Извержения вулкана Ключевской (Камчатка) в 2019–2021 гг.
- Авторы: Жаринов Н.А.1, Демянчук Ю.В.1
-
Учреждения:
- Институт вулканологии и сейсмологии ДВО РАН
- Выпуск: № 2 (2024)
- Страницы: 3-13
- Раздел: Статьи
- URL: https://bakhtiniada.ru/0203-0306/article/view/263883
- DOI: https://doi.org/10.31857/S0203030624020019
- EDN: https://elibrary.ru/MQOSFD
- ID: 263883
Цитировать
Полный текст
Аннотация
Приведены данные об объемах извергнутых продуктов побочных и вершинных извержений в период с 1932 по 1989 гг. Показано преобладание объемов продуктов побочных извержений над вершинными, произошедшими в этот период. Рассматриваются изменения характера извержений в дальнейшем. С 1932 по 1989 гг. на вулкане происходили вершинные и побочные извержения, с 1990 по 2016 гг. – только вершинные. Изменения наступили в 2016 г., когда вновь возобновились побочные прорывы на склонах вулкана. Отмечается характерная особенность: после окончания всех вершинных извержений происходило образование провалов в центральном кратере. Приводятся характеристики провалов. Образование провалов связывается с изменениями плотности и объемов магмы при ее подъеме к дневной поверхности. Приводятся данные о вершинных извержениях 2019–2021 гг. и побочном извержении им. Г.С. Горшкова 2021 г. Представлены новые данные об изменениях морфологии вершинного кратера в ходе извержений и провалах в кратере после завершения извержений.
Полный текст
ВВЕДЕНИЕ
Крупнейший базальтовый вулкан Камчатки – Ключевской (56˚.1 с.ш., 160˚.6 в.д.) характеризуется вершинными и побочными извержениями на его склонах (рис. 1). В настоящее время получены точные данные о 19 побочных и 20 вершинных извержениях, произошедших за период с начала систематического изучения вулкана Ключевской с 1935 г. Можно выделить определенные циклы в извержениях вулкана. Побочные прорывы поднимались с высоты 450 м в 1932 г. до высоты 4200 м в 1989 г. [Федотов, Жаринов, 2007]. В течение 26 лет, с 1990 по 2016 гг., на вулкане происходили только вершинные извержения [Жаринов, Демянчук, 2016]. Существуют две точки зрения на вклад вершинных и побочных извержений в формировании постройки вулкана и расход изверженных продуктов. По одной версии, соотношение вершинных и побочных извержений оценивается 100:1, т.е. вклад побочных извержений в формирование вулкана составляет всего 1% [Озеров, 2019]. В то же время в активный период 1932–1989 гг., когда происходили одновременно и вершинные, и побочные извержения, всеми вершинными извержениями было извергнуто 450 млн м3 лавы и 326 млн м3 пирокластики (общий весовой объем 1516 млн т). Отношение объемов лав и пирокластики равно 0.72.
Рис. 1. Общий вид на вулкан Ключевской (вид с северо-востока). На переднем плане видны шлаковые конусы побочных прорывов. Фото Ю.В. Демянчука.
При всех побочных извержениях за это же время было извергнуто 763 млн м3 лав и 63 млн м3 пирокластики (общий весовой объем 1984 млн т). Отношение лав и пирокластики равно 0.08. В целом в 1932–1989 гг. во время побочных извержений было извергнуто 57% общего веса их продуктов и за это же время от вершинных извержений поступило 43%. Объем изверженного материала от побочных извержений превышал объем от вершинных извержений. Вершинные извержения этого периода были преимущественно эксплозивно-эффузивные, во время побочных извержений наблюдалась слабая эксплозивная деятельность и излияние лавы из трещин, возникших в ходе извержения [Федотов, Жаринов, 2007]. Таким образом, интервал времени с 1932 по 1989 гг., когда происходили почти непрерывно вершинные извержения, сопровождаемые или одновременно с побочными прорывами на склонах вулкана, можно считать исключительным в развитии вулкана.
Изучение вклада вершинных и побочных извержений в формирование Ключевского вулкана важно при изучении петрологии базальтов. Отметим, что во время вершинных извержений на дневную поверхность, согласно классификации А.Ю. Озерова [2019], поступают высокоглиноземистые андезибазальты, а во время побочных извержений – глиноземистые и магнезиальные андезибазальты, а также высокомагнезиальные базальты [Озеров, 2019].
