Heterogeneities of Short-Period S-Waves Attenuation Field in the Kuril-Kamchatka Region and their Relation to Large and Great Earthquakes
- Authors: Kopnichev Y.F.1, Sokolova I.N.2
-
Affiliations:
- Shmidt Institute of Physics of the Earth RAS
- FRC Geophysical Survey RAS
- Issue: No 1 (2024)
- Pages: 22-35
- Section: Articles
- URL: https://bakhtiniada.ru/0203-0306/article/view/258176
- DOI: https://doi.org/10.31857/S0203030624010034
- EDN: https://elibrary.ru/PZFVIN
- ID: 258176
Cite item
Full Text
Abstract
We study characteristics of short-period shear wave attenuation field in the lithosphere to pick out areas of possible preparation for large and great shallow earthquakes. We have processed more than 360 seismograms of events with source depths of 0–33 km recorded by station PET from two areas limited by coordinates of 45.0˚–50.5˚ N and 54.0˚–56.5˚ N, respectively (for brevity, we will call the areas as the southern and the northern ones). Besides, for the purposes of comparison we have analyzed seismograms by station KGB that recorded earthquakes from the area located between 52˚ и 54˚ N. We used the method based on analysis of Sn and Pn maximum amplitude ratio. We find that attenuation in the lithosphere of the northern area is generally much higher than in the southern one. At the same time attenuation in both areas is weaker than in the region of north-eastern Japan. Relatively lower attenuation corresponds to rupture zones of the great earthquakes of 1952 (Mw = 9.0) and 1963 (Mw = 8.6) occurred in the southern area more than 50 years ago. Higher attenuation is observed in the rupture zones of the recent events dated 1997 (Mw = 7.8), 2006 (Mw = 8.3) and 2018 (Mw = 7.3). The obtained data are in agreement with earlier conclusions stating that typical large subduction type earthquakes occur in the areas characterized by higher fluid content in the uppermost mantle; and large and great earthquakes are followed by deep fluids ascent during a few decades, which leads to attenuation decrease in the uppermost mantle. We also pick out the high attenuation zones where no large and great earthquakes (Mw ≥7.8) have occurred for quite a long time. We suggest that active processes of preparation for large earthquakes can be observed in these zones (first of all in the area of the Avacha Bay and to the east of it).
Keywords
Full Text
ВВЕДЕНИЕ
Поглощение короткопериодных S-волн есть важная характеристика среды, которая несет информацию о содержании жидкой фазы – флюидов или расплавленных пород [Molnar, Oliver, 1969; Копничев, Аракелян, 1988; Копничев и др., 2009]. В работах [Копничев, Соколова, 2003, 2010, 2011, 2020, 2021] показано, что перед неглубокими сильными землетрясениями формируются области относительно высокого поглощения поперечных волн в литосфере. Имеющиеся данные свидетельствуют о том, что эти области соответствуют повышенному содержанию глубинных флюидов. В то же время после сильных сейсмических событий поглощение в верхах мантии постепенно уменьшается в течение нескольких десятков лет, что свидетельствует о подъеме мантийных флюидов [Копничев и др., 2009; Копничев, Соколова, 2003, 2020, 2021]. В связи с этим данные о характеристиках поля поглощения S-волн могут быть использованы для выделения очаговых зон будущих сильных землетрясений [Копничев, Соколова, 2011а, 2011б, 2020, 2021]. В настоящей работе с этой целью проводится картирование поля поглощения поперечных волн в литосфере Курил и Камчатки.
ИСТОРИЧЕСКАЯ СЕЙСМИЧНОСТЬ
Характеристики поля поглощения рассматривались в районе, ограниченном координатами 45° и 56.5° N. Здесь, начиная с 1900 г., произошел ряд сильных землетрясений (табл. 1, рис. 1), включая сильнейшие события 1923 (Mw = 8.5), 1952 (Mw = 9.0), 1963 (Mw = 8.6) и 2006 гг. (Mw = 8.3). Кроме того, в 1841 г. в районе Камчатки произошло землетрясение с M ~ 8.4.
