Dielectric Properties of Composites Based on Ethylene Vinyl Acetate Filled with a Hollandite-Like Ceramic Material K1.5Co0.75Ti7.25O16
- Authors: Vikulova M.A.1, Tsyganov A.R.1, Artyukhov D.I.1, Gorokhovsky A.V.1, Gorshkov N.V.1
-
Affiliations:
- Gagarin State Technical University of Saratov
- Issue: Vol 42, No 11 (2023)
- Pages: 3-8
- Section: Chemical physics of polymeric materials
- URL: https://bakhtiniada.ru/0207-401X/article/view/233189
- DOI: https://doi.org/10.31857/S0207401X23110092
- EDN: https://elibrary.ru/PZVQJA
- ID: 233189
Cite item
Full Text
Abstract
Polymer-matrix composites based on ethylene vinyl acetate (EVA) and KxCoyTi8 – yO16 solid solution
with a hollandite-like structure (KCoTO(H)) are obtained and studied as promising materials for components
of electronic devices. The filler is synthesized by modifying X-ray amorphous potassium polytitanate
(PPT) K2O·nTiO2 (n = 4.3) in a CoSO4·7H2O solution under alkaline conditions, followed by thermal treatment
at 900°C. The structure of the synthesized material and the morphology of particles are studied by X-ray
phase analysis (XPA) and scanning electron microscopy (SEM), respectively. KCoTO(H) is introduced in the
EVA polymer matrix by mixing a preliminarily prepared polymer solution and a dispersion of filler powder in
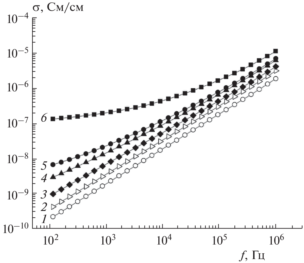
an appropriate solvent in amounts of 10, 20, 30, 40, and 50 vol %. The frequency behavior of the permittivity,
dielectric loss tangent, and conductivity of the obtained composites is studied by impedance spectroscopy. It
is established that an increase in the KCoTO(H) content in the composite contributes to the growth of all the
studied dielectric characteristics of a relatively pure EVA polymer matrix in the entire frequency range of
0.1 kHz–1 MHz (the maximum values are noted at a 50 vol % of the filler and f = 102 Hz: ε = 518, tanδ = 4,
and σ = 1.35 S/cm).
About the authors
M. A. Vikulova
Gagarin State Technical University of Saratov
Email: algo54@mail.ru
Saratov, Russia
A. R. Tsyganov
Gagarin State Technical University of Saratov
Email: algo54@mail.ru
Saratov, Russia
D. I. Artyukhov
Gagarin State Technical University of Saratov
Email: algo54@mail.ru
Saratov, Russia
A. V. Gorokhovsky
Gagarin State Technical University of Saratov
Email: algo54@mail.ru
Saratov, Russia
N. V. Gorshkov
Gagarin State Technical University of Saratov
Author for correspondence.
Email: algo54@mail.ru
Saratov, Russia
References
- Wu H., Zhuo F., Qiao H. et al. // Energy Environ. Mater. 2022. V. 5. № 2. P. 486.
- Esmaili P., Azdast T., Doniavi A. // J. Polym. Res. 2022. V. 29. № 11. Article 465.
- Fan B., Zhou M., Zhang C. et al. // Prog. Polym. Sci. 2019. V. 97. P. 101143.
- Прусаков В.Е., Максимов Ю.В., Нищев К.Н. и др. // Хим. физика. 2018. Т. 37. № 1. С. 83.
- Shanmugasundram H.P.P.V., Jayamani E., Soon K.H. // Renewable Sustainable Energy Rev. 2022. V. 157. Issue C.
- Мясоедова В.В. // Хим. физика. 2019. Т. 38. № 9. С. 83.
- Залепугин Д.Ю., Тилкунова Н.А., Чернышова И.В. // Сверхкритические флюиды: теория и практика. 2019. Т. 14. № 3. С. 11.
