Bibliometric Analysis of the Three-Volume Labor “Development of the Concepts of Modern Psychology” (2018–2021)
- Authors: Zhuravlev A.L.1, Sergienko E.A.1, Fedorov A.A.2
-
Affiliations:
- Institute of Psychology RAS
- Novosibirsk State University
- Issue: Vol 44, No 1 (2023)
- Pages: 113-126
- Section: Scientometric inpsychology
- URL: https://bakhtiniada.ru/0205-9592/article/view/126474
- DOI: https://doi.org/10.31857/S020595920024366-8
- ID: 126474
Cite item
Full Text
Abstract
The article presents a bibliometric analysis of the concepts analyzed by scientists from the Institute of Psychology of the Russian Academy of Sciences and disclosed in three volumes of the work “Development of modern concepts of psychology” (2018, 2019 and 2021). The generalization carried out for all the presented concepts made it possible to put forward a hypothesis about the existence of metaconcepts — the subject and the collective subject, which pull together the network organization of conceptual fields, setting the architecture of their system-network organization. The conducted bibliometric analysis of the concepts of three volumes showed that the mapping of concepts makes it possible to identify clusters of network organization, among which there are two, which can be conditionally designated as “individual subject” and “collective subject”. Only the morpheme “psychologist-”, outstripping all the others in frequency of occurrence. These results may support the hypothesis of the existence of “meta-concepts” and their role in the system-network organization. Comparative analysis of the concept map based on the author's keywords of publications indexed in Scopus for five years, “contraction” of terms into complexes that can be designated as individual and collective subjects could not be found, while the analysis of articles in the same database by the same authors discovered two centers in 20 years. The individual and collective subject become central concepts, with multiple connections. The question of hierarchical conceptual organization remains open due to the limited possibilities of bibliometric analysis, which does not allow revealing such relationships between concepts. Bibliometric analysis made it possible to show the network organization of modern concepts, the existence of thematic conceptual fields and leave open the question of their system-network organization.
Full Text
В последние годы библиометрический анализ понятий, авторов, организаций стал широко популярным в психологических работах. Данная тенденция представлена и в отечественной психологии. Примерами могут служить исследования В.А. Мазилова и А.Р. Батыршиной [8], А.А. Федорова [16–18], А.Н. Моргуна [9–10], А.А. Костригина [6–7], О.Ю. Филиппу [19] и других (например, [11]). Несмотря на существенные ограничения, этот наукометрический метод остается действенной количественной техникой, позволяющей оценить сложившееся состояние в той или иной научной области и изучить современные тренды. Безусловно, в ходе такого анализа нельзя получить полную и содержательную картину рассматриваемой области, но его результаты позволяют рассмотреть ряд аргументов при проверке гипотез.
Приведем несколько примеров, показательных при проведении библиометрического анализа разными авторами.
Так, в исследовании А.А. Федорова проведен библиометрический анализ статей, связанных с постнеклассической психологией [16–17]. На основе анализа ключевых слов автором были построены понятийные карты, содержащие три тематических кластера, которые соответствуют культурно-аналитическому подходу, теории психологических систем и системно-субъектному подходу. Стоит отметить, что кластер, соответствующий последнему подходу, отсутствовал на понятийной карте, построенной на основе более строгого критерия. Это может указывать на то, что представители системно-субъектного подхода реже идентифицируют себя с постнеклассической психологией. Отметим, что при этом автором системно-субъектного подхода подчеркивается и обосновывается то, что он по своим теоретическим основаниям является постнеклассическим [15].
В ходе анализа было также определено, что публикации, которые прямо связаны с постнеклассической психологией, являются преимущественно теоретическими, а их доля составляет менее одного процента от общего числа психологических статей. Следовательно, количественные данные не позволяют назвать современную отечественную психологию постнеклассической наукой. Сам автор при этом указывает, что библиометрия не может быть единственным основанием для вынесения подобного суждения. В этой связи следует отметить несколько моментов. Во-первых, методологические принципы в организацию исследований проникают постепенно и становятся ведущими в ней эволюционно. Например, системный подход, который завоевал одно из ведущих мест в психологии, также поначалу отвергался, робко включался и, наконец, стал современным методологическим принципом. Во-вторых, говоря о типах рациональности, М.С. Гусельцева, один из пропонентов постнеклассической психологии, подчеркивает, что “это идеальные модели, в реальности пронизывают друг друга и сосуществуют” [4, с. 11]. По-видимому, подобное сосуществование может предполагать единую систему, но с разными “весами” реализуемых принципов, в которой постнеклассические установки могут быть даже латентными, что не означает недействующими. Однако остается неясным как то, может ли библиометрический анализ эксплицировать подобную “латентность”, так и то, не является ли она простой декларацией.