Таблица 1. Сильные землетрясения в районе Курило-Камчатской дуги (к северу от 44˚ N, с начала ХХ-го века)
Дата | φ° N | λ° E | h, км | Mw |
05.01.1915 | 47.50 | 154.50 | 35 | 7.9 |
30.01.1917 | 56.50 | 163.00 | - | 7.7 |
03.02.1923 | 53.85 | 160.76 | 35 | 8.5 |
24.02.1923 | 55.94 | 162.62 | 35 | 7.2 |
04.11.1952 | 52.75 | 159.50 | - | 9.0 |
04.05.1959 | 53.37 | 159.66 | 35 | 8.0 |
16.10.1963 | 44.76 | 149.80 | 26 | 8.6 |
15.12.1971 | 56.02 | 163.17 | 22 | 7.8 |
05.12.1997 | 54.80 | 162.00 | 37 | 7.8 |
15.11.2006 | 46.58 | 153.27 | 10 | 8.3 |
11.01.2007 | 46.23 | 154.55 | 10 | 8.1 |
05.07.2007 | 53.88 | 152.87 | 633 | 7.7 |
24.05.2013 | 54.87 | 153.28 | 609 | 8.3 |
20.12.2018 | 55.10 | 164.70 | 17 | 7.3 |
Рис. 1. Карта района исследований. 1 – очаговые зоны сильнейших неглубоких землетрясений (Mw ≥7.8); 2 – эпицентры сильных землетрясений (Mw = 7.2‒7.7); 3, 4 ‒ эпицентры cильнейших глубоких (h >70 км) землетрясений (указаны годы всех событий); 5 – сейсмические станции; 6 – глубоководный желоб.
Великое Камчатское землетрясение 4 ноября 1952 г. было третьим по силе сейсмическим событием ХХ-го века с очагом, имевшим размер ~600 км. Землетрясение генерировало цунами, распространившееся по всему Тихому океану. По данным работы [Федотов и др., 2007], средний период повторяемости событий с М ≥7.7 в районе Курило-Камчатской дуги составляет 140 ± 60 лет. В течение последних 60 лет в районах Северных Курил и Камчатки не зарегистрировано неглубоких событий с Mw >7.8, в то время как в районах Южных и Центральных Курил в 1963‒2007 гг. произошло 5 землетрясений с Mw >8.0.
Необходимо отметить, что 24.05.2013 г. в районе Охотского моря произошло сильнейшее зарегистрированное на Земле с 1900 г. глубокофокусное землетрясение (h = 609 км, Mw = 8.3). Кроме того, южнее очага этого события 05.07.2007 г. было зарегистрировано еще одно достаточно сильное землетрясение (Mw = 7.7) с глубиной очага 633 км (см. табл. 1, рис. 1). Интересно, что до события 24.05.2013 г. самым сильным глубокофокусным землетрясением на земном шаре было Боливийское 09.06.1994 г. (h = 635 км, Mw = 8.2). Проведенный нами анализ показывает, что после этого события резко активизировалась неглубокая сейсмичность в обширном регионе Южной Америки. Если с 1900 по 1994 гг. здесь было зарегистрировано только 9 землетрясений с Mw ≥8.0 (с глубинами гипоцентров до 45 км), то всего лишь за 19 лет, с 1995 по 2013 гг. – 4 таких события, причем первое из них (землетрясение в Антофагасте 30.07.1995 г. с Mw = 8.0) произошло через год после Боливийского. Эти данные показывают, что сильнейшие глубокофокусные землетрясения могут быть триггером, активизирующим неглубокую сейсмичность, и после землетрясения 24.05.2013 г. существует вероятность значительного повышения уровня сейсмической активности в районе Курило-Камчатской дуги в ближайшие десятилетия, в первую очередь в северной ее части, где не было сильных землетрясений с Mw >7.8 более 60 лет (см. табл. 1).
МАТЕРИАЛЫ И МЕТОДИКА
Картирование поля поглощения проводилось по записям землетрясений, полученных главным образом станцией Петропавловск (PET) на расстояниях Δ ~ 250‒1050 км (см. рис. 1). Были отобраны данные для событий с глубинами 0‒33 км из двух районов, ограниченных координатами 45.0°–50.5° N, 150°–160° E и 54.0°–56.5° N, 161°–165° E (для простоты будем далее называть их соответственно южным и северным). В общей сложности обработано около 360 сейсмограмм, полученных в 1993–2020 гг. Кроме того, для сравнения рассмотрены 12 записей неглубоких землетрясений из области 52°–54° N, 159°–163° E, полученных станцией Крутоберегово (KGB) в 1999 г.
