Temperature Error Estimation when Designing Greenhouse Heating Control Systems with Open Spiral
- Authors: Khvostov A.A.1,2, Slyusarev M.I.3, Zhuravlev A.A.3, Bityukov V.K.2, Khaustov I.A.2, Romanov R.A.2
-
Affiliations:
- Voronezh State Technical University
- Voronezh State University of Engineering Technologies
- N. E. Zhukovsky and Yu. A. Gagarin Air Force Academy
- Issue: Vol 30, No 2 (2024)
- Pages: 219-233
- Section: Automation. Information Technology. Control. Instruments
- URL: https://bakhtiniada.ru/0136-5835/article/view/278042
- DOI: https://doi.org/10.17277/vestnik.2024.02.pp.219-233
- ID: 278042
Cite item
Full Text
Abstract
The paper presents a method for assessing the error in calculating the temperature of a conductor during its heating when an electric current passes through it, taking into account the temperature dependence of the conductor resistance. Based on thermal balance relationships, dependencies were obtained to estimate the dynamics of errors in calculating the temperature of the open spiral of the heating element during the heating process. The mathematical model of heating was supplemented with the dependence of the conductor resistance on temperature, which made it possible to estimate the calculation error in steady state and in dynamics. Computational experiments have shown a decrease in the absolute and relative errors of calculations with an increase in the diameter of the conductor and the speed of air blowing.
Full Text
Введение
Агропромышленный комплекс относится к числу приоритетных отраслей народного хозяйства. В 2012 году Правительством РФ принята Государственная программа развития сельского хозяйства и регулирования рынков сельскохозяйственной продукции, сырья и продовольствия на 2013 – 2020 годы (от 14 июля 2012 № 717) [1]. Одним из направлений данной программы является подпрограмма «Развитие подотрасли растениеводства, переработки и реализации растениеводства», предусматривающая проведение мероприятия «Развитие производства продукции растениеводства в защищенном грунте». Данное мероприятие должно быть направлено на разработку новых ресурсосберегающих технологий выращивания тепличных овощных культур, а также на разработку новых и усовершенствование существующих конструкций теплиц, технологического оборудования и систем обеспечения микроклимата теплиц и грибоводческих комплексов для повышения урожайности и качества овощей [1, 2].
Теплицы, являясь наиболее практичным видом культивационного сооружения, гарантируют получение стабильно высоких урожаев в силу их малой зависимости от погодных условий и возможности создания оптимального искусственного микроклимата, управления питанием растений в период вегетации культур [2, 3].
Фактором, сдерживающим развитие тепличных хозяйств, являются значительные затраты на создание оптимального микроклимата в теплицах, составляющие свыше 40 % в себестоимости продукции, выращенной в условиях тепличного хозяйства. Кроме этого, замедляющим фактором является продолжительный период низких температур на территории РФ, а также рост цен на энергоресурсы.
В этой связи актуальным направлением является разработка современных энергосберегающих технологий и устройств их реализации, обеспечивающих создание оптимального микроклимата в теплицах, к числу основных показателей которого относят температуру воздуха и грунта, их влажность, освещенность, движение воздуха и его состав. Все эти параметры равнозначны, незаменимы и взаимосвязано воздействуют на возделываемую агрокультуру. Оптимальный уровень микроклимата в теплице обеспечивает наилучшие условия для роста и развития сельскохозяйственных культур [3]. Наиболее важным параметром микроклимата в теплице является температура воздуха и грунта.
Теплица, как объект автоматического управления температурным режимом, характеризуется нестационарностью и распределенностью параметров и воздействием возмущений в виде изменения степени загрязнения ограждений, нарастания объема листостебельной массы и пр. В то же время агротехнические нормы предписывают высокую точность поддержания температуры (1 °С) воздуха и почвы, а также ее адаптацию к изменяющимся фазам развития сельхозкультуры и параметрам внешней среды (смена времени суток и года, изменение солнечной активности и пр.).
