин (1а), структура которого содержит 1,2,3,4-тетразин с двумя аннелированными с ним нитро-1,2,4-триазолами [18]. Предварительная оценка свойств этого соединения показала, что, наряду со сравнительно высокой плотностью, по детонационным характеристикам оно находится на уровне самого мощного ВЭМ — октогена, но при этом обладает заметно меньшей чувствительностью, чем октоген и гексоген. Приведенные достоинства соединения 1а делают привлекательным для поиска новых ВЭМ ряд энергоемких 5/6/5-трициклических производных 1,2,3,4-тетразинов, аннелированных триазолами. Кроме этого, поскольку недостатком соединения 1а является сравнительно невысокая термостабильность, то, наряду с 5/6/5-трициклическими производными несимметричного 1,2,3,4-тетразина, внимания заслуживают и потенциально более термически устойчивые изомерные аналоги на основе симметричного 1,2,4,5-тетразина, первые представители которых были недавно синтезированы [21].
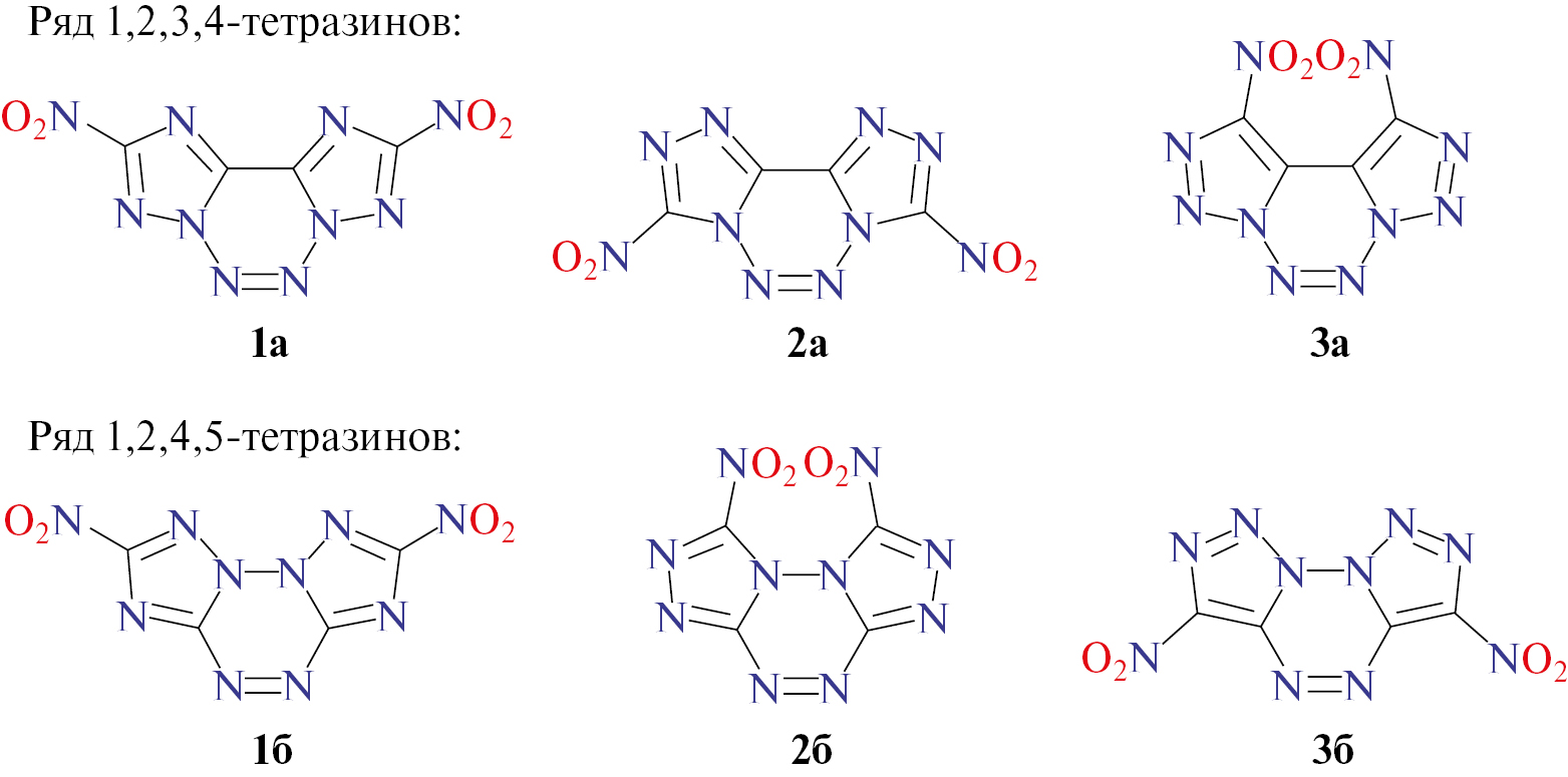
Следует отметить, что ключевым параметром, определяющим энергетические возможности ВЭМ, является энтальпия образования ΔHf , от точности определения которой зависит надежность результатов расчета энергетических характеристик соединения. Поэтому цель данной работы — расчет ΔHf различными квантовохимическими методами для 5/6/5-трициклических производных тетразинов, аннелированных нитротриазолами, в газовой фазе при нормальных условиях — температуре 298 К и давлении p = 1 атм (∆H of(г)), а также выявление закономерностей в ряду этих соединений зависимости величины ΔHf от структуры изомеров нитротриазола для изомерных 5/6/5-трициклических производных тетразинов, аннелированных нитротриазолами (рис. 1, буква в обозначении соединения соответствует типу тетразина в структуре, а цифра — типу триазола):
2,9-динитробис([1, 2, 4]триазоло)[1,5-d:5′,1′-f ][1, 2, 3, 4]тетразин (1а),
2,7-динитробис ([1, 2, 4]триазоло)[1,5-b:5′,1′-f ][1, 2, 4, 5]тетразин (1б),
