Sensor Layers Based on Semiconductor Nanoparticles and Their Electronic Structure
- Authors: Trakhtenberg L.I.1,2
-
Affiliations:
- Semenov Federal Research Center for Chemical Physics, Russian Academy of Sciences
- Moscow State University
- Issue: Vol 42, No 5 (2023)
- Pages: 87-94
- Section: ХИМИЧЕСКАЯ ФИЗИКА НАНОМАТЕРИАЛОВ
- URL: https://bakhtiniada.ru/0207-401X/article/view/139914
- DOI: https://doi.org/10.31857/S0207401X2305014X
- EDN: https://elibrary.ru/PCONYX
- ID: 139914
Cite item
Full Text
Abstract
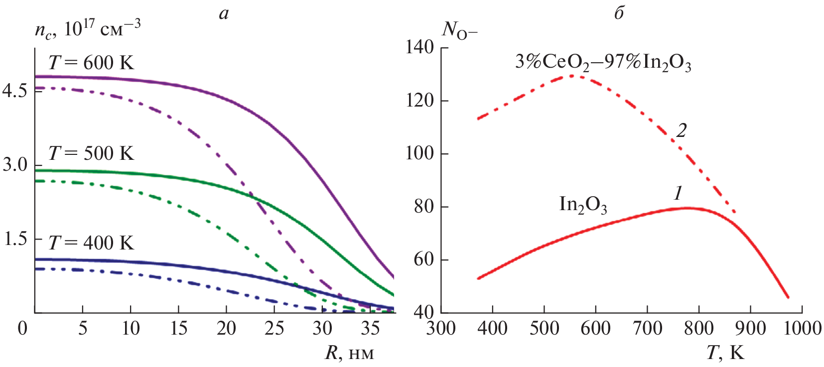
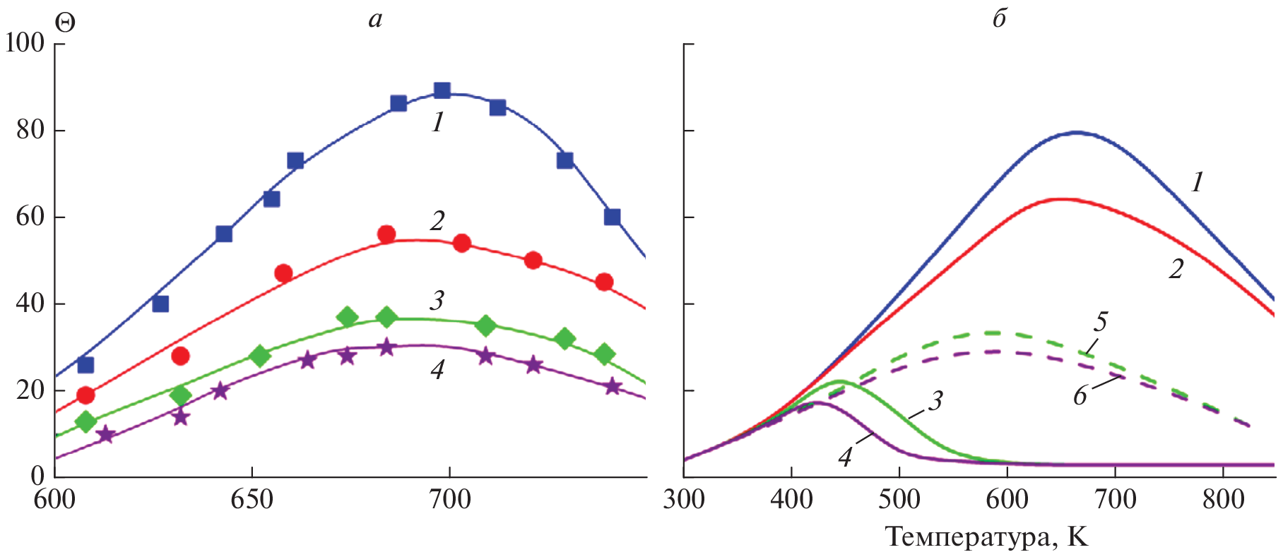
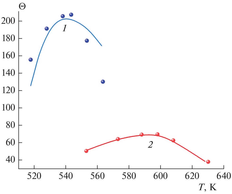
Studies on modeling the charge distribution in semiconductor nanoparticles are analyzed. The charge distribution largely depends on the type of nanoparticles and the concentration of conduction electrons. In the case of nanoparticles with a high content of electrons in the conduction band, the negatively charged layer plays an important role. The conductivity and sensor effect depend on this layer. It is shown that both the distribution of electrons and the sensor effect differ significantly in one- and two-component systems. The reasons for this difference are discussed
About the authors
L. I. Trakhtenberg
Semenov Federal Research Center for Chemical Physics, Russian Academy of Sciences; Moscow State University
Author for correspondence.