Наиболее распространенные отопительные системы с горячей водой, а также системы обогрева на базе угольных и газовых печей не всегда могут быть реализованы в географически удаленных зонах, характеризующихся отсутствием газораспределительных сетей и развитой автотранспортной инфраструктуры для доставки углеводородного сырья, в которых электричество является единственным доступным стабильным источником энергии.
В этой связи более перспективным является использование электротехнических систем подогрева воздуха и грунта, выполненных на базе электронагревательных элементов в виде открытой или закрытой спирали [4]. Сравнительный анализ традиционных систем обогрева теплиц с электротехническими системами показал перспективность и эффективность последних [5].
Существующие расчеты геометрии и режима работы нагревательных элементов, как правило, осуществляются без учета влияния температуры проводника на его сопротивление с использованием значения номинального сопротивления при некоторой «рабочей» температуре [6]. В ряде случаев осуществляется оценка работы проектируемой системы в различных температурных режимах с использованием табличных значений сопротивлений или расчетов сопротивлений по зависимостям, связывающим их с температурой [7, 8]. Действительно, при обогреве больших объемов воздух, использовании конвективного отвода тепла от проводника или в случае незначительных отклонений температуры включения от рабочей влиянием температуры можно пренебречь. Однако в случае нагрева сравнительно небольших объемов (когда может осуществляться локальный резкий нагрев проводника), низкой интенсивности конвекции около проводника, существенной зависимости сопротивления проводника от температуры и т.д. влияние температуры проводника на его сопротивление будет существенным и приведет к росту погрешности расчетов. В этом случае при расчетах и проектировании нагревательных элементов, а также при оценке их динамических характеристик необходимо использовать модель нагрева, учитывающую зависимость сопротивления проводника от температуры.
Методика
Рассмотрим открытую спираль в виде однородного проводника, по которому протекает электрический ток [6, 9]. Количество теплоты, которое выделяется в проводнике за счет прохождения электрического тока, расходуется на нагрев проводника и отведение с поверхности конвекцией (излучением при этом пренебрегаем)
, (1)
где I – сила тока, проходящего по проводнику, А; R – сопротивление проводника, Ом; G – масса проводника, кг; с – удельная теплоемкость материала проводника, Дж/(кг×К); α – коэффициент теплоотдачи, Вт/(м2×К); F – площадь поверхности теплообмена проводника, м2; T – температура проводника, °С; T0 – начальная температура проводника (равна температуре воздуха, окружающего проводник), °С; t – время, с.
Разделим правую и левую части (1) на dt и запишем относительно неизвестного (T – T0)
. (2)
Полученное дифференциальное уравнение описывает нагрев проводника при постоянном сопротивлении без учета температурной поправки. Введем дополнительно зависимость сопротивления от температуры [6]
, (3)
где R0 – сопротивление проводника при температуре T0, Ом; – температурный коэффициент сопротивления, K–1.
Тогда перепишем уравнение (2) в следующем виде:
. (4)
Решение (4) будет следующим [9]:
. (5)
При (5) сводится к зависимости с постоянным сопротивлением
. (6)
В установившемся режиме оценим температуру проводника как для (5)
, (7)
и для (6)
. (8)
Для оценки средней погрешности расчета температуры спирали без учета температурной зависимости сопротивления проводника от температуры рассчитаем среднюю температуру спирали за время нагрева τ без учета температурной поправки [10]
, (9)
и с ее учетом
(10)
Соответствующие значения в установившемся режиме оценим как для (9)
, (11)
что соответствует (8), и для (12)
, (12)
что соответствует (7).
Полученные формулы (5) – (12) позволяют вывести зависимости для оценок абсолютной погрешности за время нагрева τ
; (13)
средней абсолютной погрешности за время нагрева τ
; (14)
а также абсолютной и относительной погрешности в установившемся режиме:
; (15)
. (16)
По формулам (13) – (16) можно оценить возможную погрешность при расчете, проектировании или оценке статических и динамических характеристик систем управления нагревательными элементами с открытой спиралью.