3,8-динитробис([1, 2, 4]триазоло)[4,3-d:3′,4′-f ][1, 2, 3, 4]тетразин (2а),
1,8-динитробис([1, 2, 4]триазоло)[4,3-b:3′,4′-f ][1, 2, 4, 5]тетразин (2б),
1,10-динитробис([1, 2, 3]триазоло)[1,5-d:5′,1′-f ][1, 2, 3, 4]тетразин (3а),
3,6-динитробис([1, 2, 3]триазоло)[1,5-b:5′,1′-f ][1, 2, 4, 5]тетразин (3б).
Рис. 1. Исследуемые молекулы бис(триазоло)тетразинов.
Коэффициент насыщения кислородом (α) этих соединений равен 0.5 (α = 2z/(4x + y) для CxHyNwOz), массовая доля азота — 55.56%.
Данная работа продолжает исследования 5/6/5-трициклических производных тетразинов, аннелированных азолами, начатые авторами в работе [22].
МЕТОДИКА РАСЧЕТА
В настоящее время для определения энтальпии образования ΔHf , наряду с методами экспериментального измерения, широкое распространение получили квантовохимические методы, очевидными преимуществами которых является отсутствие необходимости длительной синтетической наработки, глубокой очистки изучаемых соединений и проведения трудоемких термохимических исследований. Наиболее точные величины ΔHf , наряду с экспериментальными измерениями с помощью калориметрии сжигания, дают расчеты на основе ab initio подходов. В работе [23] на примере 454 структур был выполнен анализ точности квантовохимических расчетов термохимических величин с использованием метода G4, входящего в состав пакета программ Gaussian 09. Было показано, что усредненное отклонение результатов расчетов от экспериментальных величин составляет лишь 0.8 ккал/моль (для высокоэнтальпийных веществ отклонение значительно меньше 1%). Ранее в некоторых работах (см., например, [24–26], показана эффективность использования метода G4 для оценки ΔHf полиазотистых высокоэнергетических соединений. Кроме того, квантовохимические методы позволяют осуществлять компьютерный дизайн молекул перспективных, еще не синтезированных соединений, с высокой точностью рассчитывать их физико-химические (в частности, термохимические) характеристики, и детально исследовать их зависимость от структуры молекулы.
