Effects of Gas Flowing around the Energy Release Zone during Laser Combustion Wave Propagation
- Авторлар: Kotov M.A.1, Lavrentyev S.Y.1, Solovyov N.G.1, Shemyakin A.N.1, Yakimov M.Y.1
-
Мекемелер:
- Ishlinsky Institute for Problems in Mechanics, Russian Academy of Sciences
- Шығарылым: Том 42, № 8 (2023)
- Беттер: 45-55
- Бөлім: Combustion, explosion and shock waves
- URL: https://bakhtiniada.ru/0207-401X/article/view/139937
- DOI: https://doi.org/10.31857/S0207401X23080071
- EDN: https://elibrary.ru/IGRDDN
- ID: 139937
Дәйексөз келтіру
Толық мәтін
Аннотация
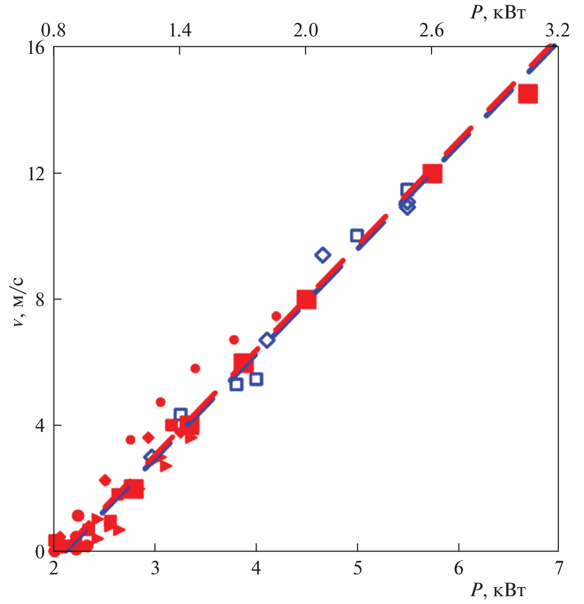
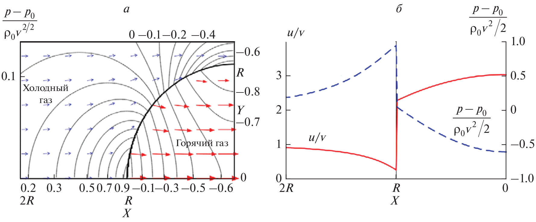
The reasons for the observed propagation velocities of stationary laser-supported combustion (LSC) waves in laser plasmatron scheme in argon and air to exceed the calculated ones in assumption of heat-conductive propagation mechanism are considered. Earlier obtained analytical solution of the hydrodynamic problem of flowing around model low density heated gas volume with step-like spherical boundary is used for interpretation experimental results. It is shown that when laser power is 2–3 times above LSC threshold power heat-conductive mechanism with correction factor predicted by the model gives satisfying description of the LSC wave velocities observed. At higher laser power radiative heat transfer factor should be taken into account. It is shown that flowing around spherical hot gas boundary model can also be applied to describe gas flow in thermal gravitational convection around continuous optical discharge (COD). An estimate is given for the pulsation frequency of the convective plume from COD, leading to the similarity relation common for optical discharges and flickering flames.
Негізгі сөздер
Авторлар туралы
M. Kotov
Ishlinsky Institute for Problems in Mechanics, Russian Academy of Sciences
Email: kotov@ipmnet.ru
Moscow, Russia
S. Lavrentyev
Ishlinsky Institute for Problems in Mechanics, Russian Academy of Sciences
Email: kotov@ipmnet.ru
Moscow, Russia
N. Solovyov
Ishlinsky Institute for Problems in Mechanics, Russian Academy of Sciences
Email: kotov@ipmnet.ru
Moscow, Russia
A. Shemyakin
Ishlinsky Institute for Problems in Mechanics, Russian Academy of Sciences
Email: kotov@ipmnet.ru
Moscow, Russia
M. Yakimov
Ishlinsky Institute for Problems in Mechanics, Russian Academy of Sciences
Хат алмасуға жауапты Автор.
