Induced Optical Activity of Proflavine in Complex with DNA
- Авторлар: Poletaev A.I.1
-
Мекемелер:
- Semenov Federal Research Center for Chemical Physics, Russian Academy of Sciences,
- Шығарылым: Том 42, № 9 (2023)
- Беттер: 74-82
- Бөлім: Chemical physics of biological processes
- URL: https://bakhtiniada.ru/0207-401X/article/view/139955
- DOI: https://doi.org/10.31857/S0207401X23090091
- EDN: https://elibrary.ru/AEJRYJ
- ID: 139955
Дәйексөз келтіру
Толық мәтін
Аннотация
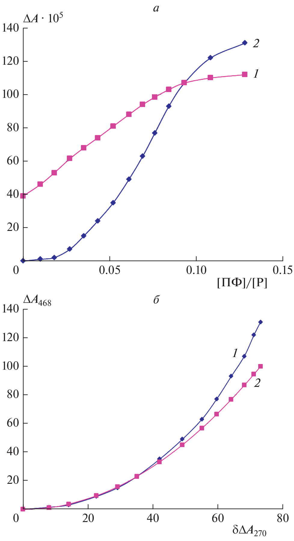
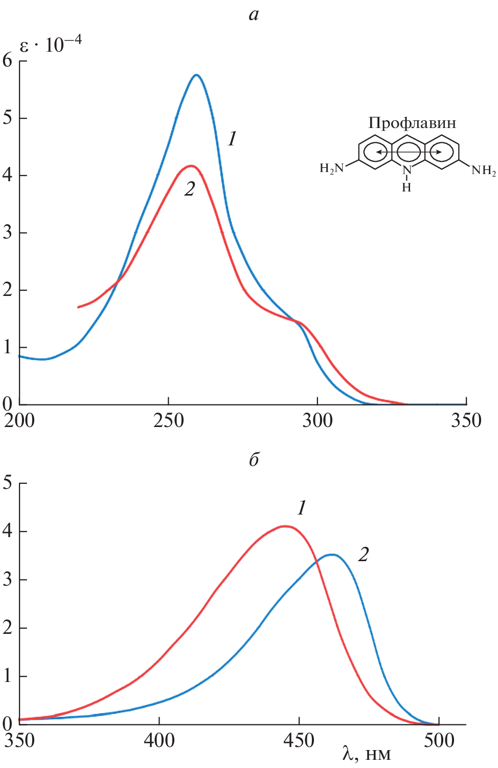
Proflavine (PF)—2,6-diaminoacridine—is a mutagen and, as one of the dyes of the acridine series, it is able to form complexes with DNA, which leads both to the appearance of optical activity in the long-wave absorption band of the dye and to a change in optical activity in the UV region of the spectrum, where the absorption of nitrogenous bases of DNA is observed. An experimental study of optical activity in the form of circular dichroism (CD) spectra shows that in the visible region of the spectrum, optical activity is caused by the exciton chromophore-chromophore interaction of dye molecules that have formed a complex with an asymmetric helical DNA molecule. The appearance of an additional CD in the UV region is related to the exciton interaction of short-wavelength optical transitions of dye molecules with similar frequencies of the UV transitions of nucleic bases. The decomposition of the CD spectra into components makes it possible to isolate the contribution from the interaction of long-wavelength dye transitions with the short-wavelength (UV) transitions of the neighboring chromophores. In particular, a contribution was found from the interaction of the magnetic transition moment of chromophores in higher vibrational states with the dipole transition moments of the neighboring chromophores. This previously undescribed effect is related to the violation of the symmetry plane of the aromatic system of the dye in higher vibrational states; it is absent in the region of the zero vibrational band. The constructed decomposition procedure makes it possible to separate from the total CD spectra the contributions of the optical interactions previously described theoretically, which potentially allows us to estimate the geometric parameters of the complex.
Авторлар туралы
A. Poletaev
Semenov Federal Research Center for Chemical Physics, Russian Academy of Sciences,
Хат алмасуға жауапты Автор.
Email: aip45@mail.ru
Moscow, Russia
Әдебиет тізімі
- Crick F.H., Barnett L., Brenner S. et al. // Nature. 1961. V. 192. P. 1227; https://doi.org/10.1038/1921227a0
- Стовбун С.В., Занин А.М., Скоблин А.А. и др. // Хим. физика. 2019. Т. 38. № 5. С. 54; https://doi.org/10.1134/S0207401X19040113
- Полетаев А.И. // Итоги науки и техники. Сер. “Молекулярная биология”. Т. 8. Ч. II. М.: ВИНИТИ, 1976. С. 180.