Удобный подход к расчету энетальпии образования в газовой фазе ∆H of(г) основан на использовании реакций, в которых исследуемое вещество является либо реагентом, либо продуктом [27]. Уравнение энергетического баланса такой реакции позволяет определить ∆H of(г). В этой работе мы исследовали два варианта указанного подхода к вычислению ∆Hf(г): первый — на основе реакций атомизации (аналогично предыдущим работам авторов [28–33]) и второй — с использованием реакций образования соединений из простых веществ в стандартных условиях.
РЕЗУЛЬТАТЫ РАСЧЕТОВ И ИХ ОБСУЖДЕНИЕ
Энтальпии образования
Структуры и геометрические параметры исследуемых изомеров молекулы C4N10O4, рассчитанные на уровне B3LYP/6-311+G(2d,p), представлены на рис. 2. Энтальпии образования исследуемых молекул в газовой фазе, полученные с использованием различных методов расчета (G4, G4MP2, ωB97XD/aug-cc-pVTZ, CBS-APNO, CBS-QB3, CBS-4M, B3LYP/6-311+G(2d,p), M062X/6-311+G(2d,p)), представлены в табл. 1.
Рис. 2. Структуры изомеров общей формулы C4N10O4 1а,б–3а,б (в разных ракурсах) и их геометрические параметры: длины связи и валентные углы (Å, °). Расчеты выполнены методом B3LYP/6-311+G(2d,p).
Таблица 1. Значения энтальпии образования молекул 1а,б–3а,б в газовой фазе, полученные различными квантово-химическими методами расчета
Метод расчета | ∆H of (г), кДж/моль | |||||
1а | 1б | 2а | 2б | 3а | 3б | |
CBS-4M | 847.95* 746.64** | 886.12* 784.81** | 963.89* 862.58** | 1000.78* 899.47** | 992.41* 891.09** | 1045.01* 943.70** |
ωB97XD/aug-cc-pVTZ | 871.37* 821.41** | 912.32* 862.36** | 980.36* 930.38** | 1022.52* 972.55** | 1023.79* 973.83** | 1073.34* 1023.38** |
CBS-QB3 | 842.53* 830.76** | 884.35* 872.58** | 948.48* 936.71** | 987.52* 975.75** | 986.02* 974.25** | 1038.08* 1026.31** |
CBS-APNO | 874.45* 851.47** | 915.85* 892.87** | 981.85* 958.87** | 1016.27* 993.29** | 1018.60* 995.61** | 1072.77* 1049.79** |
G4 | 864.57* 867.50** | 907.88* 910.81** | 968.92* 971.85** | 1005.80* 1008.73** | 1009.89* 1012.82** | 1063.89* 1066.82** |
G4MP2 | 884.27* 877.56** | 928.94* 922.24** | 988.96* 982.26** | 1028.85* 1022.15** | 1029.01* 1022.31** | 1082.97* 1076.27** |
M062X/6-311+G(2d,p) | 969.81* 879.33** | 1008.80* 918.32** | 1079.84* 989.36** | 1114.72* 1024.24** | 1130.34* 1039.85** | 1177.56* 1087.08** |
B3LYP/6-311+G(2d,p) | 937.37* 921.69** | 974.32* 958.64** | 1042.64* 1026.97** | 1086.24* 1070.56** | 1089.22* 1073.54** | 1130.85* 1115.17** |
* ∆H of (г)(I) вычислено с использованием реакции атомизации соединений;
** ∆H of (г)(II) — с использованием реакции образования соединений из простых веществ.
В работе использовались гибридные функционалы плотности B3LYP [34. 35], M062X [36] и включающий эмпирическую дисперсию ωB97XD [37] с соответствующими базисными рядами 6-311+G(2d,p) и aug-cc-pVTZ, а также комбинированные методы G4 и G4MP2 [23, 38, 39] и разработанные научной группой Петерсона методы CBS-4M, CBS-QB3 и CBS-APNO [40, 41].