Использован метод картирования поля поглощения в литосфере по отношению максимальных амплитуд волн Sn и Pn (параметру lg(ASn/APn), который для краткости будем обозначать как Sn/Pn [Molnar, Oliver, 1969; Копничев, 1985; Копничев, Аракелян, 1988]. Отметим, что в подавляющем большинстве случаев максимальные амплитуды в группе Sn достигаются заметно позже, чем по годографу (рис. 2) [Копничев, Аракелян, 1988; Каазик и др., 1990; Al-Damegh et al., 2004], поэтому они не могут соответствовать головной волне, распространяющейся вдоль границы М. Совокупность имеющихся данных, а также результаты численного моделирования позволили сделать вывод, что максимальные амплитуды в группе Sn связаны с поперечными волнами, отраженными от многочисленных субгоризонтальных границ в верхней мантии [Molnar, Oliver, 1969; Копничев, Аракелян, 1988; Каазик и др., 1990; Каазик, Копничев, 1990]. В этом случае при использовании записей одной станции уровень группы Sn служит мерой поглощения S-волн в нижней коре и верхах мантии в области эпицентра. Параметр Sn/Pn используется для нормировки, поскольку волны Sn и Pn распространяются близкими трассами. Данные о характеристиках поля поглощения, а также данные, полученные методом МТЗ, показывают, что наибольшее содержание флюидов в литосфере сейсмоактивных районов имеет место в нижней коре и верхах мантии [Аптикаева и др., 1995; Ваньян, Хайндман, 1996; Земная кора …, 2006]. При этом длина отрезков трасс, проходимых волнами Sn в нижней коре в рассматриваемом районе, составляет не более 10–15 км [Апродов, 1982] и почти не зависит от Δ, поэтому изменение параметра Sn/Pn с расстоянием происходит в основном вследствие вариаций поглощения в верхах мантии. Измерение наибольших амплитуд в группе Sn проводилось в интервалах времени, соответствующих диапазонам кажущихся скоростей этих волн 4.1‒4.6 км/с. В таких интервалах, несмотря на возможность вступления на региональных расстояниях волн различного типа, как правило, доминирует группа Sn [Al-Damegh et al., 2004]. В связи с тем, что поглощение существенно зависит от частоты колебаний, предварительно проводилась фильтрация вертикальных компонент записей (использовался фильтр с центральной частотой 1.25 Гц и полосой пропускания 2/3 октавы [Копничев, 1985]).
Рис. 2. Примеры сейсмограмм землетрясений, полученных станцией PET. а – верхняя трасса – событие из очаговой зоны землетрясения 1997 г. (Mw = 7.8). 13.11.1995, 55.03˚ N, 161.94˚ Е, h = 33 км, Δ = 311 км, нижняя трасса – событие из очаговой зоны землетрясения 1952 г. (Mw = 9.0). 22.04.2013, 50.06˚ N, 157.51˚ Е, h = 18 км, Δ = 339 км; б – верхняя трасса – событие из очаговой зоны землетрясения 1997 г. 03.02.2004, 55.35˚ N, 162.96˚ Е, h = 4 км, Δ = 382 км, нижняя трасса – событие из очаговой зоны землетрясения 1952 г. 11.12.1993, 49.73˚ N, 157.25˚Е, h = 31 км, Δ = 379 км; в – верхняя трасса – афтершок землетрясения 2006 г. (Mw = 8.3). 15.11.2006, 46.72˚ N, 153.30˚ Е, h = 10 км, Δ = 800 км, нижняя трасса – событие из очаговой зоны землетрясения 1963 г. (Mw = 8.6). 11.09.2001, 45.45˚ N, 150.68˚ Е, h = 33 км, Δ = 1022 км. Везде указаны моменты вступления волн Pn и Sn.
АНАЛИЗ ДАННЫХ
На рис. 2 показаны примеры сейсмограмм землетрясений, полученных станцией PET. Видно, что для эпицентров в области Северных Курил, расположенных в очаговой зоне Великого Камчатского землетрясения на эпицентральных расстояниях ~330–380 км, наблюдается очень высокий уровень группы Sn относительно Pn. В то же время для эпицентров в области Центральной Камчатки на сопоставимых расстояниях (~310–380 км) амплитуды волн Sn и Pn близки по уровню. Отметим, что трасса от эпицентра события 03.02.2004 г. (см. рис. 2б) пересекает очаговую зону сильного Кроноцкого землетрясения 05.12.1997 г. (Mw = 7.8), а трасса от эпицентра события 13.11.1995 г. (см. рис. 2а) проходит рядом с этой зоной.
На рис. 2в представлены сейсмограммы двух событий, произошедших соответственно в очаговых зонах двух сильнейших землетрясений: Урупского 16.10.1963 г. (Mw = 8.6) и Средне-Курильского 15.11.2006 г. (Mw = 8.3). Для первого события, произошедшего почти через 40 лет после Урупского землетрясения, относительный уровень группы Sn значительно выше, чем для афтершока Средне-Курильского землетрясения, несмотря на существенно большее эпицентральное расстояние.
Рассмотрим характеристики полей поглощения отдельно для южного и северного районов.
Южный район. Рис. 3 иллюстрирует зависимость параметра Sn/Pn от расстояния для трасс к югу от ст. PET, пересекающих Центральные, Северные Курилы и Южную Камчатку. Подавляющее большинство точек представляют средние значения, полученные для небольших областей с линейными размерами, как правило, несколько десятков км. Осреднение данных позволяет уменьшить роль эффекта азимутальной направленности излучения Р- и S-волн. Из рисунка следует, что в среднем значения Sn/Pn падают с расстоянием в интервале Δ ~ 300–1050 км; уравнение линейной регрессии описывается выражением:
Sn/Pn ~ 0.84 – 0.00054Δ (км), (1)
коэффициент корреляции r = -0.54.