ПЕРЕСТРОЙКА ДИНАМИКИ ИЗВЕРЖЕНИЙ КЛЮЧЕВСКОГО ВУЛКАНА
Изменения в характере деятельности вулкана начали происходить в 2016 г. После серии глубоких землетрясений І–ІІ типа 25 февраля–19 марта в кратере вулкана появилось зарево от раскаленных бомб, что свидетельствовало о начале нового вершинного извержения. В ходе вершинного извержения 2016 г. в восточном Апахончичском желобе произошел обвал, а вслед за ним на отметке 4600 м началось субтерминальное побочное извержение им. Е.К. Мархинина. После 26-летнего перерыва на склоне вулкана вновь образовался побочный прорыв [Жаринов и др., 2018].
Из расчетов установлено свойство магматической питающей системы вулкана: одинаковое избыточное давление необходимо для подъема магм как по центральному выводному каналу к вершинному кратеру, так и по радиальным дайкам к жерлам побочных извержений [Федотов, 2006]. Причиной подъема магм в питающей системе вулкана является избыточное давление, определяемое соотношением:
где ρм – плотность магмы, ρс – плотность окружающих пород, g – ускорение силы тяжести, h – глубина. Это соотношение определяет минимальную величину избыточного давления. Для перемещения магмы по подводящему каналу или ответвлениям от него требуется дополнительное давление [Федотов, 2006]. Внедрение даек в толще коры происходит в случае, если избыточное давление равно 100–200 бар и более. Такое избыточное давление возникает на глубинах 2–6 км в нижних слоях вулканогенно-осадочного слоя, где плотность магмы становится близкой плотности окружающих пород. Здесь создаются условия для внедрения магмы, образования силлов и даек.
Движение магмы в питающем канале можно рассматривать как движение жидкости, обладающей большой вязкостью. Тогда перемещение магмы (жидкости) под давлением будет происходить в направлении наименьшего сопротивления. Для вулканов непрерывного действия, таких как Ключевской и Шивелуч [Федотов, 1991], в связи с постоянной вулканической активностью вероятность “засорения” основного питающего канала маловероятна, поэтому сопротивление движению магмы в нем минимально. Из этого следует, что вероятность извержений через вершинный кратер больше, чем появление побочных прорывов. Очевидным является факт того, что побочные прорывы будут происходить на больших высотах, где расстояния от основного канала до земной поверхности меньше, и меньше путь внедрения магмы по боковым дайкам и трещинам.
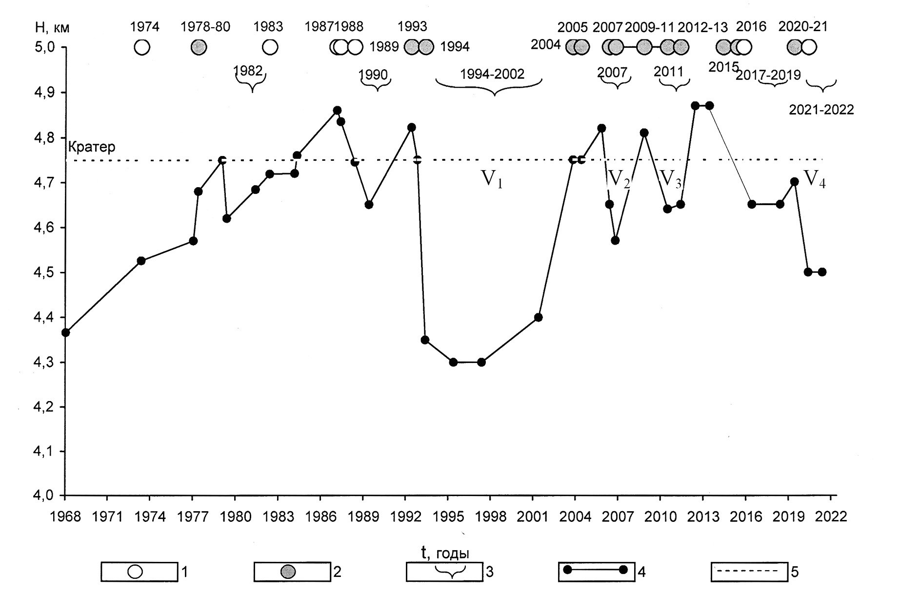
После окончания побочных прорывов, с 1990 по 2016 гг., на вулкане происходили только вершинные извержения. Существует мнение, что одноразовые каналы побочных извержений образуются в результате перекрытия генерального магмавода. Такие перекрытия могут образовываться при проседании конуса вулкана, смещениях пород при землетрясениях [Озеров, 2019]. С таким предположением можно согласиться частично, так как множество провалов, происходящих с 1993 по 2015 гг., не сопровождались побочными прорывами (рис. 2).