Второй пример касается библиометрического анализа макиавеллизма [19]. Эта работа направлена на изучение научного интереса к этому понятию и выделение популярных тем, с ним связанных. Было обнаружено, что наблюдается резкий всплеск интереса к изучению макиавеллизма с 2013 г. При этом мировое академическое сообщество в большой степени сфокусировано на исследовании “темной” стороны данного феномена, что вряд ли должно вызывать удивление, поскольку макиавеллизм является одним из ядерных компонентов “Темной триады”. Данный интерес проявляется в росте числа публикаций, которые связаны с такими понятиями, как “моральная разобщенность”, “садизм”, “темная дюжина” и пр. Автор библиометрического анализа отмечает, что, хотя полученные данные указывают на значительные усилия в разработке проблемы макиавеллизма, все еще остается немало вопросов, которые необходимо решать как на теоретическом, так и на эмпирическом уровнях.
Можно привести и другие примеры подобных исследований, важно подчеркнуть, что они позволяют картировать понятийные сети, их взаимосвязь с другими понятиями, структурировать понятийное психологическое пространство, выявить объединения и популярность ученых, взаимосвязь различных учреждений и тематических предпочтений.
В Институте психологии РАН был реализован проект, направленный на анализ понятий, которые разрабатываются учеными Института. Опубликованы три тома коллективного труда “Разработка понятий современной психологии”, включающие 70 понятий психологической науки [12–14]: 21 понятие в первом томе, 28 — во втором, в третий том включены статьи, в которых рассматривается 21 понятие. При этом анализ включал и общетеоретические понятия, и понятия из разных областей психологии (личности, социальной, экономической, организационной и др.), а также понятия в прикладной психологии. В результате был сделан вывод, что современные понятия нельзя полностью вписать ни в плеяды и кластеры понятийной матрицы Петровского и Ярошевского, ни в категориальную схему Платонова [1–2]. Авторы анализа выдвинули предположение, что данная ситуация обусловлена переходом к так называемому постпостнеклассическому этапу развития науки, который характеризуется сетевой неструктурированностью, антиномичностью, эпистемологической сложностью и латентностью.
Вообще, невозможность вписать используемые современной наукой, в том числе психологией, понятия в категориальный аппарат, разработанный внутри отдельной дисциплины, может обсуждаться и без апелляции к пост- или постпостнеклассике. О размывании междисциплинарных границ, интегративных тенденциях и синтезе научного знания философы и методологи науки говорят не одно столетие. Так, например, третий том фундаментальной работы Б.М. Кедрова о классификации наук посвящен исследованию прогноза К. Маркса о единой науке будущего. Как писал советский философ, “синтез науки в целом и во всех своих частях протекает как процесс внутреннего связывания всеми возможными путями и способами дотоле разъединенного знания. Главным ключом к постановке и решению такого рода задачи является принцип всеобщей связи” [5, с. 101]. По мере углубления связей между дисциплинами (что вовсе не означает отказа от специализации, которая в действительности будет становиться все глубже) даже сетеобразные модели организации категориального аппарата станут недостаточными, и потребуется переход к многомерности.
Можно предположить, что будет плодотворным переход от восприятия понятий как отдельных элементов к пониманию их как аккумулированных структур, образующих сложные конгломераты в виде междисциплинарных комплексов. Анализ, проведенный ранее, показал, что в этих структурах может быть прослежена тенденция “стягивания” к узловым понятиям индивидуального и коллективного субъекта [3]. Это “стягивание” отражает диалектическое разделение психологии на индивидуальную и коллективную части, возникшее в период рождения научной психологии. Так, например, оно может быть легко усмотрено в работах М. Лацаруса и Г. Штейнталя, посвященных Völkerpsychologie, а также в проекте научной психологии В. Вундта. Примечательно, что К. Данцигер, рассматривая Völkerpsychologie Вундта, предлагает использовать понятие коллективного субъекта [21, с. 308].
Связи в сложной сети современных понятий неравномерны, и можно предположить, что допустимо выделять узловые термины (метапонятия), для которых сила и плотность связей являются наибольшими. При составлении всех трех томов рассматриваемого труда были выделены разделы, которые объединили понятия, в большей степени относящиеся к определенным понятийным полям. Будучи весьма условными, они тем не менее указывали на существование архитектуры гиперсетей. Мы полагали, что перспективными задачами теоретического анализа современных понятий в психологии являются проведение углубленного анализа рассмотренных понятий, их кластеризация и построение их системно-сетевой организации.
Для реализации данной задачи был проведен библиометрический анализ понятий, рассматриваемых в обсуждаемых трех томах.
БИБЛИОМЕТРИЧЕСКИЙ АНАЛИЗ ПОНЯТИЙ, ПРЕДСТАВЛЕННЫХ В ТРЕХ ТОМАХ “РАЗРАБОТКА СОВРЕМЕННЫХ ПОНЯТИЙ ПСИХОЛОГИИ”
Анализ и визуализация терминов осуществлялась с помощью свободно распространяемой программы VOSviewer, версия 1.6.17 [23], позволяющей конструировать и визуализировать библиометрические сети. Общее количество ключевых слов и словосочетаний (с частичным “слиянием” синонимов): 451. Подсчитывалась частота совместной встречаемости авторских ключевых слов с порогом вхождения, равным 2, которому соответствуют 49 терминов из 451 (примерно 11 %). В качестве метода нормализации использовался линейно-логарифмический метод.
