Dielectric Model of the Upper Organic Layer of Forest Soils for a Frequency of 435 MHz
- Authors: Karavayskiy A.Y.1, Lukin Y.I.1
-
Affiliations:
- Kirensky Institute of Physics of the Siberian Branch of the Russian Academy of Sciences
- Issue: No 3 (2023)
- Pages: 81-96
- Section: ФИЗИЧЕСКИЕ ОСНОВЫ ИССЛЕДОВАНИЯ ЗЕМЛИ ИЗ КОСМОСА
- URL: https://bakhtiniada.ru/0205-9614/article/view/136980
- DOI: https://doi.org/10.31857/S0205961423020021
- EDN: https://elibrary.ru/TCWJRI
- ID: 136980
Cite item
Full Text
Abstract
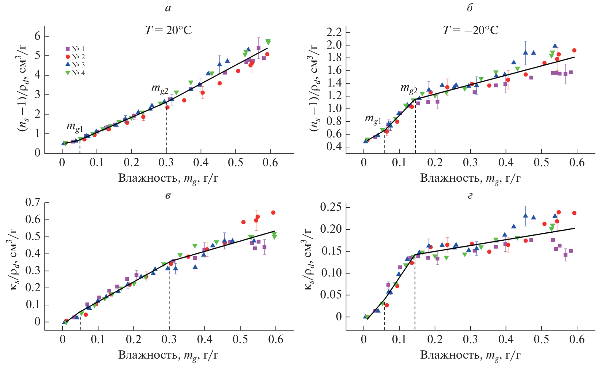
A single-frequency refractive dielectric model is proposed for thawed and frozen forest organic soils in the root zone at 435 MHz. The dielectric model was created on the basis of the laboratory dielectric measurements of four soils with organic matter content in the range from 15 to 31%. Dielectric measurements were carried out in the range of the gravimetric moisture from 0 to 0.6 g/g and temperature range from –30 to 25°С. The coefficient of determination (R2) between the predicted and measured values of the real (ε') and imaginary (ε") parts of the complex permittivity was 0.97. The normalized root-mean-square error was 16% and 21% for the real and imaginary parts of the complex permittivity, respectively. The created dielectric model may be applied in algorithms for remote sensing of forest soil moisture in the root zone using radar and radiometric data.
Keywords
About the authors
A. Yu. Karavayskiy
Kirensky Institute of Physics of the Siberian Branch of the Russian Academy of Sciences
Author for correspondence.
Email: rsdak@ksc.krasn.ru
Russia, Krasnoyarsk
Yu. I. Lukin
Kirensky Institute of Physics of the Siberian Branch of the Russian Academy of Sciences
Email: rsdak@ksc.krasn.ru
Russia, Krasnoyarsk
References
- Агрохимические методы исследования почв / ред. Соколов А. В. М.: Наука, 1975. 656 с.
- Беляева Т.А., Бобров П.П., Кондратьева О.В. Изменение диэлектрических свойств связанной воды в почвах при увеличении ее количества // Вестник СибГАУ. 2013. № 5(51). С. 92–95.
- Бобров П.П., Беляева Т.А., Крошка Е.С., Родионова О.В. О параметрах диэлектрической модели почв, используемой в алгоритме SMOS // Техника радиосвязи. 2021. Вып. 1(48). С. 95–102. https://doi.org/10.33286/2075-8693-2021-48-95-102
- Бобров П.П., Кондратьева О.В., Мустакова М.М. Влияние содержания органического вещества в почвах на диэлектрическую проницаемость в диапазоне частот 10–8.5 ГГц // Вестник СибГАУ. 2013. № 5(51). С. 95–97.
- Бобров П.П. Спектроскопическая модель диэлектрической проницаемости почв, использующая стандартизованные агрофизические показатели // Исслед. Земли из Космоса. 2008. № 1. С. 15–23.
- Боярский Д.А., Тихонов В.В. Модель эффективной диэлектрической проницаемости влажных и мерзлых почв в сверхвысокочастотном диапазоне // Радиотехника и электроника. 1995. Т. 40. № 6. С. 914–917.