Как указывалось выше, энтальпии образования различных изомеров молекулы C4N10O4 были рассчитаны двумя способами:
- ∆H of(г)(I) — на основе энтальпии реакции атомизации изучаемого соединения: 4C(г) + 10N(г) + + 4O(г) = C4N10O4(г);
- ∆H of (г)(II) — на основе энтальпии реакции образования изучаемого соединения из простых веществ: 4C(г) + 5N2(г) + 2O2(г) = C4N10O4(г).
Сравнение двух подходов к вычислению ∆H of(г) показывает, что на всех уровнях расчета ∆H of(г)(I) больше, чем ∆H of(г)(II) на 7–101 кДж/моль. Исключение составляет наиболее точный комбинированный метод G4, при котором ∆H of(г)(II) больше ∆H of(г)(I) на 3 кДж/моль. Разность величин ∆H of(г)(I) и ∆H of(г)(II) тем меньше, чем точнее расчет: так, для расчета методом CBS-4M по сравнению с G4 эта разница составляет 101 кДж/моль, а для метода G4MP2 она равна 7 кДж/моль. Значения ∆H of(г)(II) представляются нам более точными, поскольку при расчетах по второму способу структура волновой функции дробится на меньшее число фрагментов, поэтому далее мы будем анализировать относительные изменения именно ∆H of(г)(II) в ряду исследуемых структур.
Как было указано выше, из приведенных в данной работе расчетов наиболее точные выполнены методом G4. Результаты, полученные с использованием метода G4, близки к рассчитанным методами G4MP2 и CBS-APNO: разница между значениями ∆H of(г) составляет 9–13 и 13–18 кДж/моль соответственно. При этом временные затраты при использовании метода G4MP2 сокращаются в 5–10 раз по сравнению с методом G4. Наибольшее отклонение от значений ∆H of(г), полученных с использованием G4, наблюдается при расчетах методом CBS-4M и составляет 109–126 кДж/моль, но при этом временные затраты на расчеты уменьшаются в сотни раз для исследуемых структур.
Анализ полученных результатов позволил обнаружить тенденцию к изменению энтальпии в ряду изомеров 1а,б–3а,б в зависимости от их структуры (рис. 3). Так, рост величины энтальпии образования между парами изомеров 1а и 1б, 2а и 2б, 3а и 3б, очевидно, объясняется увеличением ∆H of(г) в ряду изомерных 1H-1,2,4-, 4H-1,2,4- и 1H-1,2,3-триазолов, входящих в структуры изучаемых соединений (табл. 2). В свою очередь, различие величин ∆H of(г) в указанных парах трициклов, вероятно, обусловлено отличием аннелированного с триазолами изомера центрального ядра — 1,2,3,4- и 1,2,4,5-тетразина.
Рис. 3. Изменение энтельпии образования в газовой фазе (кДж/моль) в ряду исследуемых изомеров 1а,б–3а,б. Расчет методом B3LYP/6-311+G(2d,p) — 1, M062X/6-311+G(2d,p) — 2, G4MP2 — 3, G4 — 4, CBS-APNO — 5, CBS-QB3 — 6, ωB97XD/aug-cc-pVTZ — 7, CBS-4M — 8.