Также была составлена карта с порогом вхождения, равным 3, которому соответствует 14 терминов (из них связи есть между 13).
Выявленные взаимосвязи указывают, что в общем рассматриваемом понятийном пространстве выделяются сети, образующие более тесные взаимодействия, что отражает, по-видимому, понятийные узлы психологических областей. Так, понятие субъекта с большим “весом” тесно взаимосвязано с понятиями “личность”, “развитие”, “контроль поведения”, “саморегуляция”, “общество”, “духовность”, “имплицитные представления”, образуя пути к понятию “группа” и “совместная деятельность”. Понятия “субъект” и “личность” через ценности ведут к временной перспективе, коллективной памяти, групповой рефлексивности, социальным представлениям, образуя большую сеть, с путями к социальной психологии, экономической психологии и психологическим отношениям.
37 понятий из 49 образуют общую сеть, подчеркивающую обозначенную тенденцию (рис. 1).
Рис. 1. Картирование 37 понятий, входящих в три тома сборника “Разработка понятий современной психологии” (2018, 2019, 2021)
В табл. 1 приведена статистика для 37 понятий. Сортировка проведена по количеству связей и общей частоте встречаемости. По этим характеристикам наиболее “влиятельным” понятием является “субъект” (второй кластер). За ним идет понятие “личность” (входит в четвертый кластер), и далее группа понятий первого кластера “групповая рефлексивность”, “коллективная память” и чуть менее “влиятельное” понятие — “совместная деятельность”. Аналогичным по силе понятию “совместная деятельность” является понятие четвертого кластера, в который входят понятия “личность”, “временная перспектива”.
Таблица 1. Статистика по количеству связей, силе связей и частоте встречаемости для 37 терминов психологии
№ | Термин | Кластер | Количество связей | Общая сила связи | Частота встречаемости |
1 | субъект | 2 | 9 | 12 | 5 |
2 | личность | 4 | 8 | 10 | 4 |
3 | групповая рефлексивность | 1 | 8 | 10 | 3 |
4 | коллективная память | 1 | 8 | 8 | 3 |
5 | совместная деятельность | 1 | 7 | 7 | 3 |
6 | временная перспектива | 4 | 7 | 7 | 3 |
7 | когнитивные искажения | 1 | 7 | 9 | 2 |
8 | коллективный образ будущего | 1 | 7 | 9 | 2 |
9 | прогнозирование | 6 | 7 | 7 | 2 |
10 | социальные представления | 1 | 6 | 6 | 2 |
11 | развитие | 2 | 5 | 7 | 4 |
12 | дискурс | 3 | 5 | 7 | 3 |
13 | волевой контроль | 2 | 5 | 7 | 2 |
14 | контроль поведения | 2 | 5 | 7 | 2 |
15 | дискурсивные способности | 3 | 5 | 6 | 2 |
16 | интеллект | 3 | 5 | 6 | 3 |
17 | доверие | 5 | 5 | 5 | 2 |
18 | группа | 1 | 4 | 4 | 3 |
19 | экономическая психология | 5 | 4 | 4 | 3 |
20 | саморегуляция | 2 | 4 | 4 | 2 |
21 | системно-субъектный подход | 2 | 4 | 4 | 2 |
22 | сходство | 2 | 4 | 4 | 2 |
23 | когнитивный ресурс | 3 | 4 | 4 | 2 |
24 | духовность | 4 | 4 | 4 | 2 |
25 | имплицитные представления | 4 | 4 | 4 | 2 |
26 | понятие | 2 | 4 | 4 | 2 |
27 | психологическое отношение | 5 | 3 | 4 | 4 |
28 | общество | 4 | 3 | 4 | 2 |
29 | большая социальная группа | 1 | 3 | 3 | 2 |
30 | ценности | 4 | 3 | 3 | 2 |
31 | мотивация | 2 | 3 | 3 | 2 |
32 | интент-анализ | 3 | 2 | 3 | 2 |
33 | социальная психология | 5 | 2 | 3 | 2 |
34 | возможное | 6 | 2 | 3 | 3 |
35 | понимание | 6 | 2 | 3 | 2 |
36 | ментальный опыт | 3 | 1 | 2 | 3 |
37 | аттитюд | 1 | 1 | 1 | 2 |
В данной схеме картирования понятий можно выделить кластеры сетевой организации, условно обозначаемые как “индивидуальный субъект” и “коллективный субъект”, который представлен понятиями “совместная деятельность”, “коллективная память”, “групповая рефлексивность”, “психологические отношения”, фактически и образующие различные характеристики коллективного субъекта. Еще одну сеть составляют понятия “когнитивный ресурс”, “ментальный опыт”, “дискурсивные способности”, логично взаимосвязанные с совместной деятельностью.
