Ecological and Biological Aspects of Effect of Nanoparticles and Toxic Forms of Metals on Marine and Opportunistic Bacteria
- Autores: Beleneva I.A.1, Kharchenko U.V.2
-
Afiliações:
- Zhirmunsky National Scientific Center of Marine Biology, Far Eastern Branch, Russian Academy of Sciences
- Institute of Chemistry, Far Eastern Branch, Russian Academy of Sciences
- Edição: Volume 50, Nº 3 (2024)
- Páginas: 203-216
- Seção: ОРИГИНАЛЬНЫЕ СТАТЬИ
- ##submission.dateAccepted##: 30.10.2024
- ##submission.datePublished##: 15.06.2024
- URL: https://bakhtiniada.ru/0134-3475/article/view/267953
- DOI: https://doi.org/10.31857/S0134347524030036
- ID: 267953
Citar
Texto integral
Resumo
We studied effects of new materials such as, in particular, earlier obtained biogenic selenium and tellurium nanoparticles on the properties that determine pathogenic potential of type bacterial cultures and aggressiveness of marine-derived strains. We compared the effect of nanoparticles on bacteria to that of known toxicants in several experiments aimed to determine the growth characteristics and activity of enzymes on nutrient media, and also the adhesion to human red blood cells. The following concentrations of toxicants were used: sodium selenite and potassium tellurite, 100 μg/mL; copper sulfate, 10 μg/mL; selenium and tellurium nanoparticles, 100 μg/mL. We found that nanoparticles mainly inhibited the proteolytic, lipolytic, amylase, DNase, and hemolytic activities, whereas copper ions stimulated them. Selenium nanoparticles inhibited the pigment synthesis in Pseudomonas aeruginosa and Staphylococcus aureus. Nanoparticles and soluble forms of selenium and tellurium suppressed the bacterial adhesion to human red blood cells, while copper ions stimulated it. We also carried out an assessment of possible environmental risks of emergence/use of the toxicants under study in the marine environment using an Artemia salina model. Based on the analysis of selenium and tellurium nanoparticles, we could classify them as nontoxic compounds and sodium selenite, potassium tellurite, and copper sulfate as toxic ones.
Palavras-chave
Texto integral
Патогенность – свойство микроорганизма вызывать заболевание. К факторам патогенности относят способность к адгезии на поверхности эпителия и проникновению внутрь макроорганизма благодаря ферментативной активности в отношении ряда органических субстратов. Ферментами агрессии являются гиалуронидаза, лецитиназа, протеаза, амилаза, ДНК-аза, гемолизины и ряд других. Так, у стафилококков, выделенных из гнойного отделяемого, самыми распространенными растворимыми факторами вирулентности были казеиназа, липаза и лецитиназа (Preda et al., 2021).
Наиболее признанной в настоящее время теорией возникновения новых свойств, регулирующих экспрессию факторов патогенности, является концепция стрессовых ответов микроорганизмов на химические, физические и биологические воздействия.
Вездесущность микроорганизмов и металлов привела к их взаимодействию на протяжении тысячелетий, в результате которого микробы накапливали генетические адаптации, позволяющие нейтрализовать токсическое воздействие ионов металлов (Frankel et al., 2016). Селен и теллур широко используются в высокотехнологичных отраслях современной промышленности, и загрязнение, вызванное их выбросом в окружающую среду, вызывает озабоченность. Растворимые формы селена и теллура токсичны для микроорганизмов, а элементарные селен Se0 и теллур Te0 нерастворимы в воде и имеют низкую биодоступность. Поэтому многие бактерии используют механизм восстановления Se4+ и Te4+ до их элементарных форм в качестве эффективной стратегии резистентности (Chua et al., 2015).
Использование соединений меди в качестве биоцидов до сих пор является самым распространенным методом защиты от обрастания, в то же время медь является лидером в списке загрязнителей морской среды. Влияние меди на морские организмы активно исследуется (Copper Water Quality …, 2019). Механизмы адаптации микроорганизмов к токсическому воздействию ионов меди весьма разнообразны и включают в себя, в частности, повышение активности ферментов (Cheng et al., 2022).