- Боярский Д.А., Тихонов В.В. Влияние связанной воды на диэлектрическую проницаемость влажных и мерзлых почв // 2003.
- Комаров А.С., Миронов В.Л. Микроволновое зондирование почв. Новосибирск. Изд-во СО РАН. 2000. 289 с.
- Кочеткова Т.Д. Температурная зависимость диэлектрической проницаемости торфа на СВЧ // 8-я Международная научно-практическая конференция Актуальные проблемы радиофизики. 2019. Тезисы докл. С. 196–199.
- Мандрыгина В.Н. Диэлектрическая проницаемость почв с различным содержанием гумуса и влияние на нее гидрофобных и гидрофильных загрязнителей // Автореф дис на соиск уч. степ. к. ф.-м. н: Омский пед гос унт. 2004. 16 с.
- Миронов В.Л., Комаров С.А., Рычкова Н.В., Клещенко В.Н., Изучение диэлектрических свойств влажных почвогрунтов в СВЧ-диапазоне // Исслед. Земли из космоса. 1994. № 4. С. 18–24.
- Миронов В.Л., Савин И.В. Спектроскопическая многорелаксационная диэлектрическая модель талых и мерзлых арктических почв, учитывающая зависимости от температуры и содержания органического вещества // Исслед. Земли из Космоса. 2019. № 1. С. 62–73. https://doi.org/10.31857/S0205-96142019162-73
- Музалевский К.В. Возможности дистанционного зондирования профилей влажности почв на основе поляриметрических наблюдений обратного рассеяния волн в P- и C-диапазонах частот // Современные проблемы дистанционного зондирования Земли из космоса. 2019. Т. 16. № 5. С. 203–216. https://doi.org/10.21046/2070-7401-2019-16-5-203-216
- Репин А.В. Методы измерения диэлектрической проницаемости различных форм почвенной влаги и нефтесодержащих пород // Автореф дис на соиск уч. степ. к. ф.-м .н: Омский государственный педагогический университет. 2010. 22 с.
- Шутко А.М. СВЧ-радиометрия водной поверхности и почвогрунтов // Наука, 1986.
- Alemohammad S.H., Konings A.G., Jagdhuber T., Moghaddam M., Entekhabi D. Characterization of vegetation and soil scattering mechanisms across different biomes using P-band SAR polarimetry // Remote Sens. Environ. 2018. V. 209. P. 107–117. https://doi.org/10.1016/j.rse.2018.02.032
- Bobrov P.P., Belyaeva T.A., Kroshka E.S., Rodionova O.V. The Effect of Dielectric Relaxation Processes on the Complex Dielectric Permittivity of Soils at Frequencies From 10 kHz to 8 GHz—Part I: Experimental // IEEE Transactions on Geoscience and Remote Sensing. 2022. V. 60. P. 1–9. https://doi.org/10.1109/TGRS.2022.3180727
- Bircher S., Demontoux F., Zakharova E, Drusch M., Wigneron J.-P., Kerr Y.H. L-Band Relative Permittivity of Organic Soil Surface Layers—A New Dataset of Resonant Cavity Measurements and Model Evaluation // Remote Sensing. 2016. V. 8 № 12. P. 1024. https://doi.org/10.3390/rs8121024
- Carreiras J.M.B., Quegan S., Le Toan T., Ho Tong Minh D., Saatchi S.S., Carvalhais N. Coverage of high biomass forests by the ESA BIOMASS mission under defense restrictions // Remote Sens. Environ. 2017. V. 196. P. 154–162. https://doi.org/10.1016/j.rse.2017.05.003
- Chudinova S.M. Dielectric characteristics of soils and categories of soil water // Eurasian Soil Sc. 2009. V 42. P. 405–414. https://doi.org/10.1134/S1064229309040073
- Dobson M., Ulaby F., Hallikainen M., El-rayes M. Microwave Dielectric Behavior of Wet Soil-Part II: Dielectric Mixing Models // IEEE Trans. Geosci. Remote Sens. 1985. V. GE-23. № 1. P. 35–46. https://doi.org/10.1109/TGRS.1985.289498
