Analysis of Swarm Earthquakes on the Territory of the Elbrus Volcanic Center
- Authors: Dudarov Z.I.1, Dmitrieva I.Y.2, Sayapina А.А.2, Bagaeva S.S.2
-
Affiliations:
- Geophysical Survey, Russian Academy of Sciences
- North Ossetian Branch of the Geophysical Service of the Russian Academy of Sciences
- Issue: No 6 (2023)
- Pages: 9-25
- Section: Articles
- URL: https://bakhtiniada.ru/0203-0306/article/view/232373
- DOI: https://doi.org/10.31857/S0203030623700359
- EDN: https://elibrary.ru/SNVBVK
- ID: 232373
Cite item
Full Text
Abstract
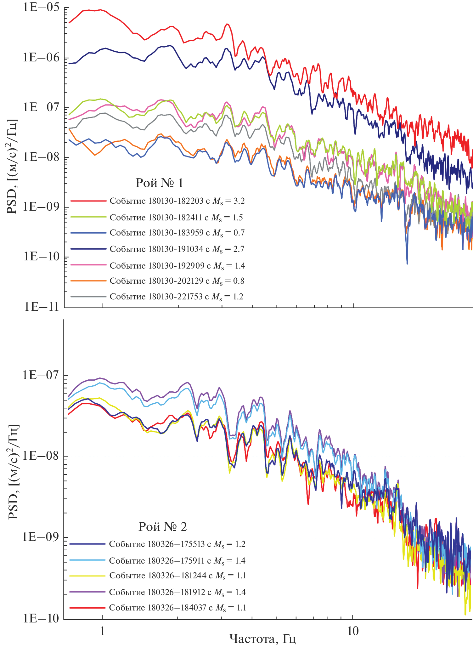
The paper presents the results of the analysis of swarm seismic events recorded in 2018 in the area of the Elbrus volcanic center by the North Caucasian seismological network of the FRC GS RAS. The standard method of station processing shows the hypocenters of recorded events in the area of the Elbrus volcanic center. The hypocenters of seismic events in swarm sequences were refined using the LOS software package, a complex combined location algorithm, methods of minimizing the time discrepancy in the source and grid search with depth enumeration. The described approach improves the reliability of location due to accounting for inaccuracies associated with incorrectly taken times of phase arrivals and minor deviations in travel times, depending on the velocity model of the medium used. According to the results of the study of the focal mechanisms of the strongest earthquakes, the type of movement was established, which is consistent with the kinematics of the Elbrus-Mineralnye Vody fault zone. Correlation analysis of the waveforms of the vertical component filtered in the frequency range of 1‒10 Hz, including P and S waves, for the nearest station shows a high coincidence of the analyzed data (correlation coefficient R ≥ 0.85), which indicates a high probability that events have similar sources and paths propagation of seismic waves. Comparison of the power spectral density of individual earthquakes in swarm sequences also demonstrates high similarity.
Keywords
About the authors
Z. I. Dudarov
Geophysical Survey, Russian Academy of Sciences
Author for correspondence.
Email: zalim-dudar@yandex.ru
Russia, 249035, Kaluga Region, Obninsk, Lenina prosp., 189
I. Yu. Dmitrieva
North Ossetian Branch of the Geophysical Service of the Russian Academy of Sciences
Author for correspondence.
Email: sofgsras@gmail.com
Russia, 362002, RSO-Alania, Vladikavkaz, Markova str., 93a
А. А. Sayapina
North Ossetian Branch of the Geophysical Service of the Russian Academy of Sciences
Author for correspondence.
Email: sofgsras@gmail.com
Russia, 362002, RSO-Alania, Vladikavkaz, Markova str., 93a
S. S. Bagaeva
North Ossetian Branch of the Geophysical Service of the Russian Academy of Sciences
Author for correspondence.
Email: sofgsras@gmail.com
Russia, 362002, RSO-Alania, Vladikavkaz, Markova str., 93a
References
- Акимов А.П., Красилов С.А. Программный комплекс WSG “Система обработки сейсмических данных” // Свидетельство о государственной регистрации программ для ЭВМ № 2020664678 от 16 ноября 2020 г.
- Арбузкин В.Н., Компаниец М.А., Швец А.И. и др. Отчет о комплексных геолого-геофизических исследованиях по Приэльбрусскому профилю. Ессентуки: ФГУП “Кавказгеолсъемка”, 2002. 120 с.