Вторая особенность, которую мы гипотетически высказывали, — это образование сетей предметных полей, хотя и демонстрирующих взаимосвязи с другими областями психологии, но образующих более плотные структуры.
Например, если обратиться к карте из 37 понятий (рис. 1), то возможно выделение понятийных сетей социальной психологии (“психологические отношения”, “социальная психология”, “доверие”, “экономическая психология”), которые образуют тесные связи с кластером совместной деятельности, коллективной рефлексии, входящих содержательно в групповой субъект.
Или кластер субъекта, включающий развитие, саморегуляцию, контроль поведения, волевой контроль, который тесно взаимосвязан с личностью, имплицитными представлениями и духовностью, и опосредованные связи с другими понятийными полями. Такое переплетение, возможно, указывает на сетевой характер понятийной системы психологии (впрочем, нельзя не отметить, что оно может являться и следствием использования определенного метода анализа).
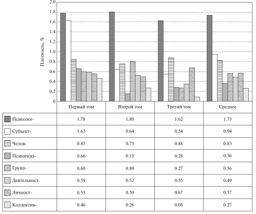
В табл. 2 представлен результат анализа определенных морфем, входящих в понятия, включенные в трехтомник “Разработка понятий современной психологии” [12–14]. Выделение морфем было осуществлено по ключевым словам, а ниже представлены наиболее общие для них морфемы (их количество и плотность, то есть частота встречаемости морфемы в общем объеме текста, выраженная в процентах).
Таблица 2. Статистика встречаемости для основных морфем психологических понятий, рассматриваемых в трех томах
Количество | Плотность | |||||||
Морфема | Первый том | Второй том | Третий том | Сумма | Первый том | Второй том | Третий том | Среднее |
психолог- | 2264 | 2596 | 2051 | 6911 | 1.78 | 1.8 | 1.62 | 1.73 |
субъект - | 2081 | 922 | 683 | 3686 | 1.63 | 0.64 | 0.54 | 0.94 |
челов- | 1082 | 1075 | 1123 | 3280 | 0.85 | 0.75 | 0.88 | 0.83 |
психич(к)- | 845 | 205 | 351 | 1401 | 0.66 | 0.15 | 0.28 | 0.36 |
групп- | 769 | 1155 | 340 | 2264 | 0.6 | 0.8 | 0.27 | 0.56 |
деятельност- | 749 | 747 | 445 | 1941 | 0.59 | 0.52 | 0.35 | 0.49 |
личност- | 701 | 721 | 851 | 2273 | 0.55 | 0.5 | 0.67 | 0.57 |
коллектив- | 591 | 373 | 106 | 1070 | 0.46 | 0.26 | 0.08 | 0.27 |
Как показывают данные табл. 2 и рис. 2, морфема “субъект-” уступает только морфеме “психолог-”, значительно опережая все другие, даже при усреднении показателя по трем томам. Эти результаты могут поддерживать выдвинутую гипотезу о существовании метапонятий и их роли в системно-сетевой организации.
Рис. 2. Динамика использованных морфем по трем томам сборника “Разработка понятий современной психологии” (2018, 2019, 2021).
Поскольку проведенный выше анализ серьезно ограничен только понятиями, представленными сотрудниками ИП РАН в сборниках, это побудило нас обратиться к библиометрическому анализу понятий, представленных в статьях тех же авторов за последние пять лет (период, охватывающий работу над тремя томами сборника).
БИБЛИОМЕТРИЧЕСКИЙ АНАЛИЗ ПОНЯТИЙ В СТАТЬЯХ SCOPUS
Данные для исследования извлекались 2 июля 2022 г. из библиографической базы данных Scopus. Для анализа брались публикации авторов, принимавших участие в написании трехтомника, опубликованные за период с 2017 по 2021 г. Всего было обнаружено 200 публикаций.
Для анализа и визуализации терминов использовалась программа VOSviewer, версия 1.6.17. Подсчитывалась частота совместной встречаемости авторских ключевых слов с порогом вхождения, равным 3, которому соответствуют 59 терминов из 1019 (примерно 6 %). В качестве метода нормализации использовался метод, основанный на оценке силы связей. На рис. 3 приведена карта для 53 понятий. 6 оказались не связаны с остальными (понятия history of Soviet psychology, B.F. Lomov и archival documents, образующий свой кластер, и три отдельных понятия: global psychology, coping behavior и psychological characteristics).
Рис. 3. Библиометрическая карта понятий для статей авторов сборника, индексированных в Scopus (2017–2021)
В табл. 3 приведена статистика для 53 понятий. Сортировка проведена по частоте встречаемости, затем по количеству связей и, наконец, общей силе связей. Наиболее часто употребляемым понятием является “интеллект” (intelligence, первый кластер), на втором месте — “личность” (personality, четвертый кластер). Понятие с наибольшим количеством и силой связей — “доверие” (trust, третий кластер).