Email: kotov@ipmnet.ru
Moscow, Russia
Әдебиет тізімі
- Бункин Ф.В., Конов В.И., Прохоров А.М., Федоров В.Б. // Письма в ЖЭТФ. 1969. Т. 9. С. 609.
- Райзер Ю.П. // Письма в ЖЭТФ. 1970. Т. 11. С. 195.
- Генералов Н.А., Зимаков В.П., Козлов Г.И., Масюков В.А., Райзер Ю.П. // Там же. С. 447.
- Козлов Г.И. // Письма в ЖТФ. 1978. Т. 4. Выпуск 10. С. 586.
- Baranowski A., Mucha Z., Peradzynski Z. // Bull. Acad. Pol. Sci., Sci. Tech. 1977. V. 25. № 4. P. 361.
- Lavrentyev S.Yu., Solovyov N.G., Shemyakin A.N., Yakimov M.Yu. // J. Phys.: Conf. Ser. 2019. V. 1394. Article 012012.
- Kotov M.A., Lavrentyev S.Yu., Solovyov N.G., Shemyakin A.N., Yakimov M.Yu. // Plasma Sources Sci. Technol. 2022. V. 31. P. 124002; https://doi.org/10.1088/1361-6595/aca42f
- Генералов Н.А., Захаров А.М., Косынкин В.Д., Якимов М.Ю. // Физика горения и взрыва. 1986. Т. 22. № 2. С. 91.
- Котов М.А., Козлов П.В., Герасимов Г.Я., Левашов В.Ю. и др. // Хим. физика. 2022. Т. 41. № 8. С. 31.
- Герасимов Г.Я., Козлов П.В., Забелинский И.Е., Быкова Н.Г., Левашов В.Ю. // Хим. физика. 2022. Т. 41. № 8. С. 17.
- Тереза А.М., Агафонов Г.Л., Андержанов Э.К., Бетев А.С., Медведев С.П. и др. // Хим. физика. 2022. Т. 41. № 8. С. 66.
- Гуськов К.Г., Райзер Ю.П., Суржиков С.Т. // Квантовая электрон. 1990. Т. 17. № 7. С. 937.
- Буфетов И.А., Прохоров A.М., Федоров В.Б., Фомин В.К. // Там же. 1983. Т. 10. № 9. С. 1817; https://doi.org/10.1070/QE1983v013n09ABEH004612
- Райзер Ю.П. Физика газового разряда. М.: Наука, 1987.
- Райзер Ю.П. Лазерная искра и распространение разрядов. М.: Наука, 1974.
- Райзер Ю.П. // УФН. 1980. Т. 132. № 3. С. 549; https://doi.org/10.1070/PU1980v023n11ABEH005064
- Райзер Ю.П., Силантьев А.Ю., Суржиков С.Т. // Теплофизика высоких температур. 1987. Т. 25. № 3. С. 454.
- Герасименко М.В., Козлов Г.И., Кузнецов В.А. // Квантовая электрон. 1983. Т. 10. № 4. С. 709.
- Зимаков В.П., Кузнецов В.А., Кедров А.Ю., Соловьев Н.Г., Шемякин А.Н., Якимов М.Ю. // Квантовая электрон. 2009. Т. 39. № 9. С. 797.
- Jeng S.-M., Keefer D.R., Welle R., Peters C.E. // AIAA Journal. 1987. V. 25. № 9. P. 1224.
- Суржиков С.Т. // Квантовая электрон. 2000. Т. 30. № 5. С. 416; https://doi.org/10.1070/QE2000v030n05ABEH001720
- Raizer Yu. P., Surzhikov S.T. // AIAA–95–1999;
- Szymanski Z., Peradzynski Z., Kurzyna J. // J. Phys. D: Appl. Phys. 1994. V. 27. P. 2074.
- Fowler M.C., Smith D.C. // J. Appl. Phys. 1975. V. 46. P. 138.
- Jackson J.P., Nielsen P.E. // AIAA J. 1974. V. 12. P. 1498.
- Holder D.W., North R.J. Schlieren Methods. London: H.M. Stationery Off., 1963.
Қосымша файлдар