Рис. 2. Изменение высот дна кратера и вершины вулкана Ключевской относительно уровня моря за 1968–2022 гг. 1 – побочное извержение; 2 – вершинное извержение; 3 – провалы вершинного кратера; 4 – высота дна вершинного кратера и его вершины; 5 – уровень лавы при заполненном продуктами извержений кратере и начале излияния лавы на склоны вулкана.
Крупные события на Ключевском вулкане в 1968–2022 гг. завершались проседанием магматической колонны и образованием провалов в вершинном кратере. По-видимому, на провалы в кратере главное влияние имеют процессы, происходящие непосредственно в питающем канале: изменение магматического давления и изменение плотности магмы. Плотность жидких магм близка 2.2–3.0 г/см3, что примерно на 10% меньше плотности твердого корового или мантийного вещества, из которого выплавляется магма. Разница плотностей обусловлена расширением вещества при плавлении.
В рассматриваемые годы наибольший провал образовался после окончания пароксизмального вершинного извержения 7 сентября–2 октября 1994 г. Терминальное извержение 1994 г. относится к числу наиболее мощных вершинных извержений Ключевского вулкана, оно сопоставимо с терминальным извержением 1944–1945 гг. [Токарев, 1966]. Глубина провала от верхней кромки кратера после 1994 г. была близка 450 м. В дальнейшем провалы после завершения вершинных извержений происходили в 2006, 2009, 2016–2019, 2021–2022 гг. Была выполнена оценка объемов кратеров после провалов 1994–2002, 2006, 2009, 2021–2022 гг. и определены скорости заполнения трех первых названных (табл. 1).
Таблица 1. Характеристики провалов на вулкане Ключевской в 1994–2022 гг.
Время провала, гг. | Диаметр низа провала, м | Диаметр верха провала, м | Объем провала, км3 | H ‒ глубина, м | Расход, км3/ год | Форма провала |
V1 1994‒2002 | 200 | 400 | 0.074 | 400 | 0.0093 | Усеченный конус |
V2 2007 | - | 700 | 0.011 | 110 | 0.0100 | Конус |
V3 2011 | 100 | 350 | 0.007 | 250 | 0.0058 | Усеченный конус |
V4 2021‒2022 | 100 | 350 | 0.013 | 300 | - | Усеченный конус |
Получены расходы изверженных продуктов для первых трех провалов: 0.0093 км3/год, 0.0100 км3/год, 0.0058 км3/год (см. табл. 1). При среднем расходе 0.0083 км3/год заполнение провального кратера, существующего в настоящее время, может произойти через 1.6 года. По уровню проседания в кратере, т.е. глубине провалов, можно определить высоту подъема жидкой лавы в питающем канале вулкана.
АКТИВНОСТЬ КЛЮЧЕВСКОГО ВУЛКАНА В НОЯБРЕ 2019 – ФЕВРАЛЕ 2021 гг.
После окончания извержения 2016 г. на вершине вулкана образовался кратер-провал диаметром около 100 м и глубиной порядка 300 м. Его объем, по нашим оценкам, был равен примерно 0.003 км3. Появление свечения и стромболианские взрывы в центральном кратере 11 ноября 2019 г., обнаруженные по видео- и визуальным наблюдениям из пос. Ключи, можно считать началом нового вершинного извержения Ключевского вулкана (рис. 3а).