- Асминг В.Э., Федоров А.В., Прокудина А.В. Программа для интерактивной обработки сейсмических и инфразвуковых записей LOS // Российский сейсмологический журнал. 2021. Т. 3. № 1. С. 27–40. https://doi.org/10.35540/2686-7907.2021.1.02
- Асминг В.Э. LOS. Свидетельство о регистрации программы для ЭВМ № 2021665940 от 05.10.2021 г.
- Бачманов Д.М., Кожурин А.И., Трифонов В.Г. База данных активных разломов Евразии // Геодинамика и тектонофизика. 2017. Т. 8. № 4. С. 711‒736.
- Богатиков О.А., Нечаев Ю.В., Собисевич А.Л. Использование космических технологий для мониторинга геологических структур вулкана Эльбрус // ДАН. 2002. Т. 387. № 3. С. 244–247.
- Богатиков О. А., Гурбанов А. Г., Газеев В. М. Активный вулкан Эльбрус и этапы его геологической истории // Катастрофические процессы и их влияние на природную среду. Т. 1. Вулканизм. М.: Региональная общественная организация ученых по проблемам прикладной геофизики, 2002. С. 291–320.
- Войтова А.С., Габсатарова И.П. Исследование слабых роев в 2016 г. в районе Сочи и Красной поляны // Современные методы обработки и интерпретации сейсмологических данных. Материалы XI Международной сейсмологической школы. Обнинск, 2016. С. 98–102.
- Габсатарова И.П. Северный Кавказ // Землетрясения Северной Евразии в 2001 году. Обнинск: ГС РАН, 2007. С. 105–119.
- Габсатарова И.П., Девяткина Л.В., Селиванова Е.А. Северный Кавказ // Землетрясения Северной Евразии в 2002 году. Обнинск: ГС РАН, 2008. С. 103–127.
- Габсатарова И.П. Исследование пространственно-временных особенностей сейсмичности на Северном Кавказе / Автореф. дис. … канд. физ.-мат. наук. Обнинск, 2010. 23 с.
- Габсатарова И.П., Даниялов М.Г., Мехрюшев Д.Ю. и др. Результаты сейсмического мониторинга различных регионов России. Северный Кавказ // Землетрясения России в 2017 году. Обнинск: ФИЦ ЕГС РАН, 2019. С. 17–23.
- Габсатарова И.П., Пономарева Н.Л., Королецки Л.Н., Ахмедова М.М. Гагатлинский рой слабых землетрясений ‒ проявление активности Андийского разлома // Российский сейсмологический журн. 2019. Т. 1. № 1. С. 46‒56.
- Габсатарова И.П., Королецки Л.Н., Пономарева Н.Л., Каменская О.П. Сравнительные характеристики волновых форм роев землетрясений в Дагестане в 2019 // Современные методы обработки и интерпретации сейсмологических данных. Тезисы XIV Международной сейсмологической школы. Обнинск: ФИЦ ЕГС РАН, 2019. С. 31.
- Гаретовская И.В., Краснопевцева Г.В., Сизов А.В. и др. Изучение глубинного строения Северо-Кавказской сейсмической зоны с помощью сейсмических и гравиметрических методов (Кавказские Минеральные Воды и Приэльбрусье) // Основные проблемы сейсмотектоники. М.: Наука, 1986. С. 105–119.
- Годзевич Б.Л. Геологическое строение и история развития гор Пятигорья // Вестник Ставропольского государственного университета. 2002. № 31. С. 110‒120.
- Горбатиков А.В., Рогожин Е.А., Степанова М.Ю. и др. Модель глубинного строения вулкана Эльбрус в свете новых геофизических данных // Доклады Академии наук. 2018. Т. 480. № 2. С. 229‒232.
- Дударов З.И., Лиходеев Д.В., Жостков Р.А. и др. Глубинное строение вулкана Эльбрус // Современные методы обработки и интерпретации сейсмологических данных. Материалы XI Международной сейсмологической школы. Обнинск: ФИЦ ЕГС РАН, 2016. С. 135‒139.
- Заводевкин И.А., Шакирова А.А., Фирстов П.П. Программное решение “Drumcorr” на основе кросс-корреляционного анализа для выделения землетрясений с близкими волновыми формами // Проблемы комплексного геофизического мониторинга сейсмоактивных регионов. Труды Восьмой Всероссийской научно-технической конференции с международным участием. Петропавловск-Камчатский, 2021. С. 392‒395.
- Землетрясения России. Пополняемая база данных ФИЦ ЕГС РАН. Свидетельство о государственной регистрации базы данных № 2015620591 от 07 апреля 2015 г.
