Composite Aerogels Based on Reduced Graphene Oxide Decorated with Iron Oxide Nanoparticles: Synthesis, Physicochemical and Sorption Properties
- Autores: Neskoromnaya E.A.1, Babkin A.V.2, Zakharchenko E.A.1, Morozov Y.G.3, Kabachkov E.N.4, Shulga Y.M.4
-
Afiliações:
- Vernadsky Institute of Geochemistry and Analytical Chemistry, Russian Academy of Sciences
- Department of Chemistry, Moscow State University
- Merzhanov Institute of Structural Macrokinetics and Materials Science, Russian Academy of Sciences
- Federal Research Center of Problems of Chemical Physics and Medicinal Chemistry, Russian Academy of Sciences
- Edição: Volume 42, Nº 7 (2023)
- Páginas: 41-49
- Seção: XXXIV СИМПОЗИУМ “СОВРЕМЕННАЯ ХИМИЧЕСКАЯ ФИЗИКА” (СЕНТЯБРЬ 2022 г., ТУАПСЕ)
- URL: https://bakhtiniada.ru/0207-401X/article/view/139941
- DOI: https://doi.org/10.31857/S0207401X23070130
- EDN: https://elibrary.ru/YFHLEQ
- ID: 139941
Citar
Texto integral
Resumo
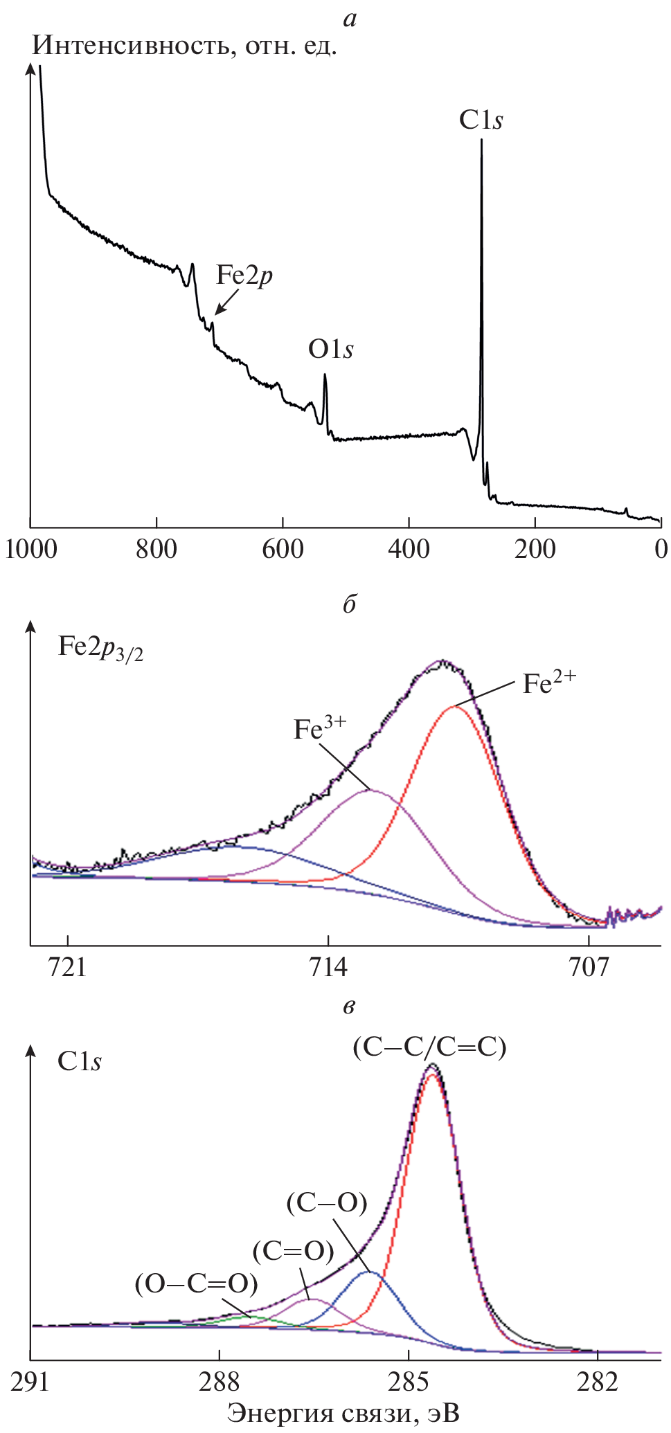
In this study, aerogels based on graphene oxide decorated with iron oxide nanoparticles are obtained by drying in supercritical isopropanol. For the synthesized samples with the calculated initial iron contents of 9, 18 and 36 wt %, the morphology and structure of the graphene matrix and iron-containing nanoparticles are studied using the scanning electron microscopy (SEM) and transmission electron microscopy (TEM) methods. Comparative investigations are conducted to analyze the carbon and hydrogen composition within the synthesized aerogels structure, followed by an assessment of their magnetic properties at ambient temperature. Sorption experiments are carried out for the extraction of heavy and rare earth elements from multicomponent aqueous solutions of a complex composition.
