Исследование ионизационных процессов перед сильной ударной волной
- Авторы: Котов М.А.1,2, Козлов П.В.2, Осипенко К.Ю.1, Герасимов Г.Я.2, Левашов В.Ю.3, Быкова Н.Г.2, Забелинский И.Е.2
-
Учреждения:
- Институт проблем механики им. А.Ю. Ишлинского Российской академии наук
- Институт механики Московского государственного университета им. М.В. Ломоносова
- Институт механики МГУ им. М.В. Ломоносова
- Выпуск: Том 42, № 10 (2023)
- Страницы: 42-49
- Раздел: Горение, взрыв и ударные волны
- URL: https://bakhtiniada.ru/0207-401X/article/view/139943
- DOI: https://doi.org/10.31857/S0207401X23100084
- EDN: https://elibrary.ru/PFXYKU
- ID: 139943
Цитировать
Полный текст
Аннотация
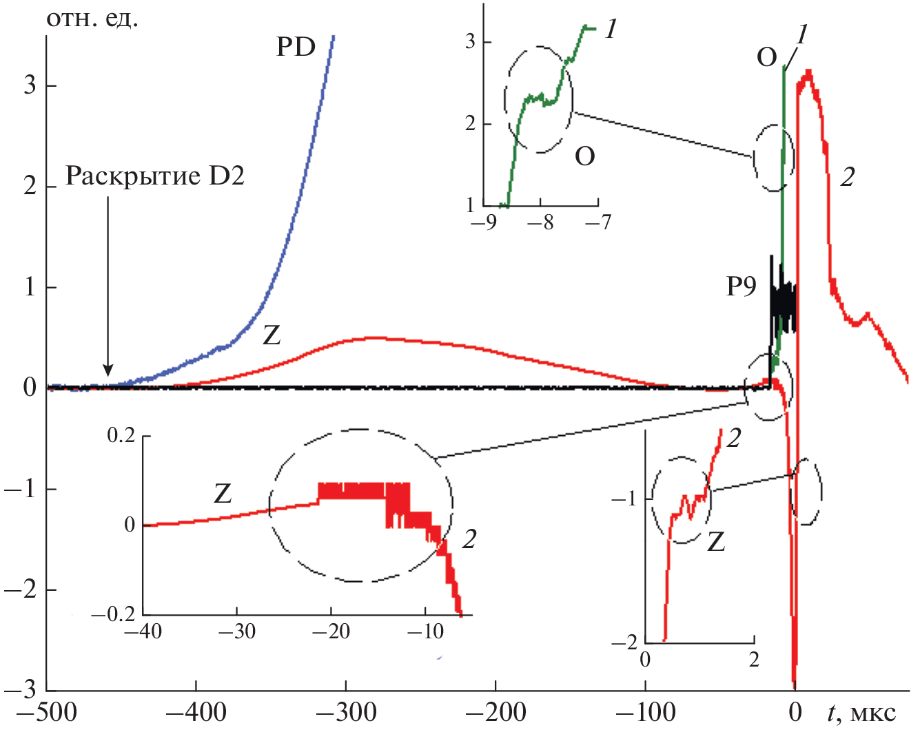
С помощью двухдиафрагменной ударной трубы DDST-M Института механики МГУ проведена серия зондовых измерений параметров низкотемпературной плазмы перед фронтом падающей ударной волны. В качестве рабочих газов использовали азот, кислород, воздух и аргон. Полученные результаты позволяют описать процессы фотоэффекта и фотоионизации частиц исследуемого газа за счет жесткого излучения от ударно-нагретой среды и оценить влияние этих процессов на изменение потенциала зонда. Зондовые измерения синхронизированы с регистрацией светового потока, которая осуществлялась с использованием лавинного фотодиода и 9-кадровой видеокамеры К011, расположенных в торце ударной трубы. Данные с камеры и пьезоэлектрические датчики регистрируют динамику открытия диафрагмы, а также процесс формирования ударной волны в исследуемом газе.
Ключевые слова
Об авторах
М. А. Котов
Институт проблем механики им. А.Ю. Ишлинского Российской академии наук; Институт механики Московского государственного университета им. М.В. Ломоносова
Email: kotov@ipmnet.ru
Россия, Москва; Россия, Москва
П. В. Козлов
Институт механики Московского государственного университета им. М.В. Ломоносова
Email: kotov@ipmnet.ru
Россия, Москва
К. Ю. Осипенко
Институт проблем механики им. А.Ю. Ишлинского Российской академии наук
Email: kotov@ipmnet.ru
Россия, Москва
Г. Я. Герасимов
Институт механики Московского государственного университета им. М.В. Ломоносова
Email: kotov@ipmnet.ru
Россия, Москва
В. Ю. Левашов
Институт механики МГУ им. М.В. Ломоносова
Email: levashovvy@imec.msu.ru
Россия, Москва
Н. Г. Быкова
Институт механики Московского государственного университета им. М.В. Ломоносова
Email: kotov@ipmnet.ru
Россия, Москва
И. Е. Забелинский
Институт механики Московского государственного университета им. М.В. Ломоносова
Автор, ответственный за переписку.