- Карта разломов территории СССР и сопредельных стран. Масштаб 1 : 2500000 / Под ред. А.В. Сидоренко. М.: Министерство геологии СССР, ВНИИ-Геофизика, 1980.
- Красилов С.А., Коломиец М.В., Акимов А.П. Организация процесса обработки цифровых сейсмических данных с использованием программного комплекса WSG // Современные методы обработки и интерпретации сейсмологических данных. Материалы Международной сейсмологической школы, посвященной 100-летию открытия сейсмических станций “Пулково” и “Екатеринбург”. Обнинск: ГС РАН, 2006. С. 77–83.
- Краснопевцева Г.В., Матушкин Б.А., Шевченко В.И. Новая интерпретация данных ГСЗ по профилю Степное–Бакуриани на Кавказе // Советская геология. 1970. № 8. С. 113–120.
- Краснопевцева Г.В. Глубинное строение Кавказского сейсмоактивного региона. М.: Наука, 1984. 108 с.
- Ландер А.В. Программа расчета и графического представления механизмов очагов землетрясений по знакам первых вступлений P-волн (FA) // Свидетельство о государственной регистрации программы для ЭВМ № 2018662004 от 25 сентября 2018 г.
- Лиходеев Д.В., Дударов З.И., Жостков Р.А. и др. Исследование глубинного строения вулкана Эльбрус методом микросейсмического зондирования // Вулканология и сейсмология. 2017. № 6. С. 28‒32.
- Маловичко А.А., Мехрюшев Д.Ю., Горожанцев С.В., Шевченко А.В. Новая сейсмическая станция на территории Кабардино-Балкарии // Сейсмические приборы. 2011. Т. 47. № 1. С. 68‒74.
- Маловичко А.А., Габсатарова И.П., Каширгова Р.Р., Долов С.М. Современное состояние сейсмического мониторинга в Кабардино-Балкарии // Сейсмические приборы. 2011. Т. 47. № 4. С. 5‒22.
- Маловичко А.А., Габсатарова И.П., Лиходеев Д.В. и др. Развитие системы разномасштабного сейсмического мониторинга в районе вулкана Эльбрус // Сейсмические приборы. 2014. Т. 50. № 4. С. 47‒57.
- Маловичко А.А., Шулаков Д.Ю., Дударов З.И., Долов С.М. Мониторинг сейсмичности Эльбрусского вулканического центра по данным локальной группы “Нейтрино” // Современные методы обработки и интерпретации сейсмологических данных. Материалы XII Международной сейсмологической школы. Обнинск: ФИЦ ЕГС РАН, 2017. С. 213‒216.
- Масуренков Ю. П. Кайнозойский вулканизм Эльбрусской вулканической области // Труды ИГЕМ АН СССР. Вып. 51. М.: Изд-во АН СССР, 1961. 132 с.
- Масуренков Ю.П., Собисевич А.Л., Комкова Л.А., Лаверова Н.И. Флюидно-магматические системы Северного Кавказа. М.: Институт физики Земли им. О.Ю. Шмидта РАН, 2010. 280 с.
- Милановский Е. Е., Короновский Н. В. Геологическое строение и история формирования вулкана Эльбрус // Тр. ВАГТ. Вып. 6. М.: Госгеолтехиздат, 1960. С. 92‒127.
- Милановский Е.Е. Новейшая тектоника Кавказа. М.: Недра, 1968, 484 с.
- Милюков В.К., Миронов А.П., Рогожин Е.А., Стеблов Г.М. Оценки скоростей современных движений Северного Кавказа по GPS наблюдениям // Геотектоника. 2015. № 3. С. 56.
- Милюков В.К., Миронов А.П., Овсюченко А.Н. и др. Современные тектонические движения Западного Кавказа и Предкавказья по ГНСС наблюдениям // Геотектоника. 2022. № 1. С. 51‒67.
- Мясников А.В., Милюков В.К. Состояние и динамика магматических камер вулкана Эльбрус по результатам деформографических наблюдений // Геодинамика, вулканизм, сейсмичность и экзогенные геологические процессы природного и техногенного характера на Кавказе. 2015. С. 137‒144.
- Мясников А.В., Милюков В.К. Оценка параметров магматических структур вулкана Эльбрус по наблюдениям литосферных деформаций Баксанским лазерным интерферометром-деформографом // Триггерные эффекты в геосистемах. Тезисы докладов IV-й Всероссийской конференции с международным участием. М., 2017. С. 65‒66.