Palavras-chave
Sobre autores
E. Neskoromnaya
Vernadsky Institute of Geochemistry and Analytical Chemistry, Russian Academy of Sciences
Email: A.V.Babkin93@yandex.ru
Moscow, Russia
A. Babkin
Department of Chemistry, Moscow State University
Email: A.V.Babkin93@yandex.ru
Moscow, Russia
E. Zakharchenko
Vernadsky Institute of Geochemistry and Analytical Chemistry, Russian Academy of Sciences
Email: A.V.Babkin93@yandex.ru
Moscow, Russia
Yu. Morozov
Merzhanov Institute of Structural Macrokinetics and Materials Science, Russian Academy of Sciences
Email: A.V.Babkin93@yandex.ru
Chernogolovka, Russia
E. Kabachkov
Federal Research Center of Problems of Chemical Physics and Medicinal Chemistry, Russian Academy of Sciences
Email: A.V.Babkin93@yandex.ru
Chernogolovka, Russia
Yu. Shulga
Federal Research Center of Problems of Chemical Physics and Medicinal Chemistry, Russian Academy of Sciences
Autor responsável pela correspondência
Email: A.V.Babkin93@yandex.ru
Chernogolovka, Russia
Bibliografia
- Häder D.-P., Banaszak A.T., Villafañe V.E. et al. // Sci. Total Environ. 2020. V. 713. P. 136586; https://doi.org/10.1016/j.scitotenv.2020.136586
- Thompson L.A., Darwish W.S. // J. Toxicol. 2019. V. 2019. P. 2345283; https://doi.org/10.1155/2019/2345283
- Boretti A., Rosa L. // npj Clean Water. 2019. V. 2. P. 15; https://doi.org/10.1038/s41545-019-0039-9
- Конькова Т.В., Гордиенко М.Г., Меньшутина Н.В. и др. // Сверхкритические флюиды: теория и практика. 2017. Т. 12. № 3. С. 32.
- Ali I., Neskoromnaya E.A., Melezhik A.V. et al. J. Porous. Mater. 2022. V. 29. P. 545; https://doi.org/10.1007/s10934-021-01175-0
- Liu H., Qiu H. // Chem. Eng. J. 2020. V. 393. P. 124 691; https://doi.org/10.1016/j.cej.2020.124691
- Вальчук Н.А., Бровко О.С., Паламарчук И.А. и др. // Сверхкритические флюиды: теория и практика. 2018. Т. 13. № 3. С. 83; https://doi.org/10.34984/SCFTP.2018.13.3.009
- Zhang X., Zhou J., Zheng Y., Wei H., Su Z. // Chem. Eng. J. 2021. V. 420. Part 1. P. 129700; https://doi.org/10.1016/j.cej.2021.129700
- Neskoromnaya E.A., Burakov A.E., Melezhik A.V. et al. // Inorg. Mater. Appl. Res. 2020. V. 11. № 2. P. 467; https://doi.org/10.1134/S2075113320020264
- Guo H., Jiao T., Zhang Q. et al. // Nanoscale Res. Lett. 2015. V. 10. P. 272; https://doi.org/10.1186/s11671-015-0931-2
- Huong P., Tu N., Lan H. et al. // RSC Adv. 2018. Issue 22. P. 12 376; https://doi.org/10.1039/C8RA00270C
- Wang S., Ning H., Hu N. et al. // Composites, Part B. 2019. V. 163. P. 716; https://doi.org/10.1016/j.compositesb.2018.12.140
- Abd-Elhamid A.I., Kamoun E.A., El-Shanshory A.A. // Mol. Liq. 2019. V. 279. P. 530; https://doi.org/10.1016/j.molliq.2019.01.162
- Губин С.П., Буслаева Е.Ю. // Сверхкритические флюиды: теория и практика. 2009. Т. 4. № 4. С. 73.
- Neskoromnaya E.A., Khamizov R.K., Melezhyk A.V. et al. // Colloids Surf., A. 2022. V. 655. P. 130224; https://doi.org/10.1016/j.colsurfa.2022.130224
- Shul’ga Yu.M., Kabachkov E.N. et al. // Russ. J. Phys. Chem. A. 2019. V. 93(2). P. 296; https://doi.org/10.1134/S0036024419010278
- Thakur A., Kumar S., Rangra V.S. // Proc. AIP Conf. 2015. V. 1661. P. 080032; https://doi.org/10.1063/1.4915423
- Khandare L., Late D.J. // Appl. Surf. Sci. 2017. V. 418. Part A. P. 2; https://doi.org/10.1016/j.apsusc.2016.11.199
- Khamboonrueang D. et al. // Mater. Res. Bull. 2018. V. 107. P. 236.
- Paganin V.A., Ticianelli E.A., Gonzalez E.R. // J. Appl. Elecrochem. 1996. V. 26. P. 297.
- Lv P., Tang X., Zheng R. et al. // Nanoscale Res. Lett. 2017. V. 12. P. 630; https://doi.org/10.1186/s11671-017-2395-z
- Aliahmad M., Nasiri Moghaddam N. // Mater. Sci-Pol. 2013. V. 31. № 264; https://doi.org/10.2478/s13536-012-0100-6
- Shulga Y.M., Melezhik A.V., Kabachkov E.N. et al. // Appl. Phys. A: Mater. Sci. Process. 2019. V. 125. P. 460.
- Ravi T., Sundararaman S. // Russ. J. Phys. Chem. B. 2021. V. 15. P. 462; https://doi.org/10.1134/S1990793121030295
- Lei Y., Chen F., Luo Y. et al. // J. Mater. Sci. 2014. V. 49. P. 4236; https://doi.org/10.1007/s10853-014-8118-2
- Chen W., Li S., Chen C., Yan L. // Adv. Mater. 2011. V. 23. Issue 47. P. 5679; https://doi.org/10.1002/adma.201102838
- Wang T., Zhang L., Wang H. et al. // ACS Appl. Mater. Interfaces. 2013. V. 5. № 23. P. 12449; https://doi.org/10.1021/am403533v
- Kumar S., Nair R.R., Pillai P.B. et al. Ibid. 2014. V. 6. № 20. P. 17426; https://doi.org/10.1021/am504826q
Arquivos suplementares