Коэффициент теплоотдачи α, входящий в уравнения динамики нагрева (5) и (6), может быть определен по критерию Нуссельта Nu
, (17)
где dсп – диаметр спирали, м; λсп – коэффициент теплопроводности материала спирали, Вт/(м×K).
Критерий Нуссельта в свою очередь связан с критериями Рейнольдса Re, Грасгофа Gr и Прандтля Pr [11, 12]:
, (18)
где – скорость движения воздуха, м/с; – плотность воздуха, кг/м3; – динамическая вязкость воздуха, Па×с;
, (19)
где – коэффициент температурного расширения воздуха, K–1; – температурный напор между поверхностью спирали и воздухом, °С;
, (20)
где – удельная теплоемкость воздуха, Дж/(кг×м3); – коэффициент теплопроводности воздуха, Вт/(м·K).
Теплообмен между нагретой спиралью и окружающим ее воздухом может осуществляться в условиях как естественной, так и вынужденной конвекции.
При естественной конвекции перемещение отдельных объемов воздуха происходит исключительно вследствие различия температур в его разных местах и вызванного этим различия плотностей. В этом случае критерием Рейнольдса допустимо пренебречь и критерий Нуссельта Nu связан только с критериями Грасгофа Gr и Прандтля Pr.
По данным академика М. А. Михеева [12], в условиях естественной конвекции возле тонких нагретых проволок возникает пленочный или переходной от пленочного к ламинарному режимы течения теплоносителя.
Для таких случаев критерий Нуссельта может быть вычислен как
(21)
В случае вынужденной конвекции интенсивность принудительного движения теплоносителя преобладает над интенсивностью его свободного движения. В этой связи критерий Нуссельта зависит от критерия Рейнольдса. Критерием Грасгофа допустимо пренебречь.
В условиях вынужденной конвекции при поперечном обтекании воздушного потока поверхности цилиндра или трубы критерий Нуссельта может быть вычислен как [12]:
(22)
Располагая значением критерия Нуссельта, из формулы (17) можно определить значение коэффициента теплоотдачи для данных условий
. (23)
Экспериментальная часть
Проведем серию вычислительных экспериментов на примере конвективного теплообмена между воздухом и нагретой открытой спирали при протекании по ней электрического тока [9, 10].
Исследуем зависимости (13) – (16) на предмет чувствительности ошибки расчетов без учета температуры к изменению параметров, входящих в (13) – (16) и которые могут варьироваться в процессе проектирования или расчета нагревательного элемента.
Как видно из (13) – (16), влияние на погрешность расчетов оказывают параметры I, F, G, C, α, α*, R0. Поскольку величины I, F, G, C взаимосвязаны функционально и определяются в большей степени геометрией проводника, их можно охарактеризовать диаметром проводника, через изменение которого произойдет изменение перечисленных выше параметров (13) – (16). Коэффициент теплоотдачи a определяется в основном расходом воздуха при обдуве и площадью поверхности теплообмена, α α*, R0 – типом материала. Таким образом, целесообразно провести исследование влияния диаметра проводника dсп, расхода воздуха (нагреваемой среды) V и типа материала (α*, R0).
В качестве объекта моделирования принята электрическая спираль, изготовленная из никель-хромового сплава нихром Х20Н80, теплофизические характеристики которого представлены ниже.
Удельное электрическое сопротивление r, Ом/(мм2×м)....... | 1,1 |
Плотность rсп, кг/м3.................................................................................. | 8300 |
Удельная теплоемкость cсп, Дж/(кг×K)............................................ | 440 |
Температурный коэффициент сопротивления α*, K–1............ | 0,0002 |
Приведем теплофизические свойства воздуха (при температуре 20 °С).
Коэффициент теплопроводности lв, Вт/(м×K)........................ | 0,0305 |
Плотность rв, кг/м3............................................................................. | 1,5 |
Динамическая вязкость mв, Па×с.............................................. | 0,000021 |
Коэффициент температурного расширения bв, K–1......... | 0,00343 |
Удельная теплоемкость cв, Дж/(кг×м3)................................... | 1009 |
Эксперимент № 1. Оценка влияния температурной зависимости сопротивления на погрешность вычисления температуры спирали.