Рис. 3. Корреляционная зависимость параметра Sn/Pn от расстояния для южного района. Прямая – линия регрессии.
Следует заметить, что на фоне общего падения с расстоянием выделяются участки очень высоких средних значений параметра Sn/Pn (в интервалах Δ ~ 300–450 и 850–1050 км), а также аномально низких значений (при Δ ~ 450–850 км).
На карте (рис. 4) показано распределение областей с различным поглощением S-волн. Рассматривались отклонения величин Sn/Pn от корреляционной зависимости (1). Значениям ΔSn/Pn < -0.10 соответствует повышенное, -0.10 ≤ ΔSn/Pn ≤ 0.10 – промежуточное и ΔSn/Pn > 0.10 – пониженное поглощения. На карте видно, что поле поглощения в южном районе характеризуется большой неоднородностью. В целом относительно пониженное поглощение соответствует северной и южной окраинам района, а повышенное – его центральной части (приблизительно между 46° и 49° N). Основная часть низких значений ΔSn/Pn сконцентрирована в узкой полосе, простирающейся параллельно вулканическому фронту и расположенной на расстояниях ~90–130 км от него. При удалении от полосы по направлениям к вулканическому фронту и глубоководному желобу поглощение в целом существенно уменьшается. В то же время в области желоба, между 47° и 47.7° N выделяется еще одно пятно сильного поглощения.
Рис. 4. Карта поля поглощения для южного района. 1–3 – поглощение: 1 – высокое, 2 – промежуточное, 3 – низкое. Остальные условные обозначения см. рис. 1.
Сопоставление с сейсмичностью района показывает, что очаговым зонам сильнейших землетрясений 1952 и 1963 гг. соответствует относительно пониженное, а зоне очага 2006 г. – повышенное поглощение. В то же время на большей части очаговой зоны землетрясения 2007 г. (Mw = 8.1) наблюдается пониженное поглощение, и только на крайнем северном участке – повышенное.
Необходимо отметить, что между очаговыми зонами сильных землетрясений 1952 и 2006–2007 гг. проходит узкая субширотная полоса низких величин ΔSn/Pn, частично пересекающая очаг землетрясения 1915 г. (Mw = 7.9).
Северный район. На рис. 5 представлена зависимость параметра Sn/Pn(Δ) для северного района. В данном случае величины Sn/Pn в интервале расстояний Δ ~ 250–500 км убывают с расстоянием значительно быстрее, чем на рис. 3; уравнение линейной регрессии имеет вид:
Sn/Pn~ 0.72 – 0.00089Δ (км), (2)
r = -0.40.
Рис. 5. Корреляционная зависимость параметра Sn/Pn от расстояния для северного района. Показаны линии регрессии для северного (сплошная линия) и южного (пунктир) районов.
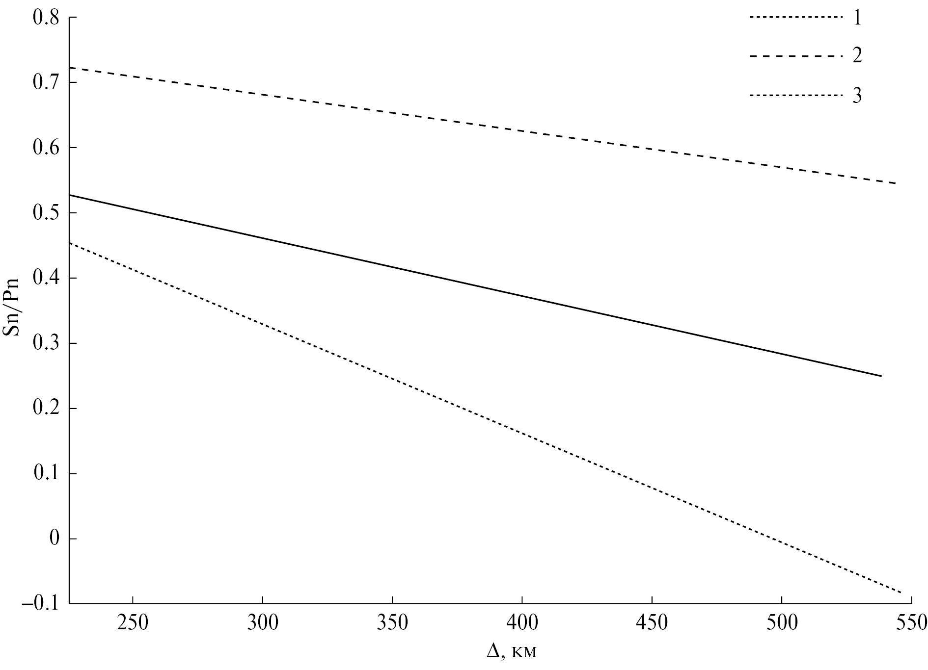
Из сопоставления рис. 3 и 5 следует также, что в северном районе уровень параметра Sn/Pn в среднем значительно ниже, чем в южном (при Δ ~ 300–500 км – на 0.23‒0.29 ед. лог.). Вместе с тем из рис. 6 следует, что зависимости Sn/Pn(Δ) для районов Курил и Камчатки идут выше, чем для северо-восточной Японии, где произошло сильнейшее землетрясение Тохоку 11.03.2011 г. (Mw = 9.0).