Таблица 2. Значения энтальпии образования изомерных триазолов в газовой фазе
Метод расчета | ∆H of (г), кДж/моль | ||
A | B | C | |
B3LYP | 197.76 | 222.73 | 267.26 |
G4 | 195.05 | 219.32 | 266.11 |
В дополнение к выполненным исследованиям был проведен сравнительный анализ полученных нами результатов с некоторыми литературными данными для аналогичных структур. В работе [18] приведено значение энтальпии образования соединения 1а в твердой фазе, где энергия сублимации учтена на основе полуэмпирического метода Берда и Райса [42, 43] (точность которого не описана), равное 787 кДж/моль, которое меньше вычисленной нами на уровне G4 величины энтальпии для 1а на 80 кДж/моль, что приблизительно соответствует величине энтальпии сублимации. Также для соединения 1а в работе Киселева и Голдсмита [44] приводятся расчетные значения энтальпии, полученные методом G4 и с использованием модифицированных процедур W2-F12 [45]. Значение ∆H of(г), рассчитанное на уровне G4 с использованием энергии атомизации, составило 205.8 ккал/моль, что в пределах 1 ккал/моль совпадает с рассчитанной нами величиной. Значительно отличается от приведенных величин значение ∆H of(г), полученное с использованием процедур W2-F12 и равное 213.5 ккал/моль. Авторы работы [44] связывают эту разницу в значениях с наличием в методе G4 чисто эмпирических поправок высшего уровня. Рассчитанные ранее [46] для трициклов 2б и 3б значения энтальпии образования в газовой фазе на уровне B3PW91/6-31G(d,p) составляют 241.7 и 254.5 ккал/моль соответственно, что в пределах 1 ккал/моль совпадает с рассчитанными нами методом G4 величинами ∆H of(г). В работе [47] также приведены значения энтальпии образования в газовой фазе для изомерных триазолов A, B, C, рассчитанные по реакции атомизации методом G4: 190.26, 214.51, 261.31 кДж/моль, которые на ~5 кДж/моль отличаются от величин энтальпии, рассчитанных нами для соответствующих структур методом G4, по реакции образования этих соединений из простых веществ.
ИК-спектры и анализ частот
На рис. 4 и 5 представлены ИК-спектры поглощения и смещения атомов для наиболее интенсивных колебаний молекул изучаемых изомерных структур 1а,б–3а,б, рассчитанные методом B3LYP/6-311+G(2d,p). Согласно данным, приведенным на рис. 4 и 5, для структуры 1а характерны деформационные колебания N–O-связей нитрогрупп NO2 при 841 см–1, колебания N–N-связей тетразинового кольца в области 1220–1262 см–1, колебания N–N-связей триазольных колец при 1317 см–1; колебания C–N-связей в области 1337–1377 см–1 и колебания N–O-связей нитрогрупп при 1620 см–1. Для структуры 1б характерны деформационные колебания N–O-связей фрагментов NO2 при 845 см–1, колебания C–N-связей в области 1347–1355 см–1 и колебания N–O-связей в при 1621 см–1.
Рис. 4. ИК-спектры (e — коэффициент молярной экстинции) поглощения изомерных структур 1а,б–3а,б.
Рис. 5. Векторы смещений атомов для указанных частот (цифры на рисунках) наиболее интенсивных колебаний изомерных структур 1а,б–3а,б.
Для структуры 2а пик при 831 см–1 соответствует деформационным колебаниям N–O-связей нитрогрупп NO2, колебания в области 1357–1467 см–1 соответствуют колебаниям C–N-связей, а пик при 1612 см–1 — колебаниям N–O-связей нитрогрупп. Для структуры 2б характерны деформационные колебания N–O-связей NO2 при 847 см–1, колебания C–N-связей в области 1369–1392 см–1 и колебания N–O-связей NO2 при 1618 см–1.
Для структур 3а и 3б частоты 852 и 812 см–1 относятся к деформационным колебаниям нитрогрупп, а пики при 1600 и 1608 см–1 — к колебаниям N–O-связей. Колебаниям C–N-связей на стыке тетразинового и триазольного колец соответствует пик при 1386 см–1 (для структуры 3а) или при 1409 см–1 (для структуры 3б), а колебаниям C–N-связей нитрогруппы соответствует полоса поглощения при 1400 см–1 (структура 3а) или при 1370 см–1 (структура 3б).