Диаметр спирали 0,8 мм. Электрическая мощность, выделяемая в спирали при прохождении тока, 1000 Вт (при напряжении U = 220 В). Начальная температура спирали и температура окружающего воздуха принята T0 = 20 °С. Скорость движения воздуха м/с.
По известным соотношениям [6] вычислены параметры нагревательного элемента: сила тока I, электрическое сопротивление R0 (при T0 = 20 °С), длина спирали L, масса G и площадь поверхности теплообмена F.
Сила тока I, А................................................................. | 4,545 |
Электрическое сопротивление R0, Ом............. | 48,4 |
Площадь поверхности теплообмена F, м....... | 0,055 |
Масса проводника G, кг........................................... | 0,092 |
Длина L, м........................................................................ | 22,1 |
Критерии Рейнольдса Re, Прандтля Pr и Нуссельта рассчитаны по формулам (18), (19) и (20) соответственно. Значение коэффициента теплоотдачи a вычислено по формуле (26). Температура в установившемся режиме с учетом и без учета температурной зависимости сопротивления рассчитаны по формулам (7) и (8) соответственно. Абсолютная и относительная погрешности – по формулам (15) и (16). Приведем ниже результаты вычислительного эксперимента № 1.
Критерии: Рейнольдса Re................................................................................. |
56,87 |
Прандтля Pr...................................................................................... | 0,7 |
Нуссельта Nu................................................................................... | 3,43 |
Коэффициент теплоотдачи a, Вт/(м2×K)............................ | 130,88 |
Температура в установившемся режиме, °С: – с учетом температурной зависимости сопротивления ....... |
161,48 |
– без учета температурной зависимости сопротивления ...... | 157,58 |
Погрешность: – абсолютная , °С................................................................................. |
3,97 |
– относительная , %............................................................................. | 2,5 |
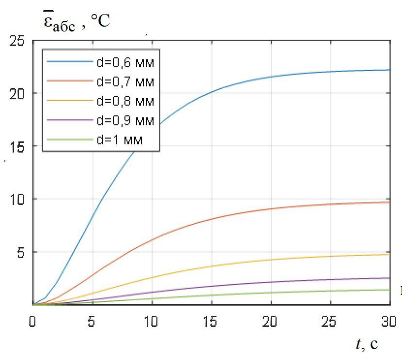
На рис. 1, 2 представлены результаты моделирования процесса нагрева открытой спирали.
Расчетная погрешность расчета температуры нагрева без учета температурной поправки в установившемся режиме – 3,97 °С, что составило относительно предельного значения (161,48 °С) 2,5 %.
Эксперимент № 2. Оценка влияния диаметра нагревательного элемента на погрешность вычисления температуры спирали.
Электрическая мощность, выделяемая в спирали при прохождении тока, 1000 Вт (при напряжении U = 220 В). Начальная температура спирали и температура окружающего воздуха принята T0 = 20 °С. Скорость движения воздуха м/с. Диаметр спирали dсп варьировали в диапазоне от 0,6 до 1,0 мм с шагом 0,1 мм.
Рис. 1. Изменение температуры спирали при ее нагреве с температурной поправкой (1) и без нее (2)
Рис. 2. Изменение абсолютной погрешности расчета температуры спирали при ее нагреве
По известным соотношениям [6] для заданного диаметра нагревательного элемента вычислены те же параметры, что и в эксперименте № 1, а также площадь поперечного сечения S (табл. 1).