Рис. 6. Корреляционные зависимости параметра Sn/Pn от расстояния. 1 – северный район, 2 – южный район, 3 – северо-восточная Япония.
Для сравнения были рассмотрены также характеристики волновых полей по записям, полученным станцией KGB из области, ограниченной координатами 52°–54° N (в диапазоне расстояний ~270–500 км (рис. 7, 8). Видно, что в данном случае величины Sn/Pn в целом идут значительно ниже, чем для станции PET. При этом для эпицентров, расположенных между 52.2° и 53.0° N, среднее значение параметра Sn/Pn уменьшается на 0.22 лог. ед. по сравнению с более северными эпицентрами при увеличении среднего эпицентрального расстояния приблизительно на 100 км. Интересно, что на этом отрезке скорость падения параметра Sn/Pn гораздо выше, чем в среднем для северного и южного районов (формулы (1) и (2)). Отметим, что почти все эпицентры, расположенные к югу от 53° N, попадают в северную часть очаговой зоны землетрясения 1952 г., и половина из них – одновременно в зону очага 1841 г.
Рис. 7. Эпицентры землетрясений, зарегистрированные станцией KGB (1), эпицентры событий вблизи от станции KGB, зарегистрированные станцией PET (2). Остальные условные обозначения см. рис. 1.
Рис. 8. Зависимости параметра Sn/Pn от расстояния для северного района. 1 – зависимость параметра Sn/Pn от расстояния по данным станции KGB (верхний значок – эпицентры между 53˚ и 54˚ N, нижний – между 52˚ и 53˚ N); 2 – значение параметра Sn/Pn по данным станции PET для эпицентров, близких к станции KGB; 3 – линия регрессии по данным станции PET для северного района. Показаны средние значения, стандартные отклонения и интервалы осреднения данных.
На рис. 7 показано также среднее значение параметра Sn/Pn по записям событий с эпицентрами в близких окрестностях ст. KGB, полученных ст. PET. Из рисунка следует, что среднее значение параметра практически попадает на линию регрессии, полученную по всем данным для северного района, однако находится на 0.30 лог. ед. выше среднего значения по данным станции KGB. Отсюда вытекает, что поглощение короткопериодных S-волн значительно выше для трасс, идущих к ст. KGB от эпицентров из области Авачинского залива и к востоку от него по сравнению с трассами, идущими вдоль окраины п-ова Камчатка несмотря на то, что в последнем случае волны частично пересекают вулканическую область.
На рис. 9 представлена карта поля поглощения в северном районе. Как и на рис. 4, промежуточное поглощение соответствует отклонениям от линии регрессии (2) до ±0.10. На карте выделяются три главные области повышенного и промежуточного поглощения, расположенные соответственно к югу от 54.7° N, между 55.2° и 55.9° N, а также в субмеридиональной полосе, прилегающей к 164° Е. Самая южная область соответствует северной части очаговой зоны Кроноцкого землетрясения 1997 г. Наиболее яркая аномалия повышенного поглощения выделяется в центральной области, в которую попадает зона очага землетрясения 24.02.1923 г. На стыке Курило-Камчатской и Алеутской дуг расположена субмеридиональная полоса повышенного и промежуточного поглощения. Необходимо подчеркнуть, что к южной ее части привязана очаговая зона недавнего землетрясения 20.12.2018 г. (Mw = 7.3). Отметим, что площади каждой из этих областей значительно меньше площади области высокого поглощения, соответствующей очагу сильного землетрясения 2006 г. (см. рис. 4).
Рис. 9. Карта поля поглощения для северного района. Условные обозначения см. рис. 1 и 4.
ОБСУЖДЕНИЕ
Представленные данные свидетельствуют о том, что поглощение S-волн в верхах мантии в районе Курило-Камчатской дуги значительно слабее, чем в районе северо-восточной Японии. Это говорит о меньшем содержании флюидов в верхах мантии Курило-Камчатской дуги. Ранее было показано, что увеличение доли флюидов коррелируется с возрастом субдуцируемой океанской коры [Копничев, Соколова, 2018, 2019, 2020, 2021]. Дело в том, что возраст коры определяет долю гидратированных пород, при дегидратации которых выделяются свободные флюиды, поднимающиеся в мантийный клин [Yamasaka, Seno, 2003; Wada et al., 2008; Копничев, Соколова, 2018, 2020, 2021]. С этим выводом согласуются данные о существенно меньшем возрасте тихоокеанской коры в районе Курило-Камчатской дуги (~66–117 млн лет [Luydendyk, 2022]) по сравнению с северо-восточной Японией (~130 млн лет [Müller et al., 2008]).