ЗАКЛЮЧЕНИЕ
Исследования, проведенные квантовохимическими методами, позволили определить энтальпии образования шести изомерных динитробис(триазоло)тетразинов 1а,б –3а,б общей формулы C4N10O4 и установить значения ∆H of(г). Также определен изомерный ряд возрастания величины энтальпии образования и выявлены структурные факторы, определяющие эту величину, такие как строение нитротриазольного фрагмента (1,2,4- или 1,2,3-триазолов) и тетразинового ядра (1,2,3,4- или 1,2,4,5-тетразин). Кроме того, для изученных структур 1а,б–3а,б рассчитаны частоты характеристических полос колебаний в ИК-спектрах. Следует отметить, что в ряду изомеров молекулы C4N10O4 величина энтальпии образования изменяется (для наиболее точных расчетов) от 850 до 1050 кДж/моль, т.е. весьма существенно. Работа выполнена с использованием оборудования Центра коллективного пользования высокопроизводительными вычислительными ресурсами МГУ им. М.В. Ломоносова [46–48] (проекты Enthalpy-2065 и Enthalpy-2219) и собственных вычислительных ресурсов ИПХФ РАН. В.М. Волохов, Е.С. Амосова и А.В. Волохов проводили квантовохимические исследования в соответствии с темами госзадания № AAAA-A19-119120690042-9 и № АААА-А19-119111390022-2. Расчеты ресурсоемкими методами проводились при поддержке Российским фондом фундаментальных исследований в рамках проекта 20-07-00319. Д.Б. Лемперт проводил оценку энергетического потенциала соединений в рамках темы госзадания № AAAA-A19-119101690058-9). Т.С. Зюбина выполняла расчет и анализ ИК-спектров и смещений атомов в рамках темы госзадания № AAAA-A19-119061890019-5.
Sobre autores
V. Volokhov
Institute of problems of chemical physics Russian academy of sciences
Autor responsável pela correspondência
Email: aes@icp.ac.ru
Rússia, Chernogolovka
V. Parakhin
N.D. Zelinskiy Institute of organic chemistry Russian academy of sciences
Email: aes@icp.ac.ru
Rússia, Moscow
E. Amosova
Institute of problems of chemical physics Russian academy of sciences
Email: aes@icp.ac.ru
Rússia, Chernogolovka
A. Volokhov
Institute of problems of chemical physics Russian academy of sciences
Email: aes@icp.ac.ru
Rússia, Chernogolovka
D. Lempert
Institute of problems of chemical physics Russian academy of sciences
Email: aes@icp.ac.ru
Rússia, Chernogolovka
T. Zyubina
Institute of problems of chemical physics Russian academy of sciences
Email: aes@icp.ac.ru
Rússia, Chernogolovka
Bibliografia
- P Yin., Q. Zhang, J. M. Shreeve, Acc. Chem. Res. 49, 4 (2016). https://doi.org/10.1021/acs.accounts.5b00477
- Y. Qu, S. P. Babailov, J. Mater. Chem. A. 6, 1915 (2018). https://doi.org/10.1039/C7TA09593
- C. Yongjin, B. Shuhong, Johnson Matthey Technol. Rev. 63, 51 (2019). https://doi.org/10.1595/205651319x15421043166627
- L. L. Fershtat, N. N. Makhova, ChemPlusChem. 85, 12 (2020). https://doi.org/10.1002/cplu.201900542
- H. Gao, Q. Zhang, J. M. Shreeve, J. Mater. Chem. A. 8, 4193 (2020). https://doi.org/10.1039/C9TA12704F