- Entekhabi D., Njoku E.G., O’Neill P.E., Kellogg K.H., Crow W.T., Edelstein W.N., Entin J.K., Goodman S.D., Jackson T.J., Johnson J., Kimball J., Piepmeier J.R., Koster R.D., Martin N., McDonald K.C., Moghaddam M., Moran S., Reichle R., Shi J.C., Spencer M.W., Thurman S.W., Tsang L., Zyl J. Van. The Soil Moisture Active Passive (SMAP) Mission // Proc. IEEE. 2010. V. 98. № 5. P. 704–716. https://doi.org/10.1109/JPROC.2010.2043918
- Escorihuela M.J., Chanzy A., Wigneron J.P., Kerr, Y.H. Effective soil moisture sampling depth of L-band radiometry: A case study // Remote Sens. Environ. 2010. V. 114. № 5. P. 995–1001. https://doi.org/10.1016/j.rse.2009.12.011
- Fomin S.V., Muzalevskiy K. Dielectric Model for Thawed Mineral Soils at a Frequency of 435 MHz // IEEE Geosci. Remote Sens. Lett. 2021b. V. 18. № 2. P. 222–225. https://doi.org/10.1109/LGRS.2020.2972559
- Garrison J., Lin Y.-C., Nold B., Piepmeier J.R., Vega M.A., Fritts M., Du Toit C.F., Knuble J. Remote sensing of soil moisture using P-band signals of opportunity (SoOp): Initial results // 2017 IEEE International Geoscience and Remote Sensing Symposium (IGARSS).: IEEE, 2017. P. 4158–4161. https://doi.org/10.1109/IGARSS.2017.8127917
- Grant J.P., de Griend A.A. Van, Wigneron J.-P., Saleh K., Panciera R., Walker J.P. Influence of forest cover fraction on L-band soil moisture retrievals from heterogeneous pixels using multi-angular observations // Remote Sens. Environ. 2010. V. 114. № 5. P. 1026–1037. https://doi.org/10.1016/j.rse.2009.12.016
- Jagdhuber T., Hajnsek I., Sauer S., Papathanassiou K.P., Bronstert A. Soil moisture retrieval under forest using polarimetric decomposition techniques at P-band // 9th European Conference on Synthetic Aperture Radar. 2012. P. 709–712.
- Liu J., Zhao S., Jiang L., Chai L., Wu F. The influence of organic matter on soil dielectric constant at microwave frequencies (0.5–40 GHZ) // IEEE International Geoscience and Remote Sensing Symposium – IGARSS. 2013. P. 13–16. https://doi.org/10.1109/IGARSS.2013.6721080.
- Jin M., Zheng X., Jiang T., Li X., Li X.-J., Zhao K. Evaluation and Improvement of SMOS and SMAP Soil Moisture Products for Soils with High Organic Matter over a Forested Area in Northeast China. Remote Sensing. 2017. V. 9 № 4. P. 387. https://doi.org/10.3390/rs9040387
- Kerr Y.H., Waldteufel P., Wigneron J.-P., Delwart S., Cabot F., Boutin J., Escorihuela M.-J., Font J., Reul N., Gruhier C., Juglea S.E., Drinkwater M.R., Hahne A., Martín-Neira M., Mecklenburg S. The SMOS Mission: New Tool for Monitoring Key Elements ofthe Global Water Cycle // Proc. IEEE. 2010. V. 98. № 5. P. 666–687. https://doi.org/10.1109/JPROC.2010.2043032
- Liebmann P., Wordell-Dietrich P., Kalbitz K., Mikutta R., Kalks F., Don A., Woche S.K., Dsilva L.R., Guggenberger G. Relevance of aboveground litter for soil organic matter formation – a soil profile perspective // Biogeosciences. 2020. V. 17. P. 3099–3113. https://doi.org/10.5194/bg-17-3099-2020
- Loewer M., Igel J., Minnich,C., Wagner,N. Electrical and dielectric properties of soils in the mHz to GHz frequency range //Proceedings of the 11th International Conference on Electromagnetic Wave Interaction with Water and Moist Substances (ISEMA). 2016. P. 247–254.