Помимо возраста коры, еще один важный фактор, влияющий на содержание флюидов в верхах мантии – время, прошедшее после последнего сильнейшего землетрясения в данной зоне субдукции [Копничев, Соколова, 2011б, 2018, 2019, 2020, 2021]. В указанных работах установлено, что перед типичными сильными и сильнейшими событиями в зонах субдукции наблюдается концентрация флюидов в верхах мантии. В случае, если флюиды формируют связную сеть, на кровле двухфазного слоя имеет место концентрация напряжений, которая в конечном счете и может приводить к подвижке при сильном землетрясении [Каракин, Лобковский, 1982; Gold, Soter, 1984/1985].
Разными методами было показано, что после сильных землетрясений наблюдается подъем флюидов в земную кору [Husen, Kissling, 2001; Ogawa, Heki, 2007; Копничев, Соколова, 2003, 2020, 2021; Копничев и др., 2009]), что отражается, в частности, в уменьшении поглощения S-волн в верхах мантии. Отметим, что подъем флюидов энергетически выгоден, поскольку в конечном счете приводит к уменьшению потенциальной энергии Земли. В работах [Копничев и др., 2009; Копничев, Соколова, 2020, 2021] показано, что “осушение” верхов мантии происходит в среднем через 25‒30 лет после сильных землетрясений. Это позволяет объяснить, почему относительно повышенное поглощение соответствует очаговым зонам недавних сильных землетрясений 1997, 2006 и 2018 гг., и в то же время пониженное – зонам сильнейших событий 1952 и 1963 гг., для которых обрабатывались данные, полученные через отрезки времени ~30–60 лет после них. Отсюда следует, что после землетрясений 1952 и 1963 гг. прошло достаточно времени, чтобы флюиды смогли подняться из верхов мантии в очаговых зонах.
Относительно слабое поглощение в зоне очага недавнего сильного землетрясения 2007 г., по-видимому, обусловлено его положением к востоку от желоба, где литосфера характеризуется низким содержанием свободных флюидов. Скорее всего, это событие c нетипичным для зон субдукции механизмом типа сброса было инициировано изменением поля напряжений после сильнейшего землетрясения 2006 г. [Bürgmann et al., 2005].
В южном районе выделена протяженная полоса высокого поглощения, расположенная между желобом и вулканическим фронтом и идущая параллельно островной дуге. Отметим, что аналогичные данные ранее были получены для очаговой зоны сильнейшего Суматра-Андаманского землетрясения 24.12.2004 г. (Mw = 9.0) [Копничев, Соколова, 2010]. Можно полагать, что эта полоса соответствует области наиболее активной дегидратации пород погружающейся океанической плиты, в результате которой резко увеличивается содержание свободных флюидов в мантийном клине [Yamasaki, Seno, 2003; Wada et al., 2008].
Полученные данные свидетельствуют о том, что в целом поглощение поперечных волн в литосфере гораздо сильнее для северного района, чем для южного. При этом за последние 70 лет в южном районе произошло 4 землетрясения с Mw = 8.1‒9.0, в то время как в северном – начиная с 1960 г. два самых сильных события имели магнитуду Mw = 7.8. Данные о сейсмичности позволяют предположить, что энергии двух указанных и более слабых событий не хватило для того, чтобы в достаточной степени “осушить“ верхи мантии в северном районе. С этим выводом согласуются данные об очень высоком поглощении в области между 52° и 54° N.
Особый интерес представляют области повышенного поглощения, в которых не было достаточно сильных землетрясений относительно длительное время. На юге такая область расположена между 48.2° и 49.2° N. Здесь после Онекотанского землетрясения 1915 г. (Mw = 7.9) не происходило событий с М ~ >7.5. На севере одна подобная область находится между 55.2° и 55.9° N и 161.5° и 163.5° E; в ней после землетрясения 24.02.1923 г. (Mw = 7.2) не зарегистрировано более сильных событий. К востоку от 163.5° Е с начала ХХ-го века наиболее сильным, по-видимому, было землетрясение 20.12.2018 г. (Mw = 7.3).
