Резонансные и аномальные структуры спектров ассоциативной ионизации с участием ридберговских атомов
- Авторы: Голубков Г.В.1,2, Безуглов Н.Н.3, Ключарев А.Н.3, Голубков М.Г.1
-
Учреждения:
- Федеральный исследовательский центр химической физики им. Н.Н. Семёнова Российской академии наук
- Национальный исследовательский центр “Курчатовский институт”
- Санкт-Петербургский государственный университет
- Выпуск: Том 42, № 10 (2023)
- Страницы: 3-15
- Раздел: Элементарные физико-химические процессы
- URL: https://bakhtiniada.ru/0207-401X/article/view/139927
- DOI: https://doi.org/10.31857/S0207401X23100060
- EDN: https://elibrary.ru/SDBZXY
- ID: 139927
Цитировать
Полный текст
Аннотация
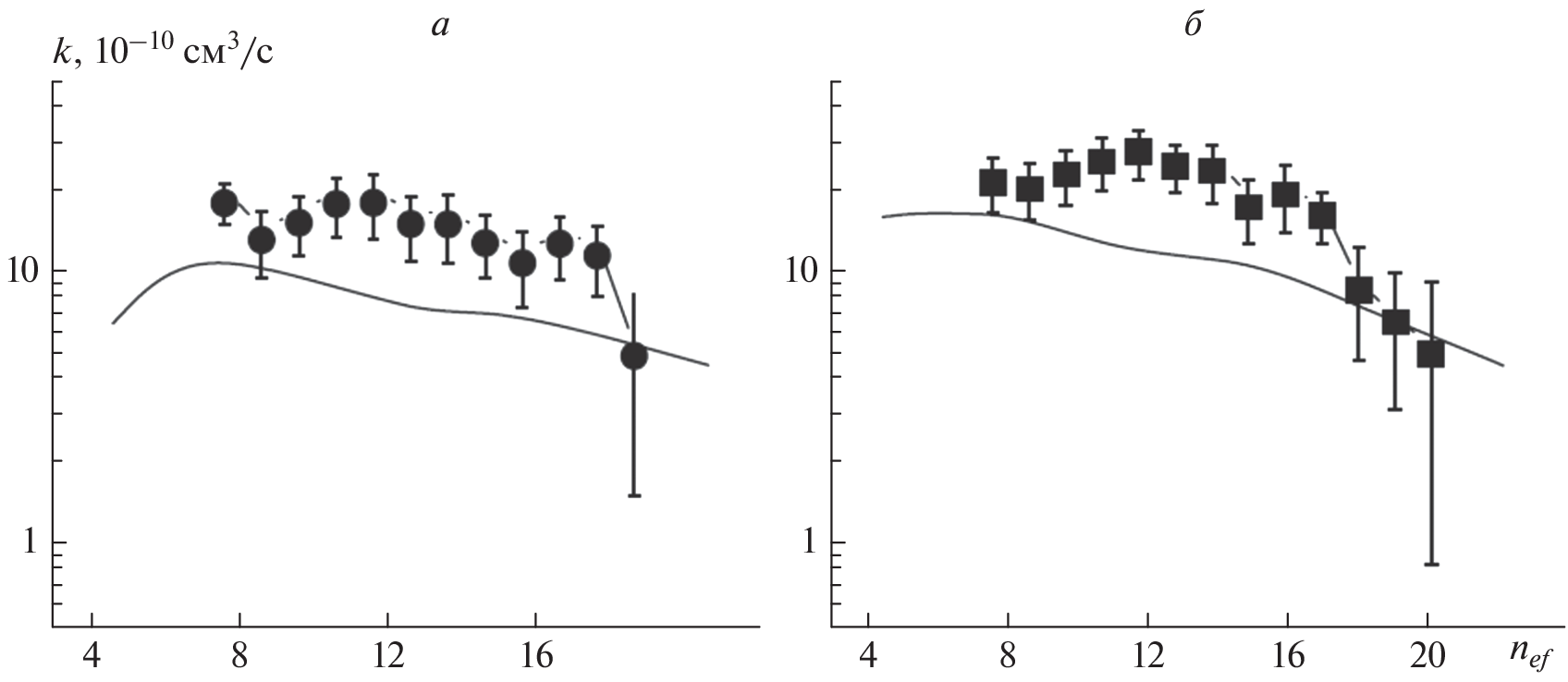
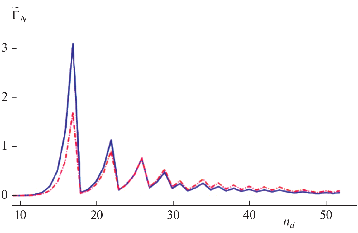
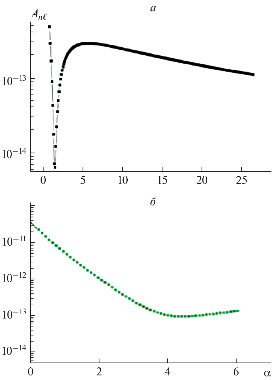
В рамках стохастического подхода выполнен анализ особенностей резонансной и аномальной структур спектров ассоциативной ионизации (АИ) для случая дипольно-дипольного взаимодействия ридберговских атомов. Использование такого подхода позволяет количественно описать реакцию АИ с образованием положительно заряженного молекулярного иона. Обнаружено, что эффективность несимметричных процессов ионизации для оже-переходов может на порядки превышать эффективность симметричных. Обсуждена важная роль этого явления для развития современных квантовых прикладных исследований и представлений о процессах ионизации, протекающих в ионосфере. Полученные результаты могут быть использованы для решения ряда принципиальных проблем физики плазмы ионосферы. Особенно это касается эффекта “временной задержки” сигналов глобальных навигационных спутниковых систем (ГНСС), что, в свою очередь, существенно влияет на устойчивость работы ГНСС и дистанционное зондирование поверхности Земли.
