Investigation of the Possibilities of H-α Decomposition for Dual Polarization in Radar Monitoring of Afforestation
- Authors: Dmitriev A.V.1, Chimitdorzhiev T.N.1, Kirbizhekova I.I.1, Nomshiev Z.D.1
-
Affiliations:
- Institute of Physical Materials Science, SB RAS
- Issue: No 5 (2023)
- Pages: 3-12
- Section: МЕТОДЫ И СРЕДСТВА ОБРАБОТКИ И ИНТЕРПРЕТАЦИИ КОСМИЧЕСКОЙ ИНФОРМАЦИИ
- URL: https://bakhtiniada.ru/0205-9614/article/view/140971
- DOI: https://doi.org/10.31857/S0205961423050032
- EDN: https://elibrary.ru/XOYIPG
- ID: 140971
Cite item
Full Text
Abstract
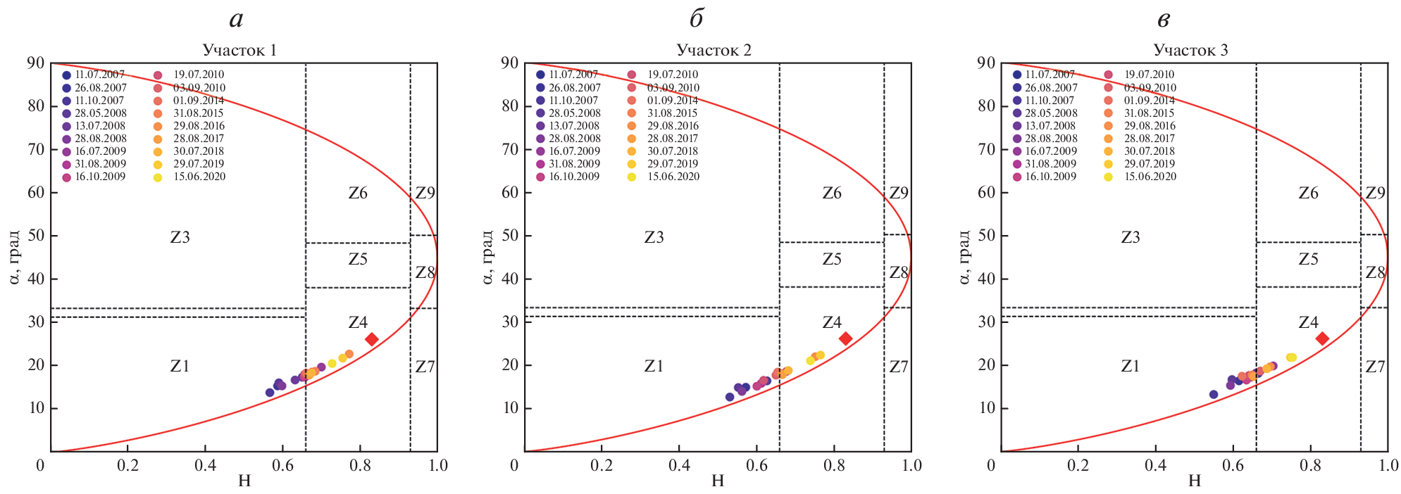
Assessment of the processes of afforestation and restoration of forests after fires is relevant for a significant territory of Russia, including the problem of carbon neutrality. The paper considers the possibilities of radar monitoring of the afforestation process based on the Cloud-Pottier decomposition of L-band data time series with dual polarization. Preliminary segmentation is based on the minimum values of the radar backscatter over the entire observation period. This makes it possible to distinguish treeless areas and sparsely wooded areas into a separate class, both existing before the start of the study and formed later. Next, Cloud-Pottier polarimetric decomposition is performed to obtain the parameters H (entropy) and α (scattering angle) and form time series from them. Studies have shown the principal possibility of afforestation dynamics monitoring on the H-α plane, where the points of the test areas form characteristic time tracks. A mature dense forest, whose characteristics are considered permanent, was used as a reference for estimating the changes rate on the H-α plane.