Неуклонно возрастающий интерес к использованию биогенных и химически синтезированных наночастиц в биомедицине, экологии и фармацевтике как альтернативы антибиотикам стимулирует исследования в этом направлении. Так, продемонстрирована бактерицидная активность наночастиц теллура против клинических штаммов Salmonella typhi, Staphylococcus aureus, Klebsiella pneumoniae и Pseudomonas aeruginosa (Zare et al., 2012). Сведен в обзор обширный материал об антимикробной активности наночастиц селена в отношении широкого спектра патогенных бактерий (Escobar-Ramírez et al., 2021). Суммированы достижения, касающиеся методов получения наночастиц Se, а также понимания их биологических функций и механизмов использования в биомедицине (Lin et al., 2021). Ранее нами было установлено, что антимикробная активность биогенных наночастиц Те в отношении Escherichia coli, P. aeruginosa, S. aureus, Bacillus subtilis и Candida albicans была выше, чем у наночастиц Se (Beleneva et al., 2022).
Развитие нанотехнологий неизбежно приводит к выбросу наноматериалов в окружающую среду и в морские экосистемы (Zhang et al., 2020). Уже сейчас известно о негативном воздействии ряда наноматериалов на гидробионты (Ипатова и др., 2016; Gomes et al., 2013; Prato et al., 2021).
Сведения о влиянии наноразмерных частиц металлоидов на морские микроорганизмы весьма малочисленны. Был проведен глубокий физиологический и транскриптомный анализ адаптивных механизмов у морской бациллы B. subtilis, индуцированных алюминиевыми наночастицами (Mu et al., 2016). Описано влияние легированных медью титановых наночастиц на ростовые особенности Shewanella oneidensis (Wu et al., 2010). Информация о влиянии тяжелых металлов/металлоидов и произведенных из них наночастиц на патогенный потенциал микроорганизмов и, в частности, на синтез ряда ферментов, также остается весьма фрагментарной (Chua et al., 2015; Maltman, Yurkov, 2015; Elshaer, Shaaban, 2021). Бактериальный ответ на наноматериалы может включать модуляцию факторов патогенности, усиливая их при остром или хроническом воздействии (Zhang et al., 2020). Для прогнозирования долгосрочных последствий появления наноматериалов в морской среде явно недостаточно данных об их свойствах. Требуется более глубокое понимание взаимодействий наночастиц с живыми организмами. Оценка влияния полученных нами биогенных наночастиц селена и теллура на свойства, определяющие патогенный потенциал типовых бактериальных культур и агрессивность штаммов морского происхождения по сравнению с действием известных токсикантов – селенита натрия, теллурита калия и сульфата меди, была целью данного исследования. Кроме того, мы сделали попытку оценить возможный экологический риск применения наночастиц и токсичных соединений металлов в морской среде на модели Artemia salina.
МАТЕРИАЛ И МЕТОДИКА
Бактериальные штаммы
Были использованы бактериальные культуры, хранившиеся при -85°C в Музее морских гетеротрофных бактерий ННЦМБ ДВО РАН в криопробирках с морской водой, содержащей 1% пептона, 30% глицерина и MgSO4 в концентрации 5 г/л. Для типовых штаммов Escherichia coli ATCC 15034, Staphylococcus aureus ATCC 21027, Pseudomonas aeruginosa KMM 433 морская вода заменена на дистиллированную. Pseudoalteromonas piscicida 2202 ранее выделен нами из гемальной жидкости Modiolus kurilensis (Eliseikina et al., 2021), Pseudoalteromonas shioyasakiensis 2476 – из биопленок обрастания плексигласа (Beleneva et al., 2022) и Vibrio alginolyticus 2637 – из антиобрастающего покрытия. Культивирование морских изолятов проводили на Marine agar 2216 или Marine Broth (Difco), типовых культур – на LB (Miller) бульоне или LB с добавлением 1.2% агара (Sigma).
Способность к росту в присутствии разных добавок тестировали при культивировании бактерий на соответствующей питательной среде с внесением селенита натрия и теллурита калия в конечной концентрации 100 мкг/мл, сульфата меди – 10 мкг/мл, наночастиц селена и теллура – по 100 мкг/мл. Базовую бактериальную суспензию готовили из суточной культуры на физиологическом растворе плотностью 108 кл/мл по стандарту мутности (0.5 McFarland). По 500 мкл суспензии вносили в пробирки с 4.5 мл питательной среды с добавками. Контролем служила питательная среда без добавок. Рост биомассы оценивали по изменению оптической плотности при λ = 490 нм в кювете размером 1 см на спектрофотометре PD-303 Apel (Япония).
Все опыты проводили в трех повторностях, полученные результаты подвергали статистической обработке с расчетом средних значений и стандартного отклонения. Различия между обработанными образцами и контролем определяли с помощью одностороннего дисперсионного анализа (Statistica 6.0). Различия считались достоверными при p < 0.05.