Таблица 3. Статистика по количеству связей, силе связей и частоте встречаемости для 53 понятий
№ | Термин | Кластер | Количество связей | Общая сила связи | Частота встречаемости |
1 | intelligence | 1 | 4 | 6 | 9 |
2 | personality | 4 | 8 | 8 | 7 |
3 | social psychology | 7 | 5 | 9 | 7 |
4 | history of psychology | 7 | 4 | 6 | 7 |
5 | trust | 3 | 11 | 17 | 6 |
6 | discourse | 1 | 8 | 9 | 6 |
7 | communication | 1 | 7 | 7 | 6 |
8 | value orientations | 3 | 6 | 8 | 6 |
9 | pandemic | 2 | 5 | 7 | 6 |
10 | social trust | 2 | 11 | 13 | 5 |
11 | values | 2 | 8 | 8 | 5 |
12 | covid-19 | 2 | 7 | 8 | 5 |
13 | subject | 6 | 6 | 7 | 5 |
14 | creativity | 1 | 5 | 7 | 5 |
15 | structure of intelligence | 1 | 5 | 7 | 5 |
16 | psychology | 7 | 3 | 3 | 5 |
17 | global risks | 3 | 9 | 11 | 4 |
18 | moral foundations | 3 | 8 | 14 | 4 |
19 | time perspective | 3 | 8 | 13 | 4 |
20 | digital footprints | 2 | 6 | 6 | 4 |
21 | psychological well-being | 5 | 5 | 6 | 4 |
22 | theoretical and methodological problems | 7 | 4 | 8 | 4 |
23 | society | 4 | 4 | 5 | 4 |
24 | personality traits | 2 | 4 | 4 | 4 |
25 | understanding | 8 | 3 | 6 | 4 |
26 | resilience | 5 | 2 | 2 | 4 |
27 | insight | 1 | 1 | 3 | 4 |
28 | dynamics | 6 | 1 | 2 | 4 |
29 | mentality | 2 | 1 | 1 | 4 |
30 | theory of mind | 1 | 1 | 1 | 4 |
31 | social axioms | 3 | 7 | 11 | 3 |
32 | group reflexivity | 3 | 6 | 7 | 3 |
33 | globalization | 4 | 6 | 6 | 3 |
34 | anxiety | 2 | 5 | 6 | 3 |
35 | economic behavior | 6 | 5 | 6 | 3 |
36 | economic psychology | 6 | 5 | 5 | 3 |
37 | group identity | 3 | 5 | 5 | 3 |
38 | psychometrics | 1 | 4 | 4 | 3 |
39 | system approach | 6 | 3 | 4 | 3 |
40 | big data | 2 | 3 | 3 | 3 |
41 | coping | 5 | 3 | 3 | 3 |
42 | organizational psychology | 5 | 3 | 3 | 3 |
43 | psychology of relations | 7 | 3 | 3 | 3 |
44 | reflection | 4 | 3 | 3 | 3 |
45 | possible | 8 | 2 | 5 | 3 |
46 | determination | 8 | 2 | 4 | 3 |
47 | emotion regulation | 5 | 2 | 3 | 3 |
48 | mass consciousness | 4 | 2 | 3 | 3 |
49 | artificial intelligence | 2 | 2 | 2 | 3 |
50 | emotional intelligence | 5 | 2 | 2 | 3 |
51 | intent-analysis | 1 | 1 | 2 | 3 |
52 | development | 4 | 1 | 1 | 3 |
53 | perceived quality | 1 | 1 | 1 | 3 |
Данный анализ показывает, что использование понятия субъекта и коллективного субъекта у сотрудников Института психологии РАН занимает отнюдь не лидирующее место, уступая таким понятиям, как “интеллект” и “личность”, а частота встречаемости соотносима с такими понятиями, как “ценности”, “структура интеллекта”, “творчество” и пр. Это, вероятно, свидетельствует о том, что фокус статей сотрудников ИП РАН направлен на категории своих исследований: даже если имплицитно понятия субъекта и коллективного субъекта присутствуют, они не эксплицированы в ключевых словах и аннотациях сотрудников.
Очевидного “стягивания” понятий к “метапонятиям” индивидуального и коллективного субъекта в данном картировании обнаружить не удается. Этому могут быть разные причины. Во-первых, такая метасетевая структура действительно отсутствует. Во-вторых, возможно, что библиометрический анализ ключевых слов не является оптимальным методом для выявления реальной сетевой организации понятийного пространства с теоретически предполагаемой иерархией.
Следующий шаг анализа был направлен на получение представления о тематическом предметном поле.
Тематическая карта предметного поля строилась в пакете biblioshiny, основанного на библиотеке bibliometrix языка R [20]. Для кластеризации использовался алгоритм Leiden, который можно рассматривать как развитие алгоритма Louvain [22]. Этот алгоритм основан на локальном перемещении узлов, за которым следует улучшение (refinement) распределения и, далее, соединение сети на основе улучшенного распределения. Полученные кластеры располагаются в двухмерном пространстве, задающемся осями центральности, которая измеряет внешние связи с другими темами, и плотности, измеряющей силу внутренних связей.