About the authors
A. V. Dmitriev
Institute of Physical Materials Science, SB RAS
Author for correspondence.
Email: dav@ipms.bscnet.ru
Russia, Ulan-Ude
T. N. Chimitdorzhiev
Institute of Physical Materials Science, SB RAS
Email: dav@ipms.bscnet.ru
Russia, Ulan-Ude
I. I. Kirbizhekova
Institute of Physical Materials Science, SB RAS
Email: dav@ipms.bscnet.ru
Russia, Ulan-Ude
Zh. D. Nomshiev
Institute of Physical Materials Science, SB RAS
Email: dav@ipms.bscnet.ru
Russia, Ulan-Ude
References
- Бондур В.Г., Чимитдоржиев Т.Н., Дмитриев А.В., Дагуров П.Н. Оценка пространственной анизотропии неоднородностей лесной растительности при различных азимутальных углах радарного поляриметрического зондирования // Исслед. Земли из космоса. 2019. № 3. С. 92–103. https://doi.org/10.31857/S0205-96142019392-103
- Дмитриев А.В., Чимитдоржиев Т.Н., Дагуров П.Н. Оптико-микроволновая диагностика восстановления леса после пожаров // Вычислительные Технологии. 2022. Т. 27. № 2. С. 105–121.
- Дмитриев А.В., Чимитдоржиев Т.Н., Добрынин С.И., Худайбердиева О.А., Кирбижекова И.И. Оптико-микроволновая диагностика залесения сельскохозяйственных земель // Современные проблемы ДЗЗ из космоса. 2022. Т. 19. № 4. С. 168–180. https://doi.org/10.21046/2070-7401-2022-19-4-168-180
- Чимитдоржиев Т.Н., Дмитриев А.В., Кирбижекова И.И., Шерхоева А.А., Балтухаев А.К., Дагуров П.Н. Дистанционные оптико-микроволновые измерения параметров леса: современное состояние исследований и экспериментальная оценка возможностей // Современные проблемы ДЗЗ из космоса. Т. 15. № 4. С. 9–26. https://doi.org/10.21046/2070-7401-2018-15-4-9-24
- Bondur V.G., Chimitdorzhiev T.N., Kirbizhekova I.I., Dmitriev A.V. Estimation of Postfire Reforestation with SAR Polarimetry and NDVI Time Series // Forests. V. 13. № 5. P. 814. https://doi.org/10.3390/f13050814
- Cloude S.R. Polarisation: Applications in Remote Sensing. OUP Oxford. 2009. 466 p.
- Cloude S.R. The dual polarisation entropy/alpha decomposition: a PALSAR case study // Proc. 3rd International Workshop on Science and Applications of SAR Polarimetry and Polarimetric Interferometry. Noordwijk, Netherlands: European Space Agency. 2007. P. 6.
- Cloude S.R., Pottier E. An entropy based classification scheme for land applications of polarimetric SAR // IEEE Trans. Geosci. Remote Sens. 1997. V. 35. № 1. P. 68–78. https://doi.org/10.1109/36.551935
- Dobson M.C., Ulaby F.T., LeToan T., Beaudoin A., Kasischke E.S., Christensen N. Dependence of radar backscatter on coniferous forest biomass // IEEE Trans. Geosci. Remote Sens. 1992. V. 30. № 2. P. 412–415. https://doi.org/10.1109/36.134090
- ERA5 Daily Aggregates [Электронный ресурс], URL: https://developers.google.com/earth-engine/datasets/catalog/ECMWF_ERA5_DAILY (дата обращения 11 мая 2023).