- J. Zhang, J. Zhou, F. Bi, B. Wang, Chin. Chem. Lett. 31, 2375 (2020). https://doi.org/10.1016/j.cclet.2020.01.026
- J. Zhou, J. L. Zhang, B. Z. Wang et al., FirePhysChem. 2, 83 (2022). https://doi.org/10.1016/j.fpc.2021.09.005
- J. Tang, H. Yang, Y. Cui, G. Cheng, Mater. Chem. Front. 5, 7108 (2021). https://doi.org/10.1039/D1QM00916H
- A. M. Churakov, A. A. Voronin, M. S. Klenov, V. A. Tartakovsky, Other Tetrazines and Pentazines in Comprehensive Heterocyclic Chemistry IV, ed. D. S. Black, J. Cossy, C. V. Stevens. Amsterdam: Elsevier Science 9 640 (2022). https://doi.org/10.1016/B978-0-12-818655-8.00064-0
- S. G. Zlotin, I. L. Dalinger, N. N. Makhova, V. A. Tartakovsky, Russ. Chem. Rev. 89, 1 (2020). https://doi.org/ 10.1070/RCR4908
- S. G. Zlotin, A. M. Churakov, M. P. Egorov et al., Mendeleev Commun. 31, 731 (2021). https://doi.org/10.1016/j.mencom.2021.11.001
- A. O. Shvets, A. A. Konnov, M. S. Klenov et al., Russ. Chem. Bull., Int. Ed. 69, 739 (2020). https://doi.org/10.1007/s11172-020-2826-3
- D. A. Gulyaev, M. S. Klenov, A. M. Churakov et al., Russ. Chem. Bull., Int. Ed. 70, 1599 (2021). https://doi.org/10.1007/s11172-021-3256-6
- I. N. Zyuzin, V. M. Volokhov, D. B. Lempert, Russ. J. Phys. Chem. B (Engl. Transl.). 15, 810 (2021). https://doi.org/10.1134/S1990793121050109
- I. N. Zyuzin, I. Yu. Gudkova, D. B. Lempert, Russ. J. Phys. Chem. B (Engl. Transl.). 15, 611 (2021). https://doi.org/10.1134/S1990793121040138
- V. V. Zakharov, N. V. Chukanov, G. V. Shilov, et al., Russ. J. Phys. Chem. B (Engl. Transl.). 15, 622 (2021). https://doi.org/10.1134/S1990793121040126
- L.L. Fershtat // FirePhysChem. (China). 3, 78 (2023). https://doi.org/10.1016/j.foc.2022.09.005
- D. E. Chavez, J. C. Bottaro, M. Petrie, D. A. Parrish, Angew. Chem. Int. Ed. 54, 12973 (2015). https://doi.org/10.1002/anie.201506744
- Y. Tang, D. Kumar, J. M. Shreeve, J. Am. Chem. Soc. 139, 13684 (2017). https://doi.org/10.1021/jacs.7b08789
- Y. X. Tang, C. L. He, P. Yin et al., Eur. J. Org. Chem. 19, 2273 (2018). https://doi.org/10.1002/ejoc.201800347
- G.F. Rudakov et al. // Chem. Eng. J.2022. V. 450. P. 138073; https://doi.org/10.1016/j.cej.2022.138073
- V. M. Volokhov, E. S. Amosova, A. V. Volokhov et al., Comput. Theor. Chem. 1209, 113608 (2022). https://doi.org/10.1016/j.comptc.2022.113608
- L. A. Curtiss, P. C. Redfern, K., J. Raghavachari Chem. Phys. 126, 084108 (2007). https://doi.org/10.1063/1.2436888
- A. Nirwan, V. D. Ghule, Theor. Chem. Acc. 137, 1 (2018). https://doi.org/10.1007/s00214-018-2300-6
- M. A. Suntsova, O. V. Dorofeeva, J. Chem. Eng. Data. 61, 313 (2016). https://doi.org/10.1021/acs.jced.5b00558
- J. Glorian, K. T. Han, S. Braun, B. Baschung, Propellants Explos. Pyrotech. 46, 124 (2021). https://doi.org/10.1002/prep.202000187
- K. K. Irikura, D. J. Frurip, Computational Thermochemistry. ACS Symposium Series 667. Washington: American Chemical Society (1998).