Рис. 3. Характерные моменты І этапа извержения (11.11.2019–28.06.2020 гг.). а – начало извержения 11 ноября 2019 г.; б – усиление активности 20 января 2020 г.; в – мощная стромболианская активность с выбросом бомб до 1.5 тыс. м 8 марта 2020 г.; г – стромболианская активность 12 апреля, высота выброса бомб до 600–800 м; д – стромболианская активность и излияние лавовых потоков по Апахончичскому желобу 21 апреля 2020 г.; е – продолжение стромболианской деятельности и излияние лавовых потоков по Апахончичскому желобу 10 мая 2020 г.; ж – излияние лавовых потоков по Апахончичскому желобу, на заднем плане виден шлаковый конус высотой до 50 м; з – вид на Апахончичский желоб с юго-востока, на переднем плане контуры отложений новых лавовых потоков извержения 30 мая 2020 г. Фото Ю.В. Демянчука.
Извержение состояло из двух эксплозивно-эффузивных этапов эруптивной деятельности вершинного кратера и третьего этапа – работы нового побочного прорыва. Первый этап с 11.11.2019 по 28.06.2020 гг. был самым продолжительным – 230 дней; второй с 02.10.2020 по 08.02.2021 гг. – 129 дней. В завершение, на третьем этапе на северо-западном склоне вулкана с 18 февраля по 20 марта 2021 г. происходил новый побочный прорыв. Прорыв был назван в честь известного вулканолога члена-корреспондента АН СССР Г.С. Горшкова.
В период с декабря 2019 по февраль 2020 гг. над кратером вулкана Ключевской временами отмечались свечение и слабая стромболианско-вулканская активность (см. рис. 3б). По наблюдениям из пос. Ключи повышенная стромболианско-вулканская деятельность периодически продолжалась далее с начала марта до конца мая 2020 г. В это время кратковременные усиления и ослабления стромболианской активности в вершинном кратере сопровождались мощными выбросами раскаленных бомб над кратером: 04.03, 08.03, 20.03, 04.04, 10‒13.04, 21.04, 04.05, 10‒15.05 (см. рис 3в‒3ж). Периоды усиления и ослабления деятельности вулкана изменялись в пределах 1–2 недель.
Шлейфы с пеплом отмечались 6, 21–22 и 30 января, 4 и 23 февраля, 2, 8–10, 12, 15, 19–20, 25–30 марта, 6–22, 26–30 апреля. Шлейфы формировались во время пепловых выбросов над кратером вулкана. Высоты таких выбросов изменялись от 5.0 до 6.5 тыс. м. Направление распространения пеплов было преимущественно на восток. Усиление выбросов пепла продолжалось в мае: 2, 8, 10, 13, 15–17, 21–22, 25–26, 28–29 и 31.
Резкое усиление частоты и мощности стромболианских и вулканских взрывов отмечалось 8 марта (см. рис. 3в). В ночное время в кратере наблюдали от 7 до 29 сильных взрывов в час с высотой выброса раскаленных бомб до 500 м над кратером, а также более слабые взрывы (по данным видеозаписей Камчатской вулканологической станции, п. Ключи) [Озеров и др., 2020].
Внедрение даек и других пластовых интрузий является главной причиной землетрясений, происходящих в активные периоды деятельности вулкана. В 2019–2021 гг. сейсмическая активность происходила по-прежнему в интервале глубин 20–35 км, на глубинах 0–5 км, и в постройке вулкана. Во время усиленной вулканической деятельности, с выбросами раскаленных бомб и пепла, наблюдалось увеличение амплитуды вулканического дрожания (ВД) с 0.5 мкм/с до 10–12 мкм/с и последующий спад до нуля к окончанию активной фазы (рис. 4д). По данным сейсмостанции “Цирк” увеличение амплитуды ВД стало возрастать с начала февраля c 0.5–2 мкм/с до 3–5 мкм/с (см. рис. 4д).
Рис. 4. Суточные характеристики сейсмической и вулканической активности вулкана Ключевской в 2019–2021 гг. а ‒ изменение высоты парогазовых (светлые линии) и газо-пепловых выбросов (темные линии); б – число вулканических землетрясений I‒II типа; в – число вулканических землетрясений II‒III типа; г – число вулканических землетрясений IV типа; д – среднее значение вулканического дрожания Аср/Т (мкм/с). Тип землетрясений дан по классификации П.И. Токарева. Характеристики сейсмической активности приведены по данным КФ ФИЦ ЕГС РАН. 1 – вершинные извержения, 2 – побочные извержения.