- Пронкин П.Г, Татиколов А.С. // Хим. физика. 2021. Т. 40. № 2. С. 3; https://doi.org/10.31857/S0207401X2102014X
- Терешкин Э.В., Терешкина К.Б., Коваленко В.В. и др. // Хим. физика. 2019. Т. 8. № 10. С. 48; https://doi.org/10.1134/S0207401X19100091
- Крупянский Ю.Ф. // Хим. физика. 2021. Т. 40. № 3. С. 60; https://doi.org/10.31857/S0207401X21030079
- Lerman L.S. // J. Mol. Biol. 1961. V. 3. P. 18.
- Lerman L.S. // Proc. Nat. Acad. Sci. USA. 1963. V. 49. P. 94.
- Гурский Г.В. // Биофизика. 1966. V. 11. P. 737.
- Ivanov V.I., Minchenkova L.E., Scholkina A.K. et al. // Biopolymers. 1973. V. 12. P. 89; https://doi.org/10.1002/bip.1973.360120109
- Rosenfeld L. // Z. Physik. 1928. V. 52. P. 161.
- Снатске Г. // Дисперсия оптического вращения и круговой дихроизм в органической химии. М.: Мир, 1970. С. 45.
- Kirkwood J.G. // J. Chem. Phys. 1937. V. 5. P. 479; https://doi.org/10.1063/1.1750060
- Tinoco I. // Adv. Chem. Phys. 1962. V. 4. P. 113.
- Moffitt W. // J. Chem. Phys. 1956. V. 25. P. 467.
- Woody R.W., Tinoco I. // Ibid. 1967. V. 46. P. 4927; https://doi.org/10.1063/1.1840658
- Tinoco I. // Rad. Res. 1963. V. 20. P. 133.
- Johnson W.C., Tinoco I. // Biopolymers. 1969. V. 7. P. 727; https://doi.org/10.1002/bip.1969.360080603
- Макаров В.Л., Полетаев А.И., Волькенштейн М.В. // Молекуляр. биология. 1977. Т. 11. С. 238.
- Kamiya M. // Biochim. Biophys. Acta. 1979. V. 562. P. 70; https://doi.org/10.1016/0005-2787(79)90127-8
- Kypr J., Kejnovska I., Renciuk D. et al. // Nucleic Acids Res. 2009. V. 37. P. 1713; https://doi.org/10.1093/nar/gkp026
- Schreibe R., Luong N., Fan Z. et al. // Nat. Commun. 2013. V. 4. P. 2948; https://doi.org/10.1038/ncomms3948
- Wang X., Tang Z. // Small. 2017. V. 13. P. 1601115; https://doi.org/10.1002/smll.201601115
- Shin S.W., Yuk J.S., Chun S.H. et al. // Nano Converg. 2020. V. 7. P. 2; https://doi.org/10.1186/s40580-019-0211-4
- Zimmer Ch., Wähnert U. // Prog. Biophys. Molec. Biol. 1986. V. 47. P. 31; https://doi.org/10.1016/0079-6107(86)90005-2
- Макаров В.Л., Полетаев А.И., Свешников П.Г. и др. // Молекуляр. биология. 1979. Т. 13. С. 450.
- Moore D.S., Wagner N.T. // Biopolymers. 1973. V. 12. № 1. P. 201; https://doi.org/10.1002/BIP.1974.360130512
- Langridge R., Marvin D.F., Seeds W.E. et al. // J. Mol. Biol. 1960. V. 2. P. 38; https://doi.org/10.1016/S0022-2836(60)80005-8
- Fuller W., Wilkins M.H.F., Wilson Y.R. et al. // Ibid. 1965. V. 12. P. 60; https://doi.org/10.1016/s0022-2836(65)80282-0
- Теренин А.Н. Фотоника молекул красителей и родственных органических соединений Л.: Наука, 1967.
- Франк-Каменецкий М.Д., Лукашин А.В. // Оптика и спектроскопия. 1971. Т. 30. С. 481.
- Иванов А.А., Пурецкий А.А., Лукашин А.В. и др. // Письма в ЖЭТФ. 1971. Т. 14. С. 419.
- Иванов А.А., Пурецкий А.А., Лукашин А.В. и др. // Оптика и спектроскопия. 1972. Т. 32. С. 481.
- Пермогоров В.И. // Молекуляр. биология. 1973. Т. 7. С. 20.
- Dalgleish D.G., Fujita H., Peacocke A.R. // Biopolimers. 1969. V. 8. P. 623; https://doi.org/10.1002/BIP.1969.360080506
- Преч Э., Бюльманн Ф., Аффольтер К. Определение строения органических соединений. Таблицы спектральных данных. М.: Мир, 2006.
Қосымша файлдар