Тематическая кластеризация, проведенная по 100 словам, представлена на рис. 4.
Рис. 4. Тематическая кластеризация понятий
В левом верхнем углу — нишевые темы, слабо связанные с остальными, но имеющие тесные связи внутри себя (хорошо проработаны, но малозначимы для других областей). Это — история советской психологии, архивные документы, Б.Ф. Ломов и др.
В левом нижнем углу — возникающие или исчезающие темы, которые являются как слабо связанными внутри себя, так и слабо связанными с остальными темами. Здесь сосредоточены такие темы, как понимание, детерминация, возможное, глобальная психология, культурная психология.
В правом верхнем углу — темы, двигающие предметное поле: разработанные темы, важные для всех остальных: пандемия, доверие, интеллект, коммуникация, дискурс, ценностные ориентации.
В правом нижнем углу — основные (базовые) темы: важные для всей области, но внутри себя менее проработанные (часто в силу общего характера). Это — история психологии, социальная психология, теоретические и методологические проблемы, личность, ценности, цифровые следы. В центре кластерной карты сосредоточены понятия субъекта, движущих сил и психологического благополучия. Такое центральное положение этих понятий при кластеризации может указывать на их значение для всех тематических кластеров: как для нишевых тем, так и для возникающих и продвигающих предметное поле, а также базовых тем.
В связи с дальнейшей проверкой гипотезы о “стягивании” современных понятий к более общим (индивидуальный и коллективный субъект), было решено провести дополнительный анализ библиографической базы данных Scopus статей авторов трехтомного труда, но за 20 лет (2002–2021 гг.). Основным аргументом обращения к такому анализу послужило представление о том, что авторы разрабатывали понятия в течение более длительного периода, чем пятилетний срок. Всего в анализ было включено 559 статей, что составило 2144 понятия. Далее была проведена содержательная категоризация: термины с порогом вхождения, равному 5, были включены в понятия индивидуального и коллективного субъекта, что соответствовало нашему предположению об их содержательной соотнесенности. Так, к общему понятию индивидуального субъекта были отнесены не только понятия, прямо относящиеся к нему (self (самость), self-agent (самостоятельность), subject (субъект), subjectity (субъектность), subjectivity (субъективность), но и понятия, составляющие психологическое содержание индивидуальных ресурсов субъекта: character (характер), person (человек), personality (личность), personal qualities (личностные качества), personal traits (личностные черты), personality traits (черты личности), intellect, intelligence (интеллект), в авторском переводе. К понятию коллективного субъекта отнесены термины, раскрывающие его содержание: collective (коллектив), collective emotions (коллективные эмоции), collective image of the future (коллективный образ будущего), collective meanings (коллективные ценности), collective memory (коллективная память) и другие (см табл. 4). Подобное содержательное соотнесение, безусловно, имеет свои ограничения и требует более детального рассмотрения соотношения понятий.
Таблица 4. Соответствие ключевых слов статей общим понятиям
№ | Ключевое слово | Общее понятие |
1 | character | individual subject |
2 | person | individual subject |
3 | personality | individual subject |
4 | personal qualities | individual subject |
5 | personal traits | individual subject |
6 | personality traits | individual subject |
7 | self | individual subject |
8 | self-agent | individual subject |
9 | subject | individual subject |
10 | subjectity | individual subject |
11 | subjectivity | individual subject |
12 | temperament | individual subject |
13 | the subject | individual subject |
14 | intellect | individual subject |
15 | intelligence | individual subject |
16 | collective | collective subject |
17 | collective emotions | collective subject |
18 | collective image of the future | collective subject |
19 | collective images of the future | collective subject |
20 | collective meanings | collective subject |
21 | collective memory | collective subject |
22 | collective representations of future | collective subject |
23 | group attitude to time | collective subject |
24 | group creativity | collective subject |
25 | group decision | collective subject |
26 | group dynamics | collective subject |
27 | group emotional states | collective subject |
28 | group emotions | collective subject |
29 | group identity | collective subject |
30 | group process | collective subject |
31 | group reflexivity | collective subject |
32 | group self-reflection | collective subject |
33 | mass consciousness | collective subject |
34 | small groups | collective subject |
35 | society | collective subject |
36 | mentality | collective subject |
Далее было проведено картирование 48 терминов с учетом замены при использовании линейно-логарифмического метода. На рис. 5 представлены результаты картирования понятий статей авторов трехтомного труда.
Рис. 5. Картирование 48 понятий по статьям Scopus (2002–2021 гг.) авторов трехтомного труда
На рис. 5 четко выделились два центра — индивидуального и коллективного субъектов, имеющих множественные прямые и опосредованные связи с другими понятиями. Данное картирование принципиально отлично от распределения понятий при анализе статей в базе данных Scopus за пятилетний период, что свидетельствует о продолжительном периоде инкубации и разработке понятий. Картирование понятий на рис. 5 наглядно показывает, что индивидуальный и коллективный субъекты становятся центрами сетевой организации понятийного пространства.