После начала извержения сейсмичность перемещалась в верхние горизонты земной коры и в постройку вулкана (см. рис. 4а–4г). С окончанием активных фаз происходил обратный процесс: постепенно уменьшалось количество поверхностных землетрясений, увеличивалось число землетрясений ІІ–ІІІ типа в промежуточной зоне и вновь появлялись глубокие землетрясения. Появление землетрясений ІІ–ІІІ, а затем и глубоких І типа (см. рис. 4б, 4в), свидетельствовало об оттоке магмы в подводящем канале.
Излияние лавы на склоны вулкана также сопровождалось увеличением вулканического дрожания (ВД) (см. рис. 4д). К 20 марта 2020 г. ВД на сейсмостанции CIR скачкообразно возросло до 10–20 мкм/с и 10 апреля достигло своего максимума 32 мкм/с, после чего постепенно пошло на спад.
17 апреля 2020 г. активность Ключевского вулкана находилась на умеренном уровне, над кратером наблюдался шлейф белого цвета, распространявшийся на высоте до 500 м в северо-восточном направлении. 18 апреля 2020 г. с 19:47 до 20:02 местного времени серией обвалов была разрушена юго-восточная стенка кратера. От взаимодействия лавы со льдом, покрывающей склоны вулкана, обвалы сопровождались образованием фреатических взрывов. При этом возникали протяженные грязевые потоки (лахары). В это же время происходили мощные обвалы и камнепады, связанные с разрушением лавового потока извержения 2016 г. Одновременно в центральном кратере отмечались частые стромболианские взрывы с выбросом раскаленных лавовых фрагментов. Протяженность лавового потока по Апахончичскому ЮВ желобу на 13.12.2020 г. составляла 2.8 км, азимут распространения 148˚, а протяженность отложений грязекаменных потоков 4.5 км. При движении лавового потока по Апахончичскому желобу отмечались многочисленные ответвления потоков лавы от основного русла (рис. 5з). По спутниковым данным 2 мая в восточной части кратера Ключевского вулкана было зафиксировано появление небольшого шлакового конуса. 14 мая из пос. Ключи в кратере были четко видны три центра стромболианской активности. По наблюдениям со станции “Апахончич” 30 мая 2020 г. над юго-восточной кромкой вершинного кратера стала видна вершина восточного шлакового конуса. Его высота составляла около 20 м, диаметр основания 140 м, объем 165 тыс. м3.
Рис. 5. Характерные моменты ІІ этапа извержения (02.10.2020–08.02.2021 гг.). а – возобновление излияния лавы в Апахончичский юго-восточный желоб 7 октября 2020 г.; б – фонтанирование лавы и ее излияние в юго-восточный желоб 24.10.2020 г.; в – фонтанирование лавы и ее излияние в юго-восточный желоб 13.11.2020 г.; г – продолжение излияния лавы в юго-восточный желоб 21 ноября 2020 г.; д – усиление излияния лавы в юго-восточный желоб 6 декабря 2020 г.; е – излияние лавы на юго‒юго-западный склон вулкана, поток опустился до 3.7 тыс. м 24.12.2020 г., справа – потухший вулкан Камень; ж – сход палящих лавин в юго-восточный желоб 2 января 2021 г.; з – излияние лавы на юго‒юго-западный склон 4 января 2021 г.
С 10–12 мая на сейсмостанции CIR сохранилась тенденция к понижению ВД, его уровень снизился к концу июня до 3–4 мкм/с. После прекращения в первых числах июля ВД возобновились землетрясения ІV типа, что свидетельствовало о падении избыточного давления в питающей системе вулкана и завершении І этапа извержения (см. рис. 4г). С окончанием І этапа извержения постепенно уменьшалось количество поверхностных землетрясений, увеличивалось число землетрясений в промежуточной зоне и вновь стали появляться глубокие землетрясения (см. рис. 4б–г). Такой процесс миграции землетрясений с больших глубин к поверхности и обратно наблюдался перед другими вершинными извержениями, происходящими с начала XXІ века [Федотов, Жаринов, 2007; Жаринов, Демянчук, 2016].
О продолжении интрузивной деятельности в июле месяце свидетельствовало появление большого количества взрывных землетрясений (до 400 в сутки). В июле, августе и до середины сентября происходили землетрясения II–ІІІ типа и глубокие І типа (см. рис. 4б, 4в), что свидетельствовало об оттоке магмы в подводящем канале. С начала октября вновь возобновляется активность вершинного кратера, вновь появляются землетрясения ІV типа, а с конца сентября – начала октября возобновляется ВД. В первой декаде декабря средняя амплитуда ВД возросла с нуля до 8–10 мкм/с (см. рис. 4д).