Одновременно на базовой суспензии исследовали действие добавок на продукцию ферментов.
Для исследования влияния добавок на продукцию ферментов брали концентрации, при которых испытуемые штаммы заведомо показывали хороший видимый рост. Выбранная концентрация меди была сопоставима с использованными в работах других авторов: 0.05–1 мМ CuSO4 (Stachurska et al., 2020). Более высокие дозы этого металла мы не анализировали, и не оценивали минимальную ингибирующую концентрацию (МИК) для исследованных штаммов.
Плотные среды для определения протеазной, амилазной, лецитиназной, липазной активности (чашечный метод) готовили согласно Практикуму (2005), внося в базовую среду соответствующий субстрат. Для определения протеазной активности использовали молочный агар: к 25 г/л агара добавляли 0.5% молоко в соотношении 1 : 2 по объему; агар и молоко стерилизовали отдельно. Бактерии засевали штрихом на поверхность агара, инкубировали в течение суток, затем измеряли зоны просветления вокруг колоний. Лецитиназную активность определяли выращивая бактерии на яично-желтковом агаре в течение 24 ч при 37°С. Непрозрачные зоны измеряли как индикаторы продукции лецитиназы. Липазную активность тестировали на Marine agar 2216 или на LB агаре с добавлением 0.01% СaCl2 × H2O и 1% твин-80, учитывая зоны преципитации. ДНКазную активность определяли на среде DNase test agar (Merck). Гемолитическую активность определяли по стандартной методике (Справочник..., 1982). На 5% кровяной агар засевали суточную бактериальную культуру. После 24 ч инкубации при 35°С учитывали характер гемолиза и величину зоны лизиса эритроцитов в мм.
Изучение влияния разных добавок на адгезивные свойства бактерий проводили согласно методике Брилиса с соавторами (1986) в 96-луночном планшете для иммунологических исследований. Бактерии выращивали в течение суток на плотном питательном агаре, затем готовили суспензию на физиологическом растворе с плотностью 108 кл./мл по стандарту мутности (0.5 McFarland). По 100 мкл суспензии вносили в 1 мл соответствующей питательной среды в стерильных пенициллиновых флаконах с добавками; контролем служила среда без добавок. Культуры в течение суток инкубировали в термостате при 30°С. Затем в лунки планшета вносили по 20 мкл суточной бактериальной суспензии и нативных эритроцитов человека (0(І) группа крови Rh+) c плотностью 2.8 × 108, численность которых предварительно оценивали на цитометре CytoFLEX 5 (Bekman Coulter). Планшет инкубировали в термостате при 30°С в течение 30 мин при регулярном встряхивании. Затем готовили мазки, фиксировали в пламени горелки, окрашивали по Граму и микроскопировали с иммерсией. Адгезивные свойства оценивали, учитывая средний показатель адгезии (СПА) – среднее количество бактерий, прикрепившихся к одному эритроциту. Подсчитывали не менее 25 эритроцитов, учитывая не более 5 эритроцитов в одном поле зрения.
Количественное определение белка проводили на планктонных культурах микрометодом по Доусону (Dawson et al., 1986) в модификации с биуретовым методом определения активности протеазы по убыли альбумина по Нетрусову (Практикум…, 2005). Бактерии выращивали в течение суток на плотном питательном агаре, затем готовили суспензию на физрастворе с плотностью 108 кл./мл по стандарту мутности (0.5 McFarland). По 500 мкл суспензии вносили в пробирки с 4.5 мл физраствора с добавками, конечные концентрации которых были идентичны таковым в эксперименте по изучению адгезии. Контролем служил физиологический раствор без добавок. После суток культивирования к 0.5 мл бактериальной суспензии добавляли 1 мл 1% альбумина в калий-фосфатном буфере, при рН = 7.5 и инкубировали 30 мин при 35°С. Реакцию останавливали на льду и осаждали клетки центрифугированием в течение 15 мин при 3000 об/мин. Затем 1 мл супернатанта смешивали с 1 мл 6% раствора NaOH и 0.1 мл раствора Бенедикта. Через 10 мин созревания окраски при комнатной температуре измеряли оптическую плотность полученного раствора на спектрофотометре РD-303 при длине волны равной 340 нм против физраствора и/или физраствора с добавлением растворов наночастиц, селенита, теллурита и сульфата меди.