Об авторах
Г. В. Голубков
Федеральный исследовательский центр химической физики им. Н.Н. Семёнова Российской академии наук; Национальный исследовательский центр “Курчатовский институт”
Email: golubkov@chph.ras.ru
Россия, Москва; Россия, Москва
Н. Н. Безуглов
Санкт-Петербургский государственный университет
Email: golubkov@chph.ras.ru
Россия, Санкт-Петербург
А. Н. Ключарев
Санкт-Петербургский государственный университет
Email: golubkov@chph.ras.ru
Россия, Санкт-Петербург
М. Г. Голубков
Федеральный исследовательский центр химической физики им. Н.Н. Семёнова Российской академии наук
Автор, ответственный за переписку.
Email: golubkov@chph.ras.ru
Россия, Москва
Список литературы
- Klucharev A.N., Vujnović V. // Phys. Rep. 1990. V. 185. № 2. P. 55; https://doi.org/10.1016/0370-1573(90)90112-F
- Ключарев А.Н. // УФН. 1993. Т. 163. № 6. С. 39; https://doi.org/10.3367/UFNr.0163.199306b.0039
- Golubkov G.V., Golubkov M.G., Manzhelii M.I. et al. // The Atmosphere and Ionosphere: Elementary Processes, Monitoring, and Ball Lightning / Eds. Bychkov V.L., Golubkov G.V., Nikitin A.I. N.Y.: Springer, 2014. P. 1; https://doi.org/10.1007/978-3-319-05239-7_1
- Фриш С.Э. // УФН. 1957. Т. 61. № 4. С. 461; https://doi.org/10.3367/UFNr.0061.195704a.0461
- Безуглов Н.Н., Голубков Г.В., Ключарев А.Н. Проявления “динамического хаоса” в реакциях с участием ридберговских состояний. СПб.: Изд-во Санкт-Петербургского ГУ, 2017.
- Табор М. Хаос и интегрируемость в нелинейной динамике. М.: УРСС, 2001.
- Ключарев А.Н., Безуглов Н.Н. Элементарные процессы и ионизационные явления в газовых средах. СПб.: Изд-во Санкт-Петербургского ГУ, 2013.
- Fermi E. // Nuovo Cim. 1934. V. 11. № 3. P. 157; https://doi.org/10.1007/BF02959829
- Голубков Г.В., Девдариани А.З. // Хим. физика. 2011. Т. 30. № 11. С. 16.