- Raja J.G., Ahamed M.B., Hussain C.M. et al. // J. Mater. Sci. – Mater. Electron. 2022. V. 33. № 29. P. 22883.
- Tan W.K., Matsubara Y., Yokoi A. et al. // Adv. Powder Technol. 2022. V. 33. № 4. P. 103528.
- Kim G.H., Moon Y.I., Jung J.K. et al. // Polymers (Basel). 2022. V. 14. № 1. P. 155.
- Hu C., Zhang H., Neate N. et al. // Ibid. № 18. P. 2583.
- Liu Y., Li L., Shi J. et al. // Chem. Eng. J. 2019. V. 373. P. 642.
- Симбирцева Г.В., Пивень Н.П., Бабенко С.Д. // Хим. физика. 2020. Т. 39. № 12. С. 60.
- Жуков А.М., Солодилов В.И., Третьяков И.В., Буракова Е.А., Юрков Г.Ю. // Хим. физика. 2022. Т. 41. № 9. С. 64.
- Васильев А.А., Дзидзигури Э.Л., Ефимов М.Н., Муратов Д.Г., Карпачева Г.П. // Хим. физика. 2021. Т. 40. № 6. С. 18.
- Ou J., Chen Y., Zhao J. et al. // Polymers (Basel). 2022. V. 14. № 20. P. 4328.
- Deng Q., Huang Y., Chen B. et al. // Colloids Surf. A. Physicochem. Eng. Asp. 2022. V. 632. P. 127763.
- Bu Q., Hu J., Xiang B. et al. // Mater. Res. Bull. 2022. V. 147. P. 111632.
- Zhou Y., Liu Q., Chen F. et al. // Ceram. Intern. 2021. V. 47. № 4. P. 5112.
- Laarsi H.A., Fasquelle D., Tachafine A. // J. Electron. Mater. 2021. V. 50. № 3. P. 1132.
- Besprozvannykh N.V., Sinel’shchikova O.Y., Morozov N.A. et al. // Russ. J. Appl. Chem. 2020. V. 93. № 8. P. 1132.
- Morozov N.A., Sinel’shchikova O.Y., Besprozvannykh N.V. // Glass Phys. Chem. 2021. V. 47. № 6. P. 642.
- Morozov N.A., Sinelshchikova O.Y., Besprozvannykh N.V. et al. // Ibid № 5. P. 481.
- Tsyganov A., Vikulova M., Artyukhov D. et al. // Polymers (Basel). 2022. V. 14. № 19. P. 4010.
- Vikulova M., Nikityuk T., Artyukhov D. et al. // Polymers (Basel). 2022. V. 14. № 3. P. 448.
- Vikulova M., Tsyganov A., Bainyashev A. et al. // J. Appl. Polym. Sci. 2021. V. 138. № 40. P. 51 168.
- Zhang R., Li L., Long S. et al. // Ceram. Intern. 2021. V. 47. № 15. P. 22 155.
- Jena D.P., Mohanty B., Parida R.K. et al. // Mater. Chem. Phys. 2020. V. 243. P. 122 527.
- Jena D.P., Anwar S., Parida R.K. et al. // J. Mater. Sci. – Mater. Electron. 2021. V. 32. № 6. P. 8081.
- Mujal-Rosas R., Marin-Genesca M., Ballart-Prunell J. // Sci. Eng. Compos. Mater. 2015. V. 22. № 3. P. 231.
- Das S., Achary P.G.R., Nayak N.C. et al. // Polym. Compos. 2016. V. 37. № 12. P. 3398.
- Anithakumari P., Mandal B.P., Abdelhamid E. et al. // RSC Adv. 2016. V. 6. № 19. P. 16073.
- Jin Y., Xia N., Gerhardt R.A. // Nano Energy. 2016. V. 30. P. 407.
- Ou R., Gupta S., Parker C.A. et al. // J. Phys. Chem. B. 2006. V. 110. № 45. P. 22365.
Supplementary files