- Мясников А.В., Милюков В.К. Новая резонансная магматическая структура в районе Эльбрусского вулканического центра // Развитие систем сейсмологического и геофизического мониторинга природных и техногенных процессов на территории Северной Евразии. Материалы международной конференции. Обнинск, 2017. С. 55.
- Нечаев Ю.В., Собисевич А.Л. Новые технологии мониторинга внутренней структуры вулканов (магматического очага и магматических камер) // Вестник Владикавказского научного центра. 2007. Т. 7. № 4. С. 29‒35.
- Нечаев Ю.В. Линеаменты и тектоническая раздробленность: дистанционное изучение внутреннего строения литосферы / Под ред. академика А.О. Глико. М.: ИФЗ РАН, 2010. 215 с.
- Никонов А.А. Палеосейсмодислокации в приосевой части Главного кавказского хребта (Приэльбрусье) // Доклады АН СССР. 1991. Т. 319. № 5. С. 1183.
- Погода Э.В., Багаева С.С., Саяпина А.А. Регистрационные возможности сети сейсмологических наблюдений Северо-Осетинского филиала ГС РАН // Современные методы обработки и интерпретации сейсмологических данных. Материалы Восьмой Международной сейсмологической школы. Обнинск: ГС РАН, 2013. С. 257–259.
- Погода Э.В., Дмитриева И.Ю. Шумы, регистрируемые сейсмостанцией “Владикавказ” // Современные методы обработки и интерпретации сейсмологических данных. Материалы Восьмой Международной сейсмологической школы. Обнинск: ГС РАН, 2013. С. 260‒262.
- Погода Э.В., Дмитриева И.Ю., Пятунин М.С. Исследование спектральных характеристик сейсмических шумов на сейсмостанциях республики Северная Осетия–Алания // Современные методы обработки и интерпретации сейсмологических данных. Материалы XI Международной сейсмологической школы. Обнинск: ФИЦ ЕГС РАН, 2016. С. 263‒267.
- Раутиан Т.Г. Энергия землетрясений // Методы детального изучения сейсмичности. М.: ИФЗ АН СССР, 1960. С.75–114.
- Раутиан Т.Г. Об определении энергии землетрясений на расстоянии до 3000 км // Экспериментальная сейсмика. М.: Наука, 1964. С. 88–93. (Тр. ИФЗ АН СССР. № 32(199))
- Рогожин Е. А., Гурбанов А. Г., Мараханов А. В. и др. О соотношении проявлений вулканизма и землетрясений на северном Кавказе в голоцене // Физика Земли. 2005. № 3. С. 33–46.
- Рогожин Е. А., Овсюченко А. Н., Лутиков А. И. и др. Эндогенные опасности Большого Кавказа. М.: ИФЗ РАН, 2014. 256 с.
- Рогожин Е.А., Степанова М.Ю., Харазова Ю.В., Горбатиков А.В. Глубинное строение и режим вулканической и сейсмической активности Приэльбрусья // Геотектоника. 2018. № 6. С. 69‒81.
- Собисевич А.Л., Руденко О.В. О резонансных свойствах магматических структур // Акустический журн. 2005. Т. 51. № 7. С. 169‒176.
- Собисевич А.Л. Избранные задачи математической геофизики, вулканологии и геоэкологии. Т. 1. М.: Институт физики Земли им. О.Ю. Шмидта РАН, 2012. 512 с.
- Солоненко Н.В., Солоненко А.В. Афтершоковые последовательности и рои землетрясений в Байкальской рифтовой зоне. Новосибирск: Наука, 1987. 93 с.
- Уломов В.И., Шумилина Л.С. Комплект карт общего сейсмического районирования территории Российской Федерации – ОСР-97. Масштаб 1 : 8000000. Объяснительная записка и список городов и населенных пунктов, расположенных в сейсмоактивных районах. М.: ИФЗ РАН, 1999. 57 с.
- Уломов В.И., Богданов М.И., Трифонов В.Г. и др. Общее сейсмическое районирование территории Российской Федерации. Пояснительная записка к комплекту карт ОСР-2016 и список населенных пунктов, расположенных в сейсмоактивных районах // Инженерные изыскания в строительстве. 2016. № 7. С. 49‒121.
- Хитаров Н.И., Щукин Ю.К., Сизов А.В. К оценке активности вулкана Эльбрус // Докл. АН СССР. 1984. Т. 275. № 4. С. 952–954.