Таблица 1
Параметры нагревательного элемента
Параметр | Диаметр нагревательного | ||||
0,6 | 0,7 | 0,8 | 0,9 | 1,0 | |
Сила тока I, А | 4,54 | ||||
Электрическое сопротивление R0, Ом | 48,4 | ||||
Площадь поперечного сечения S, мм2 | 0,283 | 0,385 | 0,502 | 0,636 | 0,785 |
Длина L, м | 12,43 | 16,92 | 22,11 | 27,98 | 34,54 |
Масса G, кг | 0,029 | 0,054 | 0,092 | 0,147 | 0,225 |
Площадь поверхности теплообмена F, м2 | 0,023 | 0,037 | 0,055 | 0,079 | 0,108 |
Критерии Рейнольдса Re, Прандтля Pr и Нуссельта Nu рассчитаны по формулам (21), (23) и (25) соответственно. Значение коэффициента теплоотдачи a вычислено по формуле (23). Температура в установившемся режиме с учетом и без учета температурной зависимости сопротивления рассчитаны по формулам (7) и (8) соответственно. Абсолютная и относительная погрешности – по формулам (15) и (16). Результаты вычислительного эксперимента № 2 представлены в табл. 2 и на рис. 3, 4.
Эксперимент № 3. Оценка влияния скорости воздуха на погрешность вычисления температуры спирали.
Таблица 2
Результаты вычислительного эксперимента № 2
Название параметра | Диаметр нагревательного | ||||
0,6 | 0,7 | 0,8 | 0,9 | 1,0 | |
Критерии: Рейнольдса Re | 42,65 | 49,76 | 56,87 | 63,98 | 71,09 |
Прандтля Pr | 0,7 | ||||
Нуссельта Nu | 2,97 | 3,21 | 3,43 | 3,64 | 3,84 |
Коэффициент теплоотдачи a, Вт/(м2×K) | 151,14 | 139,92 | 130,89 | 123,4 | 117,07 |
Температура в установившемся режиме, °С:
|
329,90 |
222,92 |
162,54 |
125,56 |
100,37 |
| 307,62 | 213,12 | 157,63 | 122,56 | 98,78 |
Погрешности:
|
22,3 |
9,8 |
4,9 |
2,7 |
1,6 |
| 7,2 | 4,6 | 3,1 | 2,2 | 1,6 |
Рис. 3. Влияние диаметра спирали на изменение абсолютной погрешности расчета температуры спирали при ее нагреве
Рис. 4. Влияние диаметра спирали на абсолютную (1) и относительную (2) погрешности расчета температуры спирали при ее нагреве
Электрическая мощность, выделяемая в спирали при прохождении тока 1000 Вт (при напряжении U = 220 В). Начальная температура спирали и температура окружающего воздуха приняты T0 = 20 °С. Диаметр спирали 0,8 мм. Скорость движения воздуха варьировали в интервале от 0,5 до 2,5 м/с с шагом 0,5 м/с.
Параметры нагревательного элемента для данных условий соответствуют параметрам вычислительного эксперимента № 1 (см. с. 225).
Критерии Рейнольдса Re, Прандтля Pr и Нуссельта рассчитаны по формулам (21), (23) и (25) соответственно. Значение коэффициента теплоотдачи a вычислено по формуле (26). Температура в установившемся режиме с учетом и без учета температурной зависимости сопротивления рассчитаны по формулам (7) и (8) соответственно. Абсолютная и относительная погрешности – по формулам (15) и (16). Результаты вычислительного эксперимента № 3 представлены в табл. 3 и рис. 5, 6.
Таблица 3
Результаты вычислительного эксперимента № 3
Название параметра | Скорость движения воздуха , м/с | ||||
0,5 | 1,0 | 1,5 | 2,0 | 2,5 | |
Критерии: Рейнольдса Re |
28,43 |
56,87 |
85,31 |
113,74 |
142,18 |
Прандтля Pr | 0,7 | ||||
Нуссельта Nu | 2,43 | 3,43 | 4,20 | 4,86 | 5,43 |
Коэффициент теплоотдачи a, Вт/(м2×K) | 92,55 | 130,88 | 160,30 | 185,10 | 206,95 |
Температура в установившемся режиме, °С:
|
222,32 |
161,48 |
134,92 |
119,22 |
108,56 |
| 214,58 | 157,58 | 132,34 | 117,29 | 107,02 |
Погрешности:
|
8 |
3,97 |
2,6 |
1,97 |
1,6 |
| 4,1 | 2,9 | 2,3 | 2 | 1,8 |
Рис. 5. Влияние скорости воздуха на изменение абсолютной погрешности расчета температуры спирали при ее нагреве
Рис. 6. Влияние скорости воздуха на абсолютную (1) и относительную (2) погрешности расчета температуры спирали при ее нагреве
Результаты и их обсуждение
Как видно из представленных на рис. 1, 2 данных и по результатам вычислительного эксперимента № 1 (см. с. 225), в процессе нагрева погрешность расчетов без учета температурной зависимости сопротивления проводника для заданных условий нагрева начинает увеличиваться, принимая по истечении некоторого времени постоянное значение.