Сопоставление данных, полученных станциями PET и KGB, показывает, что зона аномально высокого поглощения находится в области, ограниченной координатами 52.2°–53.0° N, 159.4°–162.0° Е (см. рис. 6, 7). Эта область включает крайнюю северную часть очаговой зоны Великого Камчатского землетрясения 1952 г. Вместе с тем, согласно данным, полученным в работе [MacInnes et al., 2010], на нее приходится малая доля сейсмического момента, выделенного при этом событии - к югу от 52° N средняя величина подвижки была гораздо выше, чем к северу. Это позволяет предположить, что накопленная здесь к 1952 г. деформация не была выделена полностью. Кроме того, по данным GPS [Bürgmann et al., 2005], в настоящее время наблюдается высокая скорость деформации в области, ограниченной координатами ~52°–53° N, 160°–162° E. В этом случае продолжающееся после 1952 г. накопление деформации может вести к подготовке нового сильного землетрясения (например, аналога события 1841 г.). Высокая скорость деформации и может ускорить концентрацию глубинных флюидов в мантийном клине, которая обеспечивает сильное поглощение S-волн. В то же время в области между ~49.0° и 50.5° N (к востоку от Курильской дуги) имеет место очень низкая скорость деформации [MacInnes et al., 2010], что согласуется с нашими данными о слабом поглощении, связанном с малым содержанием флюидов.
Возможно, что подготовка сильных землетрясений идет также и в других областях повышенного поглощения S-волн в литосфере (в первую очередь к северу от 55° N). Отметим, что такое предположение не противоречит оценке среднего времени сейсмического цикла для землетрясений с М ≥7.7 в районе Курило-Камчатской дуги [Федотов и др., 2007].
По нашему мнению, в выделенных областях высокого поглощения необходимо проводить постоянный мониторинг различных геофизических и геохимических параметров с целью возможного среднесрочного прогноза землетрясений. Такими параметрами могут быть, в частности, характеристики кольцевых структур сейсмичности, формирующихся перед сильными и сильнейшими землетрясениями в зонах субдукции [Копничев, Соколова, 2010, 2018, 2022].
БЛАГОДАРНОСТИ
Авторы выражают признательность IRIS DMC за предоставление цифровых данных станций PET и KGB [www.iris.edu].
ИСТОЧНИКИ ФИНАНСИРОВАНИЯ
Исследование подготовлено в рамках выполнения государственного задания Института физики Земли им. О.Ю. Шмидта РАН по теме FMWU-2022-0003, государственного задания ФИЦ ЕГС РАН № 075-01271-23.
About the authors
Yu. F. Kopnichev
Shmidt Institute of Physics of the Earth RAS
Author for correspondence.
Email: yufk777@mail.ru
Russian Federation, Bolshaya Gruzinskaya str., 10, bld. 1, Moscow, 123242
I. N. Sokolova
FRC Geophysical Survey RAS
Email: SokolovaIN@gsras.ru
Russian Federation, Obninsk, Kaluga region, 249035
References
- Апродов В.А. Вулканы. М.: Мысль, 1982. 367 с.
- Аптикаева О.И., Арефьев С.С., Кветинский С.И., Копничев Ю.Ф., Мишаткин В.И. Неоднородности литосферы в очаговой зоне Рачинского землетрясения 1991 г. // Докл. РАН. 1995. Т. 344. № 4. С. 533–538.
- Ваньян Л.Л., Хайндман Р.Д. О природе электропроводности консолидированной коры // Физика Земли. 1996. № 4. С. 5‒11.
- Земная кора и верхняя мантия Тянь-Шаня в связи с геодинамикой и сейсмичностью / Ред. А.Б. Бакиров. Бишкек: Илим, 2006. 115 с.
- Каазик П.Б., Копничев Ю.Ф., Нерсесов И.Л., Рахматуллин М.Х. Анализ тонкой структуры короткопериодных сейсмических полей по группе станций // Физика Земли. 1990. № 4. С. 38–49.
- Каазик П.Б., Копничев Ю.Ф. Численное моделирование группы Sn и коды в неоднородной по скорости и поглощению среде // Вулканология и сейсмология. 1990. № 6. С. 74–87.
- Каракин А.В., Лобковский Л.И. Гидродинамика и структура двухфазной астеносферы // Докл. АН СССР. 1983. Т. 268. № 2. С. 324–329.
- Копничев Ю.Ф. Короткопериодные сейсмические волновые поля. М.: Наука, 1985. 176 с.
- Копничев Ю.Ф., Аракелян А.Р. О природе короткопериодных сейсмических полей на расстояниях до 3000 км // Вулканология и сейсмология. 1988. № 4. С. 77–92.
- Копничев Ю.Ф. Пространственно-временные вариации поля поглощения S-волн в очаговых зонах сильных землетрясений Тянь-Шаня// Физика Земли. 2003. № 5. C. 73–86.
- Копничев Ю.Ф., Гордиенко Д.Д., Соколова И.Н.// Пространственно-временные вариации поля поглощения поперечных волн в верхней мантии сейсмически активных и слабосейсмичных районов // Вулканология и сейсмология. 2009. № 1. С. 49–64.