- Алексеев В.А., Собельман И.И. // ЖЭТФ. 1966. Т. 49. Вып. 4. С. 1274.
- Мазинг М.А., Врублевская Н.А. // ЖЭТФ. 1966. Т. 50. Вып. 2. С. 343.
- Ключарев А.Н., Лазаренко А.В. // Оптика и спектроскопия. 1980. Т. 48. № 2. С. 412.
- Golubkov G.V, Ivanov G.K. // J. Phys. B: At., Mol. Opt. Phys. 1988. V. 21. № 11. P. 2049; https://doi.org/10.1088/0953-4075/21/11/019
- Golubkov M.G., Ozerov G.K., Adamson S.O. et al. // Chem. Phys. 2015. V. 462. P. 28; https://doi.org/10.1016/j.chemphys.2015.07.037
- Голубков Г.В., Иванов Г.К., Голубков М.Г. // Хим. физика. 2005. Т. 24. № 6. С. 3.
- Голубков Г.В., Иванов Г.К. // Хим. физика. 2003. Т. 22. № 10. С. 25.
- Reetz-Lamour M. Amthor T., Deiglmayr J. et al. // Fortschritte der Phys. 2006. V. 54. № 8–10. P. 776; https://doi.org/10.1002/prop.200610318
- Djerad M.T., Harima H., Cheret M. // J. Phys. B: At., Mol. Opt. Phys. 1985. V. 18. № 23. P. L815; https://doi.org/10.1088/0022-3700/18/23/004
- Девдариани А.З., Ключарев А.Н., Пенкин Н.П. и др. // Оптика и спектроскопия. 1988. Т. 64. № 3. С. 706.
- Безуглов Н.Н., Бородин В.М., Ключарев А.Н. и др. // Оптика и спектроскопия. 1997. Т. 82. № 3. С. 368.
- Chirikov B.V. // Phys. Rep. 1979. V. 52. № 5. P. 263; https://doi.org/10.1016/0370-1573(79)90023-1
- Орловский К.В., Безуглов Н.Н., Бородин В.М. и др. // Оптика и спектроскопия. 2001. Т. 91. № 1. С. 25.
- Beterov I.I., Tretyakov D.B., Ryabtsev I.I. et al. // J. Phys. B: At., Mol. Opt. Phys. 2005. V. 38. № 24. P. 4349; https://doi.org/10.1088/0953-4075/38/24/002
- Miculis K., Beterov I.I, Bezuglov N.N. et al. // J. Phys. B: At., Mol. Opt. Phys. 2005. V. 38. № 11. P. 1811; https://doi.org/10.1088/0953-4075/38/11/020
- Ефимов Д.К., Безуглов Н.Н., Ключарев А.Н. и др. // Оптика и спектроскопия. 2014. Т. 117. № 6. С. 888; https://doi.org/10.7868/S003040341412006X
- Chu S.I., Telnov D.A. // Phys. Rep. 2004. V. 390. № 1–2. P. 1; https://doi.org/10.1016/j.physrep.2003.10.001
- Hairer E. Numerical geometric integration. Geneve: Universite de Geneve, 1999.
- Ландау Л., Лифшиц Е.М. Квантовая механика. Нерелятивистская теория. М.: Физматлит, 2002.
- Arefieff K.N., Miculis K., Bezuglov N.N. et al. // J. Astrophys. Astron. 2015. V. 36. № 4. P. 613; https://doi.org/10.1007/s12036-015-9358-5
- Арнольд В.И. Математические методы классической механики. М.: Наука, 1974.
- Walker T.G., Saffman M. // J. Phys. B: At., Mol. Opt. Phys. 2005. V. 38. № 2. P. S309; https://doi.org/10.1088/0953-4075/38/2/022
- Безуглов Н.Н., Борисов Е.И., Веролайнен Я.Ф. // УФН. 1991. Т. 161. № 1. С. 3; https://doi.org/10.3367/UFNr.0161.199101a.0003
- Зоммерфельд А. Строение атома и спектры. М.: Гостехиздат, 1956.
- Захаров М.Ю., Безуглов Н.Н., Ключарев А.Н. и др. // Хим. физика. 2011. Т. 30. № 7. С. 3.
- Pillet P., Gallagher T.F. // J. Phys. B: At., Mol. Opt. Phys. 2016. V. 49. № 17. 174003; https://doi.org/10.1088/0953-4075/49/17/174003
- Безуглов Н.Н., Бородин В.М., Ключарев А.Н. и др. // Оптика и спектроскопия. 1995. Т. 79. № 5. С. 738.
- Zalam A.A., Bruvelis M., Miculis K. et al. // J. Phys. B: At., Mol. Opt. Phys. 2021. V. 54. № 6. 065201; https://doi.org/10.1088/1361-6455/abd9fe
- Бородин В.М., Добролеж Б.В., Ключарев А.Н. и др. // Оптика и спектроскопия. 1995. Т. 78. № 1. С. 20.
- Efimov D.K., Miculis K., Bezuglov N.N. et al. // J. Phys. B: At., Mol. Opt. Phys. 2016. V. 49. № 12. 125302; https://doi.org/10.1088/0953-4075/49/12/125302
- Безуглов Н.Н., Бородин В.М., Ключарев А.Н. и др. // Оптика и спектроскопия. 1999. Т. 86. № 6. С. 922.
- McGeoch M.W., Schlier R.E., Chawla G.K. // Phys. Rev. Lett. 1988. V. 61. № 18. P. 2088; https://doi.org/10.1103/PhysRevLett.61.2088
- Смирнов Б.М., Фирсов О.Б. // Письма в ЖЭТФ. 1965. Т. 2. № 3. С. 478.
- Голубков Г.В., Голубков М.Г., Манжелий М.И. // Хим. физика. 2012. Т. 31. № 2. С. 31.
- Голубков Г.В., Манжелий М.И., Берлин А.А. и др. // Хим. физика. 2021. Т. 40. № 3. С. 86; https://doi.org/10.31857/S0207401X21030055
- Su S.-Y., Tsai L.-C., Liu C.H. et al. // Adv. Space Res. 2019. V. 64. № 10. P. 2137; https://doi.org/10.1016/j.asr.2019.06.039
- Голубков Г.В., Манжелий М.И., Берлин А.А. и др. // Хим. физика. 2016. Т. 35. № 1. С. 5; https://doi.org/10.7868/S0207401X16010039
- Голубков Г.В., Куверова В.В., Озеров Г.К. и др. // Хим. физика. 2017. Т. 36. № 12. С. 12; https://doi.org/10.7868/S0207401X17120093
- Уманский С.Я., Адамсон С.О, Ветчинкин А.С. и др. // Хим. физика. 2023. Т. 42. № 4. С. 31; https://doi.org/10.31857/S0207401X23040143
- Kuverova V.V., Adamson S.O., Berlin A.A. et al. // Adv. Space Res. 2019. V. 64. № 10. P. 1876; https://doi.org/10.1016/j.asr.2019.05.041
- Farrah D., Smith K.E., Ardila D. et al. // J. Astron. Telesc. Instrum. Syst. 2019. V. 5. № 2. 020901; https://doi.org/10.1117/1.jatis.5.2.020901
- Родионов А.И., Родионов И.Д., Родионова И.П. и др. // Хим. физика. 2021. Т. 40. № 10. С. 61; https://doi.org/10.31857/S0207401X21100113
- Голубков Г.В., Манжелий М.И., Эппельбаум Л.В. // Хим. физика. 2018. Т. 37. № 5. С. 63; https://doi.org/10.7868/S0207401X18050084
- Голубков Г.В., Адамсон С.О., Борчевкина О.П. и др. // Хим. физика. 2022. Т. 41. № 5. С. 53.; https://doi.org/10.31857/S0207401X22050053
- Nesterov I.A., Kunitsyn V.E. // Adv. Space Res. 2011. V. 47. № 10. P. 1789; https://doi.org/10.1016/j.asr.2010.11.034
- Jin S., Park J.U., Wang J.L. et al. // J. Navig. 2006. V. 59. № 3. P. 395; https://doi.org/10.1017/S0373463306003821
- Безуглов Н.Н., Ключарев А.Н., Стасевич Т. // Оптика и спектроскопия. 1994. Т. 77. № 3. С. 342.
Дополнительные файлы