С 2 октября 2020 г. по 8 февраля 2021 г. происходил второй этап вершинного извержения Ключевского вулкана (см. рис. 5). Во время извержения в октябре наблюдались лавовые потоки в Апахончичском желобе, в начале декабря 2020 г. на юго ‒ юго-западном склоне, 1 января на юго-западном склоне и 22 января на юго-западном и юго-восточном склонах. В ходе извержения наблюдались обвалы кромки кратера. В результате обвала 8 декабря на юго‒юго-западной кромке вершинного кратера сформировалась пепловая туча высотой до 2 км над кратером вулкана. Пепловый шлейф распространился в северо-восточном направлении. После обвала в юго‒юго-западном секторе вулкана началось излияние лавы из вершинного кратера. В этом же направлении происходило излияние лавы во время вершинного извержения 2013 г. В октябре 2020 г. извержение вершинного кратера вновь продолжалось с излиянием лавы на юго‒юго-западном склоне вулкана. Во время извержения лавовые потоки наблюдались в Апахончичском желобе, в начале декабря 2020 г. на юго‒юго-западном склоне, 1 января на юго-западном склоне и 22 января на юго-западном и юго-восточном склонах. 21 января с юго-восточной кромки кратера в течение 1 часа произошло несколько крупных обвалов.
ПОБОЧНОЕ ИЗВЕРЖЕНИЕ ИМ. Г.С. ГОРШКОВА
После длительного перерыва 18 февраля 2021 г. на северо-западном склоне Ключевского вулкана на высоте около 2800 м н.у.м. началось новое побочное извержение, названное в честь известного вулканолога члена-корреспондента АН СССР Г.С. Горшкова. В первые дни активность наблюдалась в двух центрах, расположенных недалеко друг от друга (примерно в 500 м). Основные события происходили в верхнем центре. В нижнем центре лава вышла на поверхность и через неделю остановилась. В дальнейшем работал только верхний центр. С первых дней работы побочного прорыва на истоке первого центра начал расти шлаковый конус. Рост конуса сопровождался выбросами лавы с частотою до 50 в минуту. У подножия шлакового конуса образовалась бокка, из которой изливалась лава. Лавовый поток распространялся в северо-западном направлении. В результате контакта лавового потока с ледником Эрмана образовался небольшой грязевой поток, который сошел по р. Крутенькой и достиг дороги Ключи–Апахончич (рис. 6).
Рис. 6. Побочный прорыв им. Г.С. Горшкова (18.02.2021–20.03.2021 гг.), расположенный на высоте 2800 м на северо-западном склоне вулкана Ключевской. Фото Ю.В. Демянчука.
Для получения количественных характеристик, происходящих на земной поверхности, была выполнена аэрофотосъемка с использованием квадрокоптера Mavik-2PRO. Съемка была привязана к опознакам, координаты которых получены с помощью GPS-измерений спутниковыми геодезическими приемниками Topcon. По цифровой модели прорыва получены следующие характеристики: общая протяженность лавового потока составила 1350–1400 м, средняя ширина потока – 300 м, максимальная отметка шлакового конуса – 2909 м при средней высоте 35 м (дата съемки 23 апреля 2021 г.). По второму центру прорыва получены следующие данные: протяженность трещины прорыва была близка 230 м, отметка верхней кромки трещины прорыва 2744 м. По предварительным оценкам объем лавового потока побочного прорыва им. Г.С. Горшкова составил 0.00515 км3, объем шлакового конуса – 0.00014 км3 [Жаринов и др., 2022].
В ходе многолетних исследований Ключевского вулкана было установлено, что перед вершинными и побочными извержениями появляются рои слабых землетрясений. Это являлось основным прогнозным признаком извержений. Последние побочные прорывы 2016 и 2021 гг. не предварялись роями землетрясений.