- Чалова В.С., Литовченко И.Н. Применение алгоритма распознавания роевых последовательностей землетрясений в сейсмоактивном регионе северного Тянь-Шаня и прилегающих территорий // Глубинное строение, геодинамика, тепловое поле земли, интерпретация геофизических полей. Материалы конференции. Екатеринбург, 2015. С. 358‒362.
- Юров Ю.Г. Строение земной коры на Кавказе и изостазия // Советская геология. 1963. № 9. С. 42–47.
- Bobrov D., Kitov I., Zerbo L. Perspectives of Cross-Correlation in Seismic Monitoring at the International Data Centre // Pure and Applied Geophysics. 2014. V. 171. P. 439–468. https://doi.org/10.1007/s00024-012-0626-x
- Draper N.R., Smith H. Applied Regression Analysis. N. Y.: John Wiley & Sons, 1966. 407 p.
- Geller R.J., Mueller C.S. Four Similar Earthquakes in Central California // Geophys. Res. Lett. 1980. V. 7. Iss. 10. P. 821‒824. https://doi.org/10.1029/GL007i010p00821
- Hardebeck J.L., Felzer K.R., Michael A.J. Improved tests reveal that the accelerating moment release hypothesis is statistically insignificant // Geophys. Res. Lett. 2008. V. 113. B08310. https://doi.org/10.1029/2007JB005410
- Kværna T., Ringdal F. Generalized Beamforming, Phase Association and Threshold Monitoring using a Global Seismic Network / Eds E.S. Husebye, A.M. Dainty // Monitoring a Comprehensive Test Ban Treaty. NATO ASI Series. V. 303. Dordrecht: Springer, 1996. https://doi.org/10.1007/978-94-011-0419-7_24
- Lee W.H.K., Valdes C.M. HYP071PC: A personal computer version of the HYPO71 earthquake location program // U.S. Geological Survey Open File Report 85–749. 1985. 43 p.
- Malovichko A.A., Shulakov D.Y., Dudarov Z.I., Dolov S.M. The Results of the Local Seismic Monitoring in the Underground Baksan Neutrino Observatory // International Association of Seismology and Physics of the Earth’s Interior (IASPEI-2017). 2017. S02-6-02. P. 629.
- Nur A. Matsushiro, Japan, earthquake swarm: Confirmation of the dilatancy-fluid diffusion model // Geology. 1974. V. 2. № 5. P. 217‒221.
- Peterson J. Observation and modeling of seismic background noise // U.S. Department of Interior, Geological Survey. Open-File Report 93-322. 1993. 95 p.
- Plenkers K., Ritter J.R.R., Schindler M. Low Signal-to-Noise Event Detection Based on Waveform Stacking and Cross-Correlation: Application to a Stimulation Experiment // Journal of Seismology. 2013. V. 17. Iss. 1. P. 27‒49. https://doi.org/10.1007/s10950-012-9284-9
- Schaff D.P., Beroza G.C. Coseismic and Postseismic Velo-city Changes Measured by Repeating Earthquakes // J. of Geophys. Res. 2004. V. 109. B10302. https://doi.org/10.1029/2004JB003011
- Schaff D.P., Waldhauser F. One Magnitude Unit Reduction in Detection Threshold by Cross Correlation Applied to Parkfield (California) and China Ceismicity // Bulletin of the Seismological Society of America. 2010. V. 100. № 6. P. 3224–3238. https://doi.org/10.1785/0120100042100
- Shelly D.R., Ellsworth W.L., Hill D.P. Fluid ‒ faulting evolution in high definition: Connecting fault structure and frequency-magnitude variations during the 2014 Long Valley Caldera, California, earthquake swarm // J. of Geophys. Res.: Solid Earth. 2016. V. 121. № 3. P. 1776‒1795.
- Skoumal R.J., Brudzinski M.R., Currie B.S., Levy J. Optimizing Multi-Station Earthquake Template Matching Through Re-Examination of the Youngstown, Ohio, Sequence // Earth and Planet. Sci. Lett. 2014. V. 405. P. 274–280. https://doi.org/10.1016/j.epsl.2014.08.033
- Wu C., Meng X., Peng Z., Ben-Zion Y. Lack of spatiotemporal localization of foreshocks before the 1999 Mw 7.1 Düzce, Turkey, earthquake // Bulletin of the Seismological Society of America. 2014. V. 104. № 1. P. 560–566. https://doi.org/10.1785/0120130140
Supplementary files