По данным таблицы 2 и рис. 3, 4 можно сказать, что с увеличением диаметра спирали относительная и абсолютная ошибки расчетов в установившемся режиме снижаются, то есть при расчете температурного режима тонких спиралей следует учитывать температурный коэффициент сопротивления и для оценки динамики нагрева использовать формулу (5). Расчет по формуле без учета температурной поправки приведет к существенным погрешностям. Для относительно толстых спиралей (определяется также материалом спирали) зависимость сопротивления от температуры можно не учитывать.
Результаты, представленные в табл. 3 и рис. 5, 6, показывают, что с увеличением скорости воздуха погрешность расчета в установившемся режиме снижается. Таким образом, в условиях активного конвективного теплообмена с окружающей средой температурной поправкой можно пренебречь, однако в условиях низкой интенсивности теплообмена погрешности расчетов без учета температурной поправки могут привести к существенным погрешностям.
Заключение
Полученные аналитические зависимости и результаты моделирования показали, что введение температурной поправки в ряде случаев позволяет существенно снизить погрешность расчетов. Прогноз возможных погрешностей по зависимостям (13) – (16) позволяет оценить целесообразность введения поправки для конкретных расчетных задач. Представленные зависимости позволяют учитывать влияние режима обдува, типа материала и геометрию спирали на погрешность расчетов. Это позволит оценить необходимость температурной поправки в случаях, когда критично время нагрева, а также для оценки динамических свойств объекта управления при синтезе систем управления нагревательными элементами.
About the authors
A. A. Khvostov
Voronezh State Technical University; Voronezh State University of Engineering Technologies
Author for correspondence.
Email: romanov_ra@list.ru
доктор технических наук, профессор кафедры прикладной математики и механики, профессор кафедры информационных и управляющих систем
Russian Federation, Voronezh; VoronezhM. I. Slyusarev
N. E. Zhukovsky and Yu. A. Gagarin Air Force Academy
Email: romanov_ra@list.ru
доктор технических наук, доцент, профессор кафедры криогенных машин, установок и электрогазовой техники
Russian Federation, VoronezhA. A. Zhuravlev
N. E. Zhukovsky and Yu. A. Gagarin Air Force Academy
Email: romanov_ra@list.ru
кандидат технических наук, доцент кафедры математики, кафедра криогенных машин, установок и электрогазовой техники
Russian Federation, VoronezhV. K. Bityukov
Voronezh State University of Engineering Technologies
Email: romanov_ra@list.ru
доктор технических наук, профессор кафедры информационных и управляющих систем
Russian Federation, VoronezhI. A. Khaustov
Voronezh State University of Engineering Technologies
Email: romanov_ra@list.ru
доктор технических наук, профессор, заведующий кафедрой информационных и управляющих систем
Russian Federation, VoronezhR. A. Romanov
Voronezh State University of Engineering Technologies
Email: romanov_ra@list.ru
старший преподаватель кафедры информационных и управляющих систем
Russian Federation, VoronezhReferences
- Gosudarstvennaya programma razvitiya sel'skogo hozyajstva i regulirovaniya rynkov sel'skohozyajstvennoj produkcii, syr'ya i prodovol'stviya na 2013-2020 gody. [The State Program for the development of agriculture and regulation of agricultural products, raw materials and food markets for 2013-2020], available at: https://rosstat.gov.ru/storage/mediabank/post717-2012.pdf (accessed 10 February 2024).