- Parallel Computational Technologies. PCT 2020. Communications in Computer and Information Science, Eds L. Sokolinsky, M. Zymbler. Springer, Cham. 1263, 291 (2020). https://doi.org/10.1007/978-3-030-55326-5_21
- Supercomputing. RuSCDays 2020. Communications in Computer and Information Science, Eds V. Voevodin, S. Sobolev. Springer, Cham. 1331, 310 (2020). https://doi.org/10.1007/978-3-030-64616-5_27
- D. B. Lempert, V. M. Volokhov, I. N. Zyuzin et al., Russ. J. Appl. Chem. (Engl. Transl.). 93, 1852 (2020). https://doi.org/10.1134/S1070427220120071
- V. M. Volokhov, E. S. Amosova, A. V. Volokhov et al., Supercomput. Front. Innov. 7, 68 (2020). https://doi.org/10.14529/jsfi200406
- V. M. Volokhov, T. S. Zyubina, A. V. Volokhov et al., Russ. J. Phys. Chem. B (Engl. Transl.) 15, 12 (2021). https://doi.org/10.1134/S1990793121010127
- V. M. Volokhov, T. S. Zyubina, A. V. Volokhov et al., Russ. J. Inorg. Chem. (Engl. Transl.). 66, 78 (2021).
- https://doi.org/ 10.1134/S0036023621010113
- A. D. Becke, J. Chem. Phys. 98, 5648 (1993). https://doi.org/10.1063/1.464906
- B. J. Johnson, P. M. W. Gill, J. A. Pople, J. Chem. Phys. 98, 5612 (1993). https://doi.org/10.1063/1.464906
- Y. Zhao, D.G. Truhlar, Theor. Chem. Acc. 120, 215 (2008). https://doi.org/10.1007/s00214-007-0310-x
- J.-D. Chai, M. Head-Gordon, Phys. Chem. Chem. Phys. 10, 6615 (2008). https://doi.org/10.1039/B810189B
- L. A. Curtiss, P.C. Redfern, K. Raghavachari, J. Chem. Phys. 127, 124105 (2007). https://doi.org/10.1063/1.2770701
- L. A.Curtiss, P.C.Redfern, K. Raghavachari, Comput. Mol. Sci. 1, 810 (2011). V. 1. P. 810. https://doi.org/10.1002/wcms.59
- J. A. Montgomery Jr., M. J. Frisch, et al., J. Chem. Phys. 112, 6532 (2000). https://doi.org/10.1063/1.481224
- G. A Petersson., D.K. Malick, W.G. Wilson, et al., J. Chem. Phys. 109, 10570 (1998); https://doi.org/10.1063/1.477794
- E. F. Byrd, B. M. Rice, J. Phys. Chem. A. 110, 1005 (2006). https://doi.org/10.1021/jp0536192
- E. F. Byrd, B. M. Rice, J. Phys. Chem. A. 113, 5813 (2009). https://doi.org/10.1021/jp806520b
- V. G. Kiselev, C. F. Goldsmith, J. Phys. Chem. A. 123, 9818 (2019). https://doi.org/10.1021/acs.jpca.9b08356
- A. Karton, J. M. L. Martin, J. Chem. Phys. 136, 124114 (2012). https://doi.org/10.1063/1.3697678
- V. D. Ghule, Comput. Theor. Chem. 992, 92 (2012). https://doi.org/10.1016/j.comptc.2012.05.007
- J. Mann, V. D. Ghule, S. Dharavath, Phys. Chem. A. 127, 6467 (2023). https://doi.org/10.1021/0021-9614(89)90060-8
Arquivos suplementares