Расчет активности протеазы (мг/мин×мл) проводили по Нетрусову (Практикум…, 2005), используя формулу:
,
где D0 – оптическая плотность в опыте, Dk – оптическая плотность в контроле, Dm – оптическая плотность бактериальной взвеси, t – время инкубации, k1 – 0.5 мл супернатанта и 1 мл физиологического раствора, k2 – 1 мл 1% раствора альбумина и 0.5 мл физраствора.
Тест на токсичность биогенных наночастиц и известных токсикантов проводили на модели Artemia salina в статических условиях в течение 48 ч при комнатной температуре в закрытых стеклянных чашках Петри. Каждое соединение тестировали на трех партиях артемии (Manfra et al., 2015).
РЕЗУЛЬТАТЫ
Все исследованные бактериальные штаммы были способны расти на питательных средах при следующих концентрациях токсикантов: селенита натрия и теллурита калия – 100 мкг/мл, сульфата меди – 10 мкг/мл, наночастиц селена и теллура – 100 мкг/мл, что контролировали высевом на плотные среды. Все штаммы были способны редуцировать селенит натрия с образованием частиц Se0, придающих красный цвет среде культивирования. Три бактериальные культуры из шести (Escherichia coli, Staphylococcus aureus и Pseudoalteromonas shioyasakiensis 2476) восстанавливали теллурит калия до Te0 с образованием наночастиц черного цвета в концентрации солей металлоидов 100 мкг/мл.
Добавки наночастиц селена и теллура практически не влияли на бактериальный рост, в отличие от добавок селенита и теллурита (рис. 1). Так, добавление селенита приводило к стимулированию роста E. coli, Pseudomonas aeruginosa, S. aureus, Vibrio alginolyticus 2637 и Pseudoalteromonas piscicida 2202, а добавка теллурита подавляла рост E. coli, P. aeruginosa, V. alginolyticus 2637 и P. piscicida 2202. Добавка сульфата меди стимулировала рост всех трех тестовых культур и подавляла рост морских изолятов: P. piscicida 2202, V. alginolyticus 2637 и Pseudoalteromonas shioyasakiensis 2476.
Рис. 1. Рост бактериальных культур на питательной среде в присутствии разных токсикантов. Контроль – среда без добавок
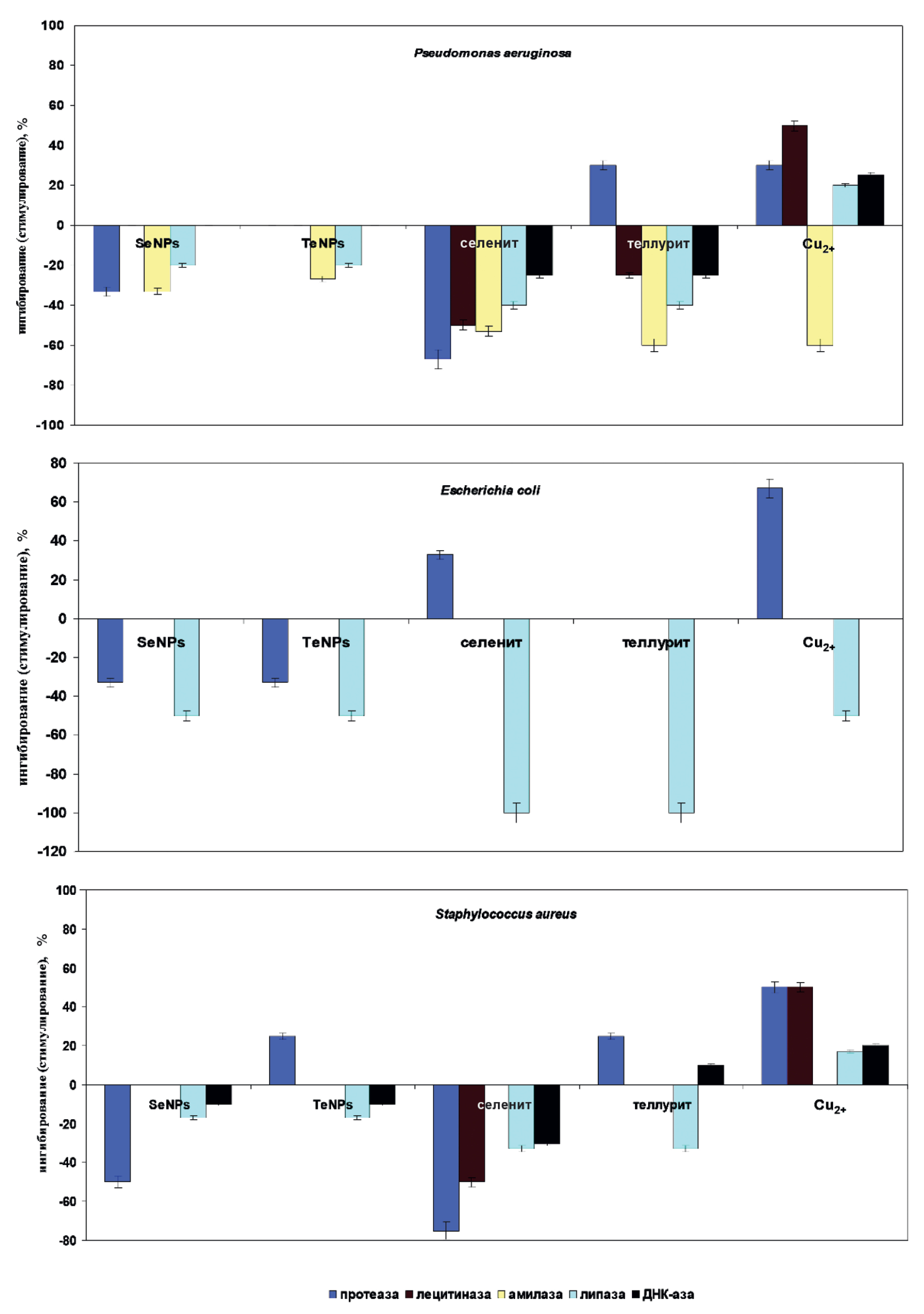
Оценка ферментативной активности тестируемых культур на плотном агаре чашечным методом выявила ряд особенностей (рис. 2, 3). Добавки селенита натрия и наночастиц Se оказывали подавляющее действие на активность протеазы, за исключением этого фермента у E. coli. Добавки теллурита калия стимулировали протеазу у P. aeruginosa и V. alginolyticus 2637, а теллурита и