ЗАКЛЮЧЕНИЕ
Проведенный библиометрический анализ понятий, рассмотренных в трех томах “Разработка современных понятий психологии” (2018, 2019, 2021), дает дополнительные данные, которые могут рассматриваться как подтверждение представления о взаимосвязанности понятийных структур, их взаимодополнении и образовании тематических полей. Анализ понятий трех томов показал, что картирование понятий позволяет выделить кластеры сетевой организации, среди которых есть два, которые можно условно обозначить как “индивидуальный субъект” и “коллективный субъект” Анализ морфем по трем томам свидетельствует, что морфема “субъект-” уступает только морфеме “психолог-”, опережая по частоте встречаемости все остальные, даже если усреднять показатели по трем томам. Эти результаты могут поддерживать гипотезу о существовании “метапонятий” и их роли в системно-сетевой организации.
Сравнительный анализ понятий в статьях, опубликованных авторами сборника и индексированных в базе Scopus за пятилетний период, показал, что использование понятия “субъекта” сотрудниками Института психологии РАН занимает отнюдь не лидирующее место и уступает таким понятиям, как “интеллект”, “личность”, “доверие” и ряду других. В то же время картирование понятий в статьях авторов труда в базе Scopus за двадцать один год демонстрирует центральное положение понятий индивидуального и коллективного субъекта, их множественные связи с другими категориями в психологическом пространстве. Наше предположение, что авторские категории теоретически могут быть сопоставлены с понятиями индивидуального и коллективного субъекта, но не эксплицированы в ключевых словах и аннотациях за пятилетний период, нашло свое подтверждение в картировании за 20 лет.
Тематический анализ показывает, что кластер, содержащий понятия субъекта, динамики и психологического благополучия, по осям центральности и плотности занимает срединное положение относительно других кластеров. Такое центральное положение этих понятий при кластеризации может указывать на их связь со всеми тематическими кластерами вне зависимости от того, в каком квадранте она находятся. Отметим, что этот вывод следует принимать с осторожностью, поскольку результаты кластеризации в существенной степени зависят от используемого алгоритма и др. параметров1.
Также следует обратить внимание на то, что при построении понятийной карты на основе авторских ключевых слов публикаций, индексированных в Scopus, “стягивания” терминов в комплексы, которые могут быть обозначены как индивидуальный и коллективный субъекты, обнаружить не удалось. Таким образом, возможно, что подобное “стягивание” для ключевых слов публикаций сборника ограничено только теми понятиями, которые разрабатывают авторы, а не является отражением внутренней понятийной динамики предметного поля психологии. В этом контексте необходимо отметить ограниченные возможности библиометрического анализа, который не позволяет выявить иерархические отношения между понятиями. В любом случае, даже если бы в ходе количественного анализа удалось свести все понятийное поле к двум кластерам, которые условно можно было бы обозначить как “индивидуальный субъект” и “коллективный субъект” (а этого сделать не удалось), остался бы открытым вопрос о том, являются ли они фундаментальными метапонятиями, отражающими исторически сложившееся разделение психологии на индивидуальную и коллективную части, или просто представляют собой числовые фикции. Очевидно, что ответ на этот вопрос не может быть найден в результатах библиометрического анализа.
Серьезными ограничениями такого типа анализа являются и рамки, заданные ключевыми словами и аннотациями. Более того, статистические процедуры также оставляют за рамками возможности совмещения количественного анализа “веса” и плотности взаимосвязей понятий с их содержанием. Однако представляется, что визуализация сетевой структуры организации современных понятий и их тематической кластеризации может служить подспорьем для теоретико-методологической работы психологической науки.
1 Так, например, алгоритм Infomap приводит к получению тематической карты, на которой кластер, содержащий понятия “субъект”, “движущие силы” и “психологическое благополучие”, расположен в правом верхнем квадранте (движущие темы), а алгоритм Walktrap, помещая понятие “психологическое благополучие” в другом кластере, располагает кластер с понятиями “субъект” и “движущие силы” в правом нижнем квадранте (базовые темы).
About the authors
A. L. Zhuravlev
Institute of Psychology RAS
Email: psy.journ@yandex.ru
Professor, Scientific Adviser of Institute of Psychology RAS
Russian Federation, Moscow, Yaroslavskaya str., 13, building 1E. A. Sergienko
Institute of Psychology RAS
Email: psy.journ@yandex.ru
Chief researcher of the laboratory of psychology of development of the subject in normal and post-traumatic States
Russian Federation, MoscowAlexander A. Fedorov
Novosibirsk State University
Author for correspondence.
Email: psy.journ@yandex.ru
Head of the Department of Clinical Psychology
Russian Federation, NovosibirskReferences
- Zhuravlev A.L., Sergienko E.A. Analiz sovremennyh ponjatij v psihologii. Chast' I. Opyt sistematizacii ponjatij. Psikhologicheskii zhurnal, 2021. V. 42. № 3. P. 5–15.
