Grassland Monitoring Based on Geobotanical, Ground, Spectrometric and Satellite Data
- Authors: Botvich I.Y.1, Kononova N.A.1, Emelyanov D.V.1, Pisman T.I.1
-
Affiliations:
- Institute of Biophysics SB RAS
- Issue: No 2 (2023)
- Pages: 43-53
- Section: ИСПОЛЬЗОВАНИЕ КОСМИЧЕСКОЙ ИНФОРМАЦИИ О ЗЕМЛЕ
- URL: https://bakhtiniada.ru/0205-9614/article/view/136977
- DOI: https://doi.org/10.31857/S0205961423010037
- EDN: https://elibrary.ru/MLOLYA
- ID: 136977
Cite item
Full Text
Abstract
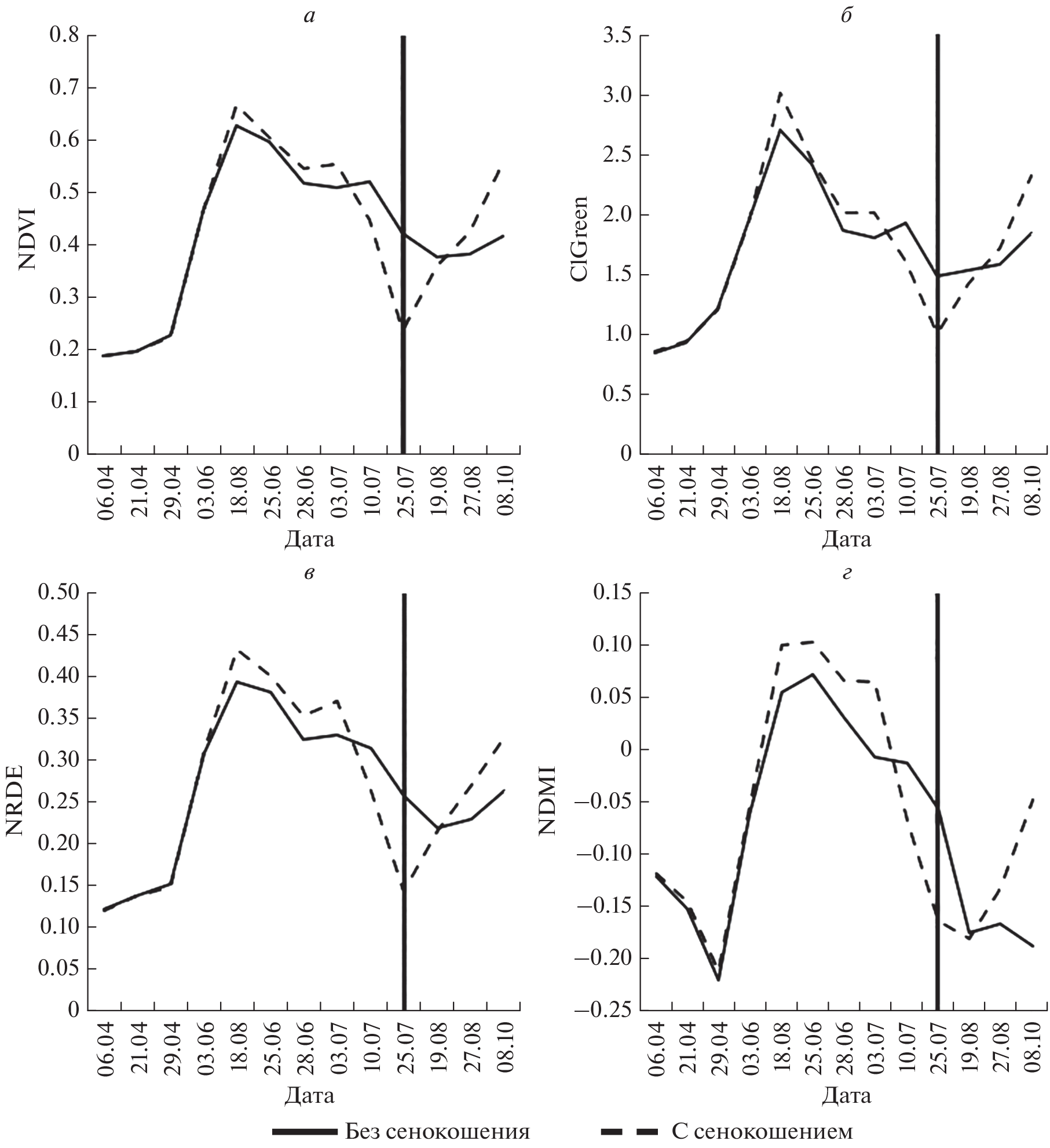
The study assessed the possibility of grassland monitoring based on various spectral vegetation indices (NDVI, ClGreen, NDRE, NDMI) calculated according to Sentinel-2 satellite data during the 2018 growing season. Geobotanical studies and collection of ground-based spectrophotometry data were carried out simultaneously, at the same time of day, and were used as an additional stage of haymaking monitoring. It was possible to identify grasslands and determine the date of mowing based on ground and satellite spectrometric data. A drop in the indices (NDVI, clGreen, NDRE, NDMI) was observed on the date of mowing (25.07.2018). The possibility of grassland interpretation based on the NDVI index was proven reliable. It was shown that the dates of mowing determined according to satellite data were in good agreement with the ground dates of mowing (July 25th and August 27th). The spatial distribution maps of the NDVI index of grasslands according to Sentinel-2 satellite data for certain dates (June 18th, July 10th, and August 27th) were drawn. The resulting maps make it possible to identify grasslands and mowing dates in large areas.
Keywords
About the authors
I. Yu. Botvich
Institute of Biophysics SB RAS
Author for correspondence.