- Mironov V.L., Bobrov P.P., Bobrov A.P., Mandrygina V.N., Stasuk V.D. Microwave dielectric spectroscopy of moist soils for a forest-tundra region // IEEE International Geoscience and Remote Sensing Symposium. 2005. P. 4485–4488.https://doi.org/10.1109/IGARSS.2005.1525917.
- Mironov V.L., Bobrov P.P., Fomin S.V. Multirelaxation Generalized Refractive Mixing Dielectric Model of Moist Soils // IEEE Geosci. Remote Sens. Lett. 2013. V. 10. № 3. P. 603–606. https://doi.org/10.1109/LGRS.2012.2215574
- Mironov V.L., Roo R.D. De, Savin I.V. Temperature-Dependable Microwave Dielectric Model for an Arctic Soil // IEEE Trans. Geosci. Remote Sens. 2010. V. 48. № 6. P. 2544–2556. https://doi.org/10.1109/TGRS.2010.2040034
- Mironov V.L., Karavayskiy A.Y., Lukin Y.I., Molostov I.P. A dielectric model of thawed and frozen Arctic soils considering frequency, temperature, texture and dry density // Int. J. Remote Sens. 2020. V. 41. № 10. P. 3845–3865. https://doi.org/10.1080/01431161.2019.1708506
- Mironov V.L., Molostov I.P., Lukin Y.I., Karavaisky A.Y. Method of retrieving permittivity from S12 element of the waveguide scattering matrix // 2013 International Siberian Conference on Control and Communications (SIBCON). : IEEE, 2013. P. 1–3. https://doi.org/10.1109/SIBCON.2013.6693609
- Monerris A., Vall-llossera M., Camps A., Sabia R., Villarino R., Cardona M., Alvarez E., Sosa S. Soil Moisture Retrieval Using L-band Radiometry: Dependence on Soil Type and Moisture Profiles // 2006 IEEE MicroRad.: IEEE, 2006. P. 171–175. https://doi.org/10.1109/MICRAD.2006.1677083
- Nagarajan K., Judge J., Monsivais-Huertero A., Graham W.D. Impact of Assimilating Passive Microwave Observations on Root-Zone Soil Moisture Under Dynamic Vegetation Conditions // IEEE Trans. Geosci. Remote Sens. 2012. V. 50. № 11. P. 4279–4291. https://doi.org/10.1109/TGRS.2012.2191154
- Owe M., Van de Friend A. Comparison of soil moisture penetration depths for several bare soils at two microwave frequencies and implications for remote sensing // WATER RESOURCES RESEARCH. 1998. V. 34. № 9. P. 2319–2327.
- Pan M., Cai X., Chaney N.W., Entekhabi D., Wood E.F. An initial assessment of SMAP soil moisture retrievals using high-resolution model simulations and in situ observations // Geophys. Res. Lett. 2016. V. 43. № 18. P. 9662–9668. https://doi.org/10.1002/2016GL069964
- Pan M., Sahoo A.K., Wood E.F., Al Bitar A., Leroux D., Kerr Y.H. An Initial Assessment of SMOS Derived Soil Moisture over the Continental United States // IEEE J. Sel. Top. Appl. Earth Obs. Remote Sens. 2012. V. 5. № 5. P. 1448–1457. https://doi.org/10.1109/JSTARS.2012.2194477
- Park C.-H., Behrendt A., LeDrew E., Wulfmeyer V. New Approach for Calculating the Effective Dielectric Constant of the Moist Soil for Microwaves // Remote Sens. 2017. V. 9. P. 732. https://doi.org/10.3390/rs9070732
- Park C.-H., Montzka C., Jagdhuber T., Jonard F., De Lannoy G., Hong J., Jackson T.J., Wulfmeyer V. A dielectric mixing model accounting for soil organic matter // Vadose Zone J. 2019. V. 18 P. 190036. https://doi.org/10.2136/vzj2019.04.0036
- Peplinski N.R., Ulaby F.T., Dobson M.C. Dielectric properties of soils in the 0.3–1.3 GHz range // IEEE Trans. Geosci. Remote Sens. 1995. V. 33. № 3. P. 803–807. https://doi.org/10.1109/36.387598