ЗАКЛЮЧЕНИЕ
Отметим главные результаты и выводы, полученные на основе данных об извержениях вулкана Ключевской. После серии вершинных извержений, происходивших на вулкане в 1990–2016 гг., с 2016 г. на его склонах произошли побочный прорыв им. Е.К. Мархинина (26.04–06.11.2016 гг.) и побочный прорыв им. Г.С. Горшкова (18.02 – 20.03.2021 г.). Во время побочных прорывов, как и в предыдущие годы, происходила преимущественно эффузивная деятельность. Оба прорыва возникли на больших высотах: на 4.5 тыс. м – прорыв Е.К. Мархинина и на высоте 2.9 тыс. м – прорыв Г.С. Горшкова, что свидетельствует о высоком уровне стояния лавы в питающем канале вулкана.
Перед вершинными извержениями происходило перемещение эпицентров землетрясений с глубин 25–30 км к дневной поверхности, а также прекращение землетрясений на глубинах 25–30 км после начала извержений.
После окончания вершинных извержений 2019–2021 гг., как и в предыдущие годы, наблюдались провалы в центральном кратере вулкана Ключевской. Глубины провалов могут свидетельствовать об уровне стояния лавы в питающем канале вулкана.
КОНФЛИКТ ИНТЕРЕСОВ
Авторы данной работы заявляют, что у них нет конфликта интересов.
ФИНАНСИРОВАНИЕ РАБОТЫ
Данная работа финансировалась за счет средств бюджета Института вулканологии и сейсмологии ДВО РАН. Никаких дополнительных грантов на проведение или руководство данным конкретным исследованием получено не было.
Об авторах
Н. А. Жаринов
Институт вулканологии и сейсмологии ДВО РАН
Автор, ответственный за переписку.
Email: nzhar@kscnet.ru
Россия, бульвар Пийпа, 9, Петропавловск-Камчатский, 683006
Ю. В. Демянчук
Институт вулканологии и сейсмологии ДВО РАН
Email: nzhar@kscnet.ru
Россия, бульвар Пийпа, 9, Петропавловск-Камчатский, 683006
Список литературы
- Жаринов Н.А., Демянчук Ю.В. Вершинные извержения вулкана Ключевской (Камчатка) в начале XXІ столетия, 2003–2013 гг. // Вулканология и сейсмология. 2016. № 1. С. 3–20.
- Жаринов Н.А., Демянчук Ю.В., Борисов И.А. Извержения вулкана Ключевской в 2015– 2016 гг. // Вулканология и сейсмология. 2018. № 2. С. 3–13.
- Жаринов Н.А., Демянчук Ю.В., Цветков В.А. Опыт применения квадрокоптера Mavic PRO для изучения побочного извержения им. Г.С. Горшкова на вулкане Ключевской в феврале ‒ марте 2021 г. // Материалы конференции “Вулканизм и связанные с ним процессы”. Петропавловск-Камчатский: ИВиС ДВО РАН, 2022. С. 38–41.
- Озеров А.Ю., Гирина О.А., Мельников Д.В. и др. Вулкан Ключевской: новый прорыв им. Г.С. Горшкова, 2021 г. (п-ов Камчатка) // Вестник КРАУНЦ. Науки о Земле. 2020. № 1. Вып. 49. С. 5–9.
- Озеров А.Ю. Ключевской вулкан: вещество, динамика, модель. М.: ГЕОС, 2019. 306 с.
- Токарев П.И. Извержения и сейсмический режим Ключевской группы вулканов. М.: Наука, 1966. 117 с.
- Федотов С.А. О механизме вулканической деятельности на Камчатке, Курило-Камчатской дуге и в сходных структурах // Действующие вулканы Камчатки. Т. 1 / Отв. ред. С.А. Федотов, Ю.П. Масуренков. М.: Наука, 1991. 309 с.
- Федотов С.А. Магматические питающие системы и механизм извержений вулканов. М.: Наука, 2006. 455 с.
- Федотов С.А., Жаринов Н.А. Об извержениях, деформациях, сейсмичности Ключевского вулкана (Камчатка) в 1986–2005 гг. и механизме его деятельности // Вулканология и сейсмология. 2007. № 2. С. 3–31.
- Черкашин Р.И., Иванов В.В., Озеров А.Ю. и др. Активность вулкана Ключевской в ноябре 2019–июне 2020 гг. // Вестник КРАУНЦ. Науки о Земле. 2020. № 2. Вып. 46. С. 5–9.
Дополнительные файлы