Email: irina.pugacheva@mail.ru
Russia, Krasnoyarsk
N. A. Kononova
Institute of Biophysics SB RAS
Email: irina.pugacheva@mail.ru
Russia, Krasnoyarsk
D. V. Emelyanov
Institute of Biophysics SB RAS
Email: irina.pugacheva@mail.ru
Russia, Krasnoyarsk
T. I. Pisman
Institute of Biophysics SB RAS
Email: irina.pugacheva@mail.ru
Russia, Krasnoyarsk
References
- Ботвич И.Ю., Письман Т.И., Кононова Н.А., Шевырногов А.П. Сезонная динамика растительности залежных земель Красноярской лесостепи по наземным и спутниковым данным // Исслед. Земли из космоса. 2018. № 6. С. 39–51.
- Ерошенко Ф.В., Барталев С.А., Лапенко Н.Г., Самофал Е.В., Сторчак И.Г. Возможности дистанционной оценки состояния и степени деградации природных кормовых угодий // Современные проблемы дистанционного зондирования Земли из космоса. 2018. Т. 15. № 7. С. 53–66.
- Кононова Н.А., Ларько А.А, Емельянов Д.В., Ботвич И.Ю. Оценка состояния сенокосных земель красноярского края на основе наземной спектрометрии // Вестник КрасГАУ. 2019. № 2. С. 31–37.
- Кострова Ю.Б., Костров Б.В. Использование дистанционного зондирования земли в целях повышение эффективности сельскохозяйственного производства // Вестник РГАТУ, 2010. № 3. С. 88–90.
- Лапенко Н.Г., Ерошенко Ф.В., Сторчак И.Г., Дудченко Л.В., Шестакова Е.О. Деградационные процессы в степных сообществах и данные дистанционного зондирования Земли // Достижения науки и техники АПК. 2018. Т. 32. № 10. С. 50–53. https://doi.org/10.24411/0235-2451-2018-11011
- Ларько А.А., Ботвич И.Ю., Емельянов Д.В., Кононова Н.А. Оценка состояния сенокосных угодий на основе наземной и спутниковой спектрометрии // Вестник КрасГАУ. 2020. № 2. С. 11–17. https://doi.org/10.36718/1819-4036-2020-2-11-17
- Родионова А.В., Тебердиев Д.М. Продуктивность долголетнего сеяного сенокоса и плодородие дерново-подзолистых почв // Успехи современной науки. 2017. Т. 1. № 10. С. 178–182.
- Barnes E.M., Clarke T.R., Richards S.E., Colaizzi P.D., Haberland J., Kostrzewski M., Lascano R.J. Coincident detection of crop water stress, nitrogen status and canopy density using ground based multispectral data // In Proceedings of the Fifth International Conference on Precision Agriculture, Bloomington, MN, USA.2000. V. 1619.
- Bayat B., Tol C., Verhoef W. Remote Sensing of Grass Response to Drought Stress Using Spectroscopic Techniques and Canopy Reflectance Model Inversion // Remote Sens. 2016. 8. 557. https://doi.org/10.3390/rs8070557
- Bretas I.L., Valente D.S.M., Silva F.F., Chizzotti M.L., Paulino M.F., D’Áurea A.P., Paciullo D.S.C., Pedreira B.C., Fernanda H.M. Chizzotti F.H.M. Prediction of aboveground biomass and dry-matter content in Brachiaria pastures by combining meteorological data and satellite imagery// Grass and Forage Science. 2020. https://doi.org/10.1111/gfs.12517
- Erunova M.G., Simakina A.S., Yakubailik O.E. Smart analysis of agricultural land use with NDVI at Kuraginskoye agricultural experimental production facility // IOP Conf. Series: Earth and Environmental Science 677. 2021. 032105. https://doi.org/10.1088/1755-1315/677/3/032105.
- Gao B.C. A Normalized Difference Water Index for Remote Sensing of Vegetation Liquid Water from Space // In SPIE’s 1995 Symposium on OE, Aerospace Sensing and Dual Use Photonics.1995. V. 2480.
- Gitelson A.A., Vina A., Ciganda V., Rundquist D.C., Arkebauer T.J. Remote estimation of canopy chlorophyll content in crops // Geophys Res Lett. 2005. 32: L08403. https://doi.org/10.1029/2005GL022688
- Gitelson A.A., Gritz U., Merzlyak M.N. Relationships between leaf chlorophyll content and spectral reflectance and algorithms for non-destructive chlorophyll assessment in higher plant leaves // J. Plant Physiol. 2003. 160: 271–82.
- Kolecka N., Ginzler C., Pazur R., Price B., Verburg P. H. Regional Scale Mapping of Grassland Mowing Frequency with Sentinel-2 Time Series // Remote Sens. 2018. 10. 1221. https://doi.org/10.3390/rs10081221
- Pisman T.I., Shevyrnogov A.P., Larko A.A., Botvich I.Y., Emelyanov D.V., Shpedt A.A., Trubnikov Y.N. The Information Content of Spectral Vegetation Indices in the Interpretation of Satellite Images of Cultivated Fields // Biophys. 2019. 64(4). P. 588–592.
- Richter R.,Schläpfer D. Atmospheric/Topographic Correction for Satellite Imagery: ATCOR-2/3 UserGuide”, DLR IB 565-01/11, Wessling, Germany, 2011. (https://sentinel.esa.int/web/sentinel/technical-guides/sentinel-2-msi/level-2a/algorithm).
- Rouse J.W., Haas R.H., Scheel J.A., Deering D.W. Monitoring Vegetation Systems in the Great Plains with ERTS // Proceedings, 3rd Earth Resource Technology Satellite (ERTS) Symposium. 1974. V. 1. P. 48–62.
Supplementary files