- Gish R.A., Karpenko E.N. [Modernization and improvement of microclimate parameter control is the basis of V generation greenhouses], Politematicheskij setevoj elektronnyj nauchnyj zhurnal Kubanskogo gosudarstvennogo agrarnogo universiteta [Polythematic online electronic scientific journal of the Kuban State Agrarian University], 2016, no. 123, pp. 1929-1951. doi: 10.21515/1990-4665-123-129 (In Russ., abstract in Eng.)
- Mukazhanov Y., Zhiyembayev Z., Shaltabayev A., Telebayev Y., Alimbayev C. Substantiation of Parameters of Microclimate in Greenhouses, 17th International Multidisciplinary Scientific GeoConference SGEM 2017, SGEM2017 Conference Proceedings (Albena, Bulgaria, 29 June – 5 July, 2017), 2017, vol. 17, is. 62, pp. 765-770. doi: 10.5593/sgem2017/62/S27.097
- Shelekhov I.Yu., Sidel'nikova A.Yu. [Efficiency assessment of using various methods of greenhouse heating], Izvestiya vuzov. Investitsii. Stroitelstvo. Nedvizhimost [Proceedings of Universities. Investment. Construction. Real estate], 2013, no. 1(4), pp. 138-142 (In Russ., abstract in Eng.)
- Sobolev A.V. [The effectiveness of regulating the microclimate in greenhouses using electricity], Vestnik KrasGAU [The Bulletin of KrasGAU], 2014, no. 2(89), pp. 154-156. (In Russ., abstract in Eng.)
- Strupinskij M.L., Hrenkov N.N., Kuvaldin A.B. Proektirovanie i ekspluataciya sistem elektricheskogo obogreva v neftegazovovoj otrasli [Engineering and maintenance of electric heating systems in the oil and gas industry], Moscow, Infra-Inzheneriya, 2015, 328 p. (In Russ.)
- Laktionov I.S., Vovna O.V., Zori A.A., Lebedev V.A. Results of Simulation and Physical Modeling of the Computerized Monitoring and Control System for Greenhouse Microclimate Parameters, International Journal on Smart Sensing and Intelligent Systems, 2018, vol. 11, no. 1, pp. 1178-5608. doi: 10.21307/ijssis-2018-017
- Vladykin I., Loginov V., Kochurova O. Mathematical Model of Temperature Field in a Greenhouse, Yale review of education and science, 2015, vol. VI, no. 1(16)., pp. 157-164.
- Hvostov A.A., Zhuravlev A.A., Celyuk D.I., Zhuravlev E.A. Tekhnika i bezopasnost' ob"ektov ugolovno-ispolnitel'noj sistemy : sbornik materialov Mezhdunarodnoj nauchno-prakticheskoj mezhvedomstvennoj konferencii [Equipment and security of the objects of the penitentiary system: collection of materials of the International Scientific and Practical Interdepartmental Conference], Voronezh, 2016, pp. 328-329. (In Russ., abstract in Eng.)
- Sumin A.I., Hvostov A.A., Zhuravlev A.A., Sinyukov V.V. [Estimation of temperature error in modeling of unsteady thermal mode of heating of an open heating element spiral], Vestnik Voronezhskogo instituta FSIN Rossii [Bulletin of Voronezh Institute of the Russian Federal Penitentiary Service], 2018, no. 1, pp. 108-117. (In Russ., abstract in Eng.)
- Ostrikov A.N. Processy i apparaty pishchevyh proizvodstv [Processes and apparatuses of food production], St. Petersburg, GIORD, 2012, 616 p. (In Russ.)
- Bolgarskij A.V., Muhachev G.A., Shchukin V.K. Termodinamika i teploperedacha [Thermodynamics and heat transfer], Moscow, Vysshaya shkola, 1975, 495 p. (In Russ.)
Supplementary files