- Patil C.B., Chaudhari P.R. Dielectric Constant and Emissivity of Forest Soil Samples at Microwave Frequency // International J. Scientific Research in Physics and Applied Sciences. 2018. V. 6. № 4. P. 44–46. https://doi.org/10.26438/ijsrpas/v6i4.4446
- Reigber A., Jager M., Pinheiro M., Scheiber R., Prats P., Fischer J., Horn R., Nottensteiner A. Performance of the P-band subsystem and the X-band interferometer of the F-SAR airborne SAR instrument // 2012 IEEE International Geoscience and Remote Sensing Symposium.: IEEE, 2012. P. 5037–5040. https://doi.org/10.1109/IGARSS.2012.6352479
- Sadeghi M., Tabatabaeenejad A., Tuller M., Moghaddam M., Jones S. Advancing NASA’s AirMOSS P-Band Radar Root Zone Soil Moisture Retrieval Algorithm via Incorporation of Richards’ Equation // Remote Sens. 2016. V. 9. № 1. P. 17. https://doi.org/10.3390/rs9010017
- Savin I.V., Muzalevskiy K.V., Mironov V.L. A dielectric model of thawed and frozen Arctic organic soils at 435 MHz // Remote Sens. Lett. 2022. V. 13. № 5. P. 452–459. https://doi.org/10.1080/2150704X.2022.2041761
- Shen X., Walker J.P., Ye N., Wu X., Boopathi N., Yeo I.-Y., Zhang L., Zhu L. Soil Moisture Retrieval Depth of P- and L-Band Radiometry: Predictions and Observations // IEEE Trans. Geosci. Remote Sens. 2021. V. 59. № 8. P. 6814–6822. https://doi.org/10.1109/TGRS.2020.3026384
- Shukla J., Mintz Y. Influence of Land-Surface Evapotranspiration on the Earth’s Climate // Science (80-.). 1982. V. 215. № 4539. P. 1498–1501. https://doi.org/10.1126/science.215.4539.1498
- Szypłowska A., Lewandowski A., Yagihara S., Saito H., Furuhata K., Szerement J., Kafarski M., Wilczek A., Majcher J., Woszczyk A., Skierucha W. Dielectric models for moisture determination of soils with variable organic matter content // Geoderma. 2021. V. 401. P. 115288. https://doi.org/10.1016/j.geoderma.2021.115288
- Tabatabaeenejad A., Burgin M., Xueyang Duan, Moghaddam M. P-Band Radar Retrieval of Subsurface Soil Moisture Profile as a Second-Order Polynomial: First AirMOSS Results // IEEE Trans. Geosci. Remote Sens. 2015. V. 53. № 2. P. 645–658.https://doi.org/10.1109/TGRS.2014.2326839
- Wang J.R., Schmugge T.J. An Empirical Model for the Complex Dielectric Permittivity of Soils as a Function of Water Content // IEEE Trans. Geosci. Remote Sens. 1980. V. GE-18. № 4. P. 288–295. https://doi.org/10.1109/TGRS.1980.350304
- Ye N., Walker J.P., Yeo I.-Y., Jackson T.J., Kerr Y., Kim E., Mcgrath A., Popstefanija I., Goodberlet M., Hills J. Toward P-Band Passive Microwave Sensing of Soil Moisture // IEEE Geosci. Remote Sens. Lett. 2020. V. 18. № 3. P. 504–508. https://doi.org/10.1109/LGRS.2020.2976204
- Zhang L., Zhao T., Jiang L., Zhao S. Estimate of Phase Transition Water Content in Freeze–Thaw Process Using Microwave Radiometer // IEEE Trans. Geosci. Remote Sens. 2010. V. 48. № 12. P. 4248–4255. https://doi.org/10.1109/TGRS.2010.2051158
- Zhang N., Shi J., Sun G., Guo Z., Chai L. Assessment of boreal forest biomass using L-band radiometer SMOS data // 2011 IEEE International Geoscience and Remote Sensing Symposium. 2011. P. 1946–1949. https://doi.org/10.1109/IGARSS.2011.6049507
Supplementary files