- Freeman A. Fitting a Two-Component Scattering Model to Polarimetric SAR Data From Forests // IEEE Trans. Geosci. Remote Sens. 2007. V. 45. № 8. P. 2583–2592. https://doi.org/10.1109/TGRS.2007.897929
- Freeman A., Durden S.L. A three-component scattering model for polarimetric SAR data // IEEE Trans. Geosci. Remote Sens. 1998. V. 36. № 3. P. 963–973. https://doi.org/10.1109/36.673687
- Gorelick N., Hancher M., Dixon M., Ilyushchenko S., Thau D., Moore R. Google Earth Engine: Planetary-scale geospatial analysis for everyone // Remote Sensing of Environment. 2017. V. 202. P. 18–27. https://doi.org/10.1016/j.rse.2017.06.031
- Guo J., Wei P.-L., Liu J., Jin B., Su B.-F., Zhou Z.-S. Crop Classification Based on Differential Characteristics of H/α Scattering Parameters for Multitemporal Quad- and Dual-Polarization SAR Images // IEEE Trans. Geosci. Remote Sens. 2018. V. 56. № 10. P. 6111–6123. https://doi.org/10.1109/TGRS.2018.2832054
- Ji K., Wu Y. Scattering Mechanism Extraction by a Modified Cloude-Pottier Decomposition for Dual Polarization SAR // Remote Sensing. 2015. V. 7. № 6. P. 7447–7470. https://doi.org/10.3390/rs70607447
- Koyama C.N., Shimada M., Watanabe M., Tadono T. ALOS-2/PALSAR-2 Long-term Pantropical Observation – A Paradigm Shift in Global Forest Monitoring // Proc. 14th European Conference on Synthetic Aperture Radar (EUSAR 2022). 2022. P. 1–5.
- Koyama C.N., Watanabe M., Hayashi M., Ogawa T., Shimada M. Mapping the spatial-temporal variability of tropical forests by ALOS-2 L-band SAR big data analysis // Remote Sensing of Environment. 2019. V. 233. № 111372. https://doi.org/10.1016/j.rse.2019.111372
- Krogager E., Boerner W.-M., Madsen S.N. Feature-motivated Sinclair matrix (sphere/diplane/helix) decomposition and its application to target sorting for land feature classification // Proc. SPIE 3120, Wideband Interferometric Sensing and Imaging Polarimetry, (23 December 1997). P. 144–154. https://doi.org/10.1117/12.300620
- Le Toan T., Beaudoin A., Riom J., Guyon D. Relating forest biomass to SAR data // IEEE Trans. Geosci. Remote Sens. V. 30. № 2. P. 403–411. https://doi.org/10.1109/36.134089
- Lee J.-S., Pottier E. Polarimetric radar imaging: from basics to applications, Optical science and engineering. CRC Press, Boca Raton. 2009. 440 p.
- Moreira A., Prats-Iraola P., Younis M., Krieger G., Hajnsek I., Papathanassiou K.P. A tutorial on synthetic aperture radar // IEEE Geosci. Remote Sens. Magazine. 2013. V. 1. № 1. P. 6–43. https://doi.org/10.1109/MGRS.2013.2248301
- Richards J.A. Remote Sensing with Imaging Radar. Springer-Verlag, Berlin Heidelberg. 2009. 361 p. https://doi.org/10.1007/978-3-642-02020-9
- SNAP [Электронный ресурс], URL: http://step.esa.int/main/toolboxes/snap/ (дата обращения 11 мая 2023).
- Touzi R. Target Scattering Decomposition in Terms of Roll-Invariant Target Parameters // IEEE Trans. Geosci. Remote Sens. 2007. V. 45. № 1. P. 73–84. https://doi.org/10.1109/TGRS.2006.886176
- Yamaguchi Y., Moriyama T., Ishido M., Yamada H. Four-component scattering model for polarimetric SAR image decomposition // IEEE Trans. Geosci. Remote Sens. 2005. V. 43. № 8. P. 1699–1706. https://doi.org/10.1109/TGRS.2005.852084
- Yu Y., Saatchi S. Sensitivity of L-Band SAR Backscatter to Aboveground Biomass of Global Forests // Remote Sensing. 2016. V. 8. № 6. P. 522. https://doi.org/10.3390/rs8060522
Supplementary files