Email: kotov@ipmnet.ru
Россия, Москва
Список литературы
- Kapper M.G., Cambier J.-L. // J. Appl. Phys. 2011. V. 109. № 113308.
- Суржиков С.Т. // Хим. физика. 2010. Т. 29. № 7. С. 48.
- Nomura S., Lemal A., Kawakami T., Fujita K. // AIAA Paper. № 2018-0741.
- Johnston C.O., Mazaheri A., Gnoffo P. et al. // AIAA Paper. № 2011-3145.
- Brandis A., Johnston C., Cruden B., Prabhu D., Bose D. // J. Thermophys. Heat Transf. 2015. V. 29. P. 209.
- Горелов В.А., Киреев А.Ю. // Физ.-хим. кинетика в газ. динамике. 2014. Т. 15. № 1. С. 1.
- Зельдович Я.Б., Райзер Ю.П. Физика ударных волн и высокотемпературных гидродинамических явлений. М.: Физматлит, 2008.
- Власов П.А., Смирнов В.Н., Тереза А.М. // Хим. физика. 2016. Т. 35. №. 6. С. 35.
- Weymann H.D. // Phys. Fluids. 1969. V. 12. P. 1193.
- Kim M., Gülhan A., Boyd I.D. // J. Thermophys. Heat Transf. 2012. V. 26. P. 244.
- Weymann H.D. // Phys. Fluids. 1960. V. 3. P. 545.
- Holmes L.B., Weymann H.D. // Phys. Fluids. 1969. V. 12. P. 1200.
- Горелов В.А., Кuльдюшова Л.А., Чернышев В.М. // Уч. записки ЦАГИ. 1977. Т. 8. № 6. С. 49.
- Nomura S., Kawakami T., Fujita K. // J. Thermophys. Heat Transf. 2021. V. 35. P. 518.
- Ступоченко Е.В., Лосев С.А., Осипов А.И. Релаксационные процессы в ударных волнах. М.: Наука, 1965.
- Demidov V.I., Ratynskaia S.V., Rypdal K. // Rev. Sci. Instrum. 2002. V. 73. P. 3409.
- Забелинский И.Е., Козлов П.В., Акимов Ю.В. и др. // Хим. физика. 2021. Т. 40. № 11. С. 22.
- Campbell M.F., Parise T., Tulgestke A.M., Spearrin R.M., Davidson D.F., Hanson R.K. // Shock Waves. 2015. V. 25 P. 651.
- Wilson R. // J. Appl. Phys. 1966. V. 37. P. 2261.
- Wilson R. // J. Appl. Phys. 1966. V. 37. P. 3161.
- Prutton M. Introduction to surface physics. Oxford: University Press, 1994.
- Рухляда Н.Я., Вишератин Р.К. // Вопр. ат. науки и техники. Сер.: “Ядерно-реакторные константы”. 2014. № 2. С. 95.
- Lemmon E., Huber M.L., McLinden M.O. NIST standard reference database 23: Reference fluid thermodynamic and transport properties-REFPROP. Ver. 8.0. Gaithersburg: NIST, 2007.
- Colonna G., Capitelli M., Laricchiuta A. Hypersonic meteoroid entry physics. IOP Publishing, 2019.
- Watabene K., Zelikoff M. // J. Opt. Soc. Amer. 1953. V. 43. P. 753.
- Thompson B.A., Harchek P., Reeves R.R., Jr. // J. Geophys. Res. 1963. V. 68. P. 6431.
- Макогон М.М. // Оптика атмосферы и океана. 2001. Т. 14. № 9. С. 764.
- Patterson E.M., Gillespie J.B. // Appl. Optics. 1989. V. 28. P. 425.
- Generalov N.A., Losev S.A. // J. Quant. Spectrosc. Radiat. Transf. 1966. V. 6. P. 101.
- Душин В.К., Забелинский И.Е., Шаталов О.П. // ЖПС. 1983. Т. 39. № 3. С. 440.
- Зуев А.П., Стариковский А.Ю. // ЖПС. 1990. Т. 52. № 3. С. 455.
- Забелинский И.Е., Быкова Н.Г., Ибрагимова Л.Б., Кузнецова Л.А., Шаталов О.П. // Физ.-хим. кинетика в газ. динамике. 2004. Т. 2. № 1. С. 1.
- Левашов В.Ю., Козлов П.В., Быкова Н.Г., Забелинский И.Е. // Хим. физика. 2021. Т. 40. № 1. С. 16.
- Fujita K., Matsuda A., Sato S., Abe T. // Rarefied Gas Dynamics: 22nd Intern. Sympos. IOP Publ., 2001. P. 780.
- Fujita K., Sato S., Abe T., Matsuda A. // AIAA Paper. № 2001-2765.
- Yamada G., Ago S., Kawazoe H., Obayashi S. // J. Fluid Sci. Technol. 2014. V. 9. № 5. P. 70.
Дополнительные файлы