- Копничев Ю.Ф., Соколова И.Н. О корреляции характеристик сейсмичности и поля поглощения S-волн в районах кольцевых структур, формирующихся перед сильными землетрясениями // Вулканология и сейсмология. 2010. № 6. С. 34–51.
- Копничев Ю.Ф., Соколова И.Н. Неоднородности поля поглощения короткопериодных S-волн в районе очага землетрясения Мауле (Чили, 27.02.2010, Mw = 8.8) и их связь с сейсмичностью и вулканизмом // Геофизические исследования. 2011. Т. 12. № 3. С. 22–32.
- Копничев Ю.Ф., Соколова И.Н. Кольцевые структуры сейсмичности, формирующиеся перед сильными и сильнейшими землетрясениями на западе и востоке Тихого океана // Геофизические процессы и биосфера. 2018. Т. 17. № 1. С. 109–124. https://doi.org/10.21455/GPB2018.1-5
- Копничев Ю.Ф., Соколова И.Н. Характеристики поля поглощения короткопериодных S-волн в очаговой зоне сильнейшего землетрясения Тохоку 11.03.2011 г. (MW = 9.0) // Геофизические процессы и биосфера. 2019. Т. 18. № 2. С. 16–27. https://doi.org/10.21455/GPB2019.2-2
- Копничев Ю.Ф., Соколова И.Н. Характеристики поля поглощения короткопериодных S-волн в литосфере Туркмении и северо-восточного Ирана и их связь с сейсмичностью // Сейсмические приборы. 2020. Т. 56. № 1. С. 39–46.
- Копничев Ю.Ф., Соколова И.Н. Неоднородности поля поглощения короткопериодных S-волн в литосфере юго-западной Японии // Геофизические процессы и биосфера. 2021. Т. 20. № 4. С. 56–66.
- Копничев Ю.Ф., Соколова И.Н. Кольцевые структуры сейсмичности в районе Юго-Западной Аляски: оправдавшийся прогноз места и магнитуды Чигникского землетрясения 29.07.2021 г. (Mw = 8.2) // Геофизические процессы и биосфера. 2022. Т. 21. № 1. С. 80–91.
- Федотов С.А., Соломатин А.В., Чернышев С.Д. Долгосрочный сейсмический прогноз для Курило-Камчатской дуги на 2006‒2011 гг. и успешный прогноз Средне-Курильского землетрясения // Вулканология и сейсмология. 2007. № 3. С. 3–25.
- Al-Damegh K., Sandvol E., Al-Lazki A., Barazangi M. Regional seismic wave propagation (Lg and Sn) and Pn attenuation in the Arabian Plate and surrounding regions // Geophys. J. Int. 2004. V. 157. № 2. P. 775‒795.
- Bürgmann R., Kogan M., Steblov M., Hilley G., Levin V., Apel E. Interseismic coupling and asperity distribution along the Kamchatka subduction zone // J. Geophys. Res. 2005. V. 110. B07405.
- Gold T., Soter S. Fluid ascent through the solid lithosphere and its relation to earthquakes // Pure Appl. Geophys. 1984/1985. V. 122. P. 492–530.
- Husen S., Kissling E. Postseismic fluid flow after the large subduction earthquake of Antofagasta, Chile // Geology. 2001. V. 29. № 9. P. 847–850.
- Luydendyk B. Oceanic crust // Encyclopedia Britannica. 2022.
- MacInnes B., Weiss R., Bourgeois J., Pinegina T. Slip distribution of the 1952 Kamchatka great earthquake based on near-field tsunami deposits and historical record // Bull. Seismol. Soc. Amer. 2010. V. 100. № 4. P. 1695–1709.
- Molnar P., Oliver J. Lateral variations of attenuation in the upper mantle and discontinuities in the lithosphere // J. Geophys. Res. 1969. V. 74. P. 2648–2682.
- Müller R., Sdrolias M., Gaina C., Roest W. Age, spreading rates and spreading symmetry of the world’s ocean crustМ// Geochem. Geophys. Geosyst. 2008. V. 9. Iss. 4. Art. Q04006. https://doi.org/10.1029/2007GC001743
- Ogawa R., Heki K. Slow postseismic recovery of geoid depression formed by the 2004 Sumatra-Andaman earthquake by mantle water diffusion // Geophys. Res. Lett. 2007. V. 34. Iss. 6. Art. L06313. https://doi.org/ 10.1029/2007GL029340
- Wada I., Wang K., He J., Hyndman R. Weakening of the subducting interface and its effects on surface heat flow, slab dehydration and mantle wedge serpentinization // J. Geophys. Res. 2008. V. 113. B04402. DOL: 10.1029/ 2007JN005190
- Yamasaki T., Seno T. Double seismic zone and dehydration embrittlement of the subducting slab // J. Geophys. Res. 2003. V. 108. № B4. DOI: 10/1029/2002JB001918
Supplementary files