- Zhuravlev A.L., Sergienk E.A. Analiz sovremennyh ponjatij v psihologii. Chast' II. Razrabotka sovremennyh ponjatij uchenymi instituta psihologii RAN. Psikhologicheskii zhurnal. 2021. V. 42. № 4. P. 5–15.
- Zhuravlev A.L., Sergienko E.A. Sistemno-setevaja organizacija sovremennyh ponjatij psihologii (na primere razrabotok sotrudnikov Instituta psihologii RAN). Psikhologicheskii zhurnal. 2022. V. 43. № 3. P. 5–14.
- Gusel'ceva M.S. Jevoljucija psihologicheskogo znanija v smene tipov racional'nosti. Moscow: Akropol', 2013.
- Kedrov B.M. Klassifikacija nauk. Prognoz K. Marksa o nauke budushhego. Moscow: Mysl', 1985.
- Kostrigin A.A., Husjaino T.M. Imja L.S. Vygotskogo kak ob#ekt Digital Humanities. Istorija rossijskoj psihologii v licah: Dajdzhest. 2016. № 6. P. 44–66.
- Kostrigin A.A., Husjainov T.M. Digital Humanities v istorii psihologii (na primere familii V.M. Behtereva). Cifrovoj uchenyj: laboratorija filosofa. 2018. V. 1. № 1. P. 160–179.
- Mazilov V.A., Batyrshina A.R. Vozmozhnosti naukometricheskogo podhoda v istoriko-psihologicheskom issledovanii (na primere problemy voli v otechestvennoj psihologii). Jaroslavskij psihologicheskij vestnik. 2016. № 36. P. 63–74.
- Morgun A.N. Naukometricheskoe prostranstvo issledovanij po istorii psihologii: prirosty i izderzhki. Znanie. Ponimanie. Umenie. 2019. № 2. P. 136–146.
- Morgun A.N., Olejnik Ju.N., Zhuravlev A.L. Tematicheskie napravlenija otechestvennoj istorii psihologii kak vnutrennie faktory razvitija otrasli: naukometricheskij analiz na materiale RINC. Institut psihologii Rossijskoj akademii nauk. Social'naja i jekonomicheskaja psihologija. 2021. V. 6. №. 1. P. 219–251.
- Psihologicheskie issledovanija v internet-prostranstve: poiskovye sistemy, social'nye seti, jelektronnye bazy. Eds. A.L. Zhuravlev, D.A. Kitova. Moscow: Izd-vo “Institut psihologii RAN”, 2020.
- Razrabotka ponjatij sovremennoj psihologii. Eds. E.A. Sergienko, A.L. Zhuravlev. Moscow: Izd-vo “Institut psihologii RAN”. 2018.
- Razrabotka ponjatij sovremennoj psihologii. V. 2. Eds. A.L. Zhuravlev, E.A. Sergienko, G.A. Vilenskaja. Moscow: Izd-vo “Institut psihologii RAN”. 2019.
- Razrabotka ponjatij sovremennoj psihologii. V. 3. Eds. A.L. Zhuravlev, E.A. Sergienko, N.E. Harlamenkova, G.A. Vilenskaja. Moscow: Izd-vo “Institut psihologii RAN”. 2021.
- Sergienko E.A. Sistemno-sub#ektnyj podhod: obosnovanie i perspektiva. Psikhologicheskii zhurnal. 2011. V. 32. № 1. P. 120–132.
- Fedorov A.A. Bibliometricheskij analiz publikacij po postneklassicheskoj psihologii v Scopus. Reflexio. 2018. V. 11. № 1. P. 37–46.
- Fedorov A.A. Bibliometricheskij analiz publikacij po postneklassicheskoj psihologii v RINC. Voprosy psihologii. 2019. № 4. P. 135–145.
- Fedorov A.A. Postmodernizm v psihologii: bibliometricheskij analiz. Psihologija. Zhurnal Vysshej shkoly jekonomiki. 2021. V. 18. № 2. P. 410–423.
- Filippu O.Ju. Bibliometricheskij analiz ponjatija makiavellizma v zarubezhnoj i otechestvennoj psihologii. Sovremennaja zarubezhnaja psihologija”. 2020. V. 9. № 4. P. 120–128.
- Aria M., Cuccurull C. Bibliometrix: An R-tool for comprehensive science mapping analysis. Journal of informetrics. 2017. V. 11. № 4. P. 959–975.
- Danziger K. Origins and basic principles of Wundt’s Völkerpsychologie. British Journal of Social Psychology. 1983. V. 22. № 4. P. 303–313.
- Traag V.A., Waltman L., Van Eck N.J. From Louvain to Leiden: guaranteeing well-connected communities. Scientific reports. 2019. V. 9. № 1. P. 1–12.
- Van Eck N.J., Waltman L. Software survey: VOSviewer, a computer program for bibliometric mapping. Scientometrics. 2010. V. 84. № 2. P. 523–538.
Supplementary files