наночастиц – у S. aureus. Добавка сульфата меди стимулировала активность протеазы у всех типовых штаммов и у V. alginolyticus 2637, а также активность лецитиназы, липазы, ДНКазы и гемолиза у большинства штаммов, тогда как добавление наночастиц селена и теллура не оказывало стимулирующего эффекта. При добавлении селенита наблюдалось более выраженное подавляющее воздействие на активность ферментов по сравнению с добавкой теллурита. Эти результаты коррелируют с данными количественного анализа активности протеазы. Следует отметить, что наночастицы Se у P. piscicida 2202 стимулировали пигментообразование, а ионы меди – угнетали. Наночастицы селена, селенит и медь оказывали угнетающее воздействие на выработку пигмента у P. aeruginosa (рис. 4), наночастицы Se подавляли пигментацию у S. aureus.
Рис. 2. Влияние токсикантов на продукцию ферментов условно-патогенными бактериями
Рис. 3. Влияние токсикантов на продукцию ферментов морскими бактериями
Рис. 4. Влияние токсикантов на пигментообразование Pseudomonas aeruginosa. В первом флаконе рост бактерий на среде без добавок, во втором – с селенитом натрия
Культуры P. aeruginosa, S. aureus и P. piscicida 2202 показали β- гемолиз, который стимулировался ионами меди. Селенит подавлял гемолитическую активность P. aeruginosa и P. piscicida 2202, а теллурит стимулировал таковую P. aeruginosa, S. aureus и подавлял активность P. piscicida 2202 (рис. 5). Влияние наночастиц селена и теллура на гемолитическую активность культур было нейтральным. Культуры E. coli, P. shioyasakiensis 2476 и V. alginolyticus 2637 показали α-гемолиз, действие токсикантов на него не выявлено.
Рис. 5. Влияние добавок на гемолиз эритроцитов Pseudomonas aeruginosa. 1 – контроль без добавок, 2 – наночастицы Se, 3 – наночастицы Te, 4 – селенит натрия, 5 – теллурит калия, 6 – сульфат меди
Анализ активности протеазы показал ее количественные колебания в зависимости от вида бактерий и токсического агента (табл. 1). Так, добавка наночастиц селена и теллура приводила к ингибированию синтеза протеазы, за исключением P. piscicida 2202 и P. shioyasakiensis 2476. У стафилококка под воздействием наночастиц теллура наблюдалось стимулирование протеазы. Ионы меди оказывали стимулирующее действие на большинство протестированных штаммов.
Таблица 1. Влияние добавок на активность бактериальной протеазы (мг/мин×мл)
Бактерия | К | SeNPS | TeNPS | Селенит | Теллурит | Cu2+ |
Escherichia