Email: litrakh@gmail.com
Moscow, Russia; Moscow, Russia
References
- Barsan N., Weimar U. // J. Electroceram. 2001. V. 7. P. 143.
- Yamazoe N., Shimanoe K. // Sens. Actuators, B. 2008. V. 128. P. 566.
- Gerasimov G.N., Gromov V.F., Ilegbusi O.J., Trakhtenberg L.I. // Sens. Actuators, B. 2017. V. 240. P. 613.
- Герасимов Г.Н., Громов В.Ф., Иким М.И., Трахтенберг Л.И. // Хим. физика. 2021. Т. 40. С. 65.
- Prathap P., Gowri Devi G., Subbaiah Y.P.V., Ramakrishna Reddy K.T., Ganesan V. // Curr. Appl. Phys. 2008. V. 8. P. 120.
- Jimenez L.C., Mendez H.A., Paez B.A., Ramirez M.E., Rodriguez H. // Brazilian J. Phys. 2006. V. 36. P. 1017.
- Kozhushner. M.A., Lidskii B.V., Oleynik I.I., Posvyanskii V.S., Trakhtenberg L.I. // J. Phys. Chem. C. 2015. V. 119. 16 286.
- Bodneva V.L., Ilegbusi O.J., Kozhushner M.A et al. // Sens. Actuators, B. 2019. V. 287. P. 218.
- Kurmangaleev K.S., Ikim M.I., Kozhushner M.A., Trakhtenberg L.I. // Appl. Surf. Sci. 2021. V. 546. 149 011.
- Gerasimov G.N., Gromov V.F., Ikim M.I., Ilegbusi O.J., Trakhtenberg L.I. // Sens. Actuators, B. 2019. V. 279. P. 22.
- Курмангалеев К.С. Дис. … канд. физ.-мат. наук. М.: ИХФ РАН, 2022.
- Kozhushner M.A., Trakhtenberg L.I., Landerville A.C., Oleynik I.I. // J. Phys. Chem. C. 2013. V. 117. 1 1562.
- Kozhushner M.A., Trakhtenberg L.I., Bodneva V.L. et al. // Ibid. 2014. V. 118. P. 11444.
- Белышева Т.В., Герасимов Г.Н., Громов В.Ф. и др. // ЖФХ. 2010. Т. 84. С. 1706.
- Trakhtenberg L.I., Gerasimov G.N., Gromov V.F., Belysheva T.V., Ilegbusi O.J. // Sens. Actuators, B: Chemical. 2012. V. 169. P. 32.
- Trakhtenberg L.I., Gerasimov G.N., Gromov V.F., Belysheva T.V., Ilegbusi O.J. // Ibid. 2013. V. 187. P. 514.
- Trakhtenberg L.I., Astapenko V.A., Sakhno S.V. et al. // J. Phys. Chem. C. 2016. V. 120. 23 851.
- Kozhushner M.A., Bodneva V.L., Oleynik I.I., Belysheva T.V., Ikim M.I., Trakhtenberg L.I. // Ibid. 2017. V. 121. P. 6940.
- Ahlers S., Miller G., Doll T. // Sens. Actuators, B. 2005. V. 107. P. 587.
- Xu C., Tamaki J., Miura N., Yamazoe N. // Ibid. 1991. V. 3. P. 147.
- Gerasimov G.N., Ikim M.I., Gromov V.F., Ilegbusi O.J., Trakhtenberg L.I. // J. Alloys Compd. 2021. V. 883. 160 817.
- Нагаев Э.Л. // Успехи физических наук. 1992. Т. 162. С. 49.
- Dey A. // Mat. Sci. Eng. B. 2018. V. 229. P. 206.
- Yamazoe N., Kurorawa Y., Seiyama T. // Sens. Actuators, B. 1983. V. 4. P. 283.
- Trakhtenberg L.I., Gerasimov G.N., Gromov V.F., Belysheva T.V., Ilegbusi O.J. // Sens. Actuators, B. 2015. V. 209. P. 562.
- Xu L., Song H., Dong B. // Inorg. Chem. 2010. V. 49. 10590.
- Jiang F., Zhao H., Chen H., Xu C., Chen J. // RSC Advances. 2016. V. 6. 72015.
- Громов В.Ф., Иким М.И., Герасимов Г.Н., Трахтенберг Л.И. // Хим. физика. 2021. Т. 40. № 12. С. 76.
- Yang F., Graciani J., Evans J. et al. // J. Amer. Chem. Soc. 2011. V. 133. P. 3444.
Supplementary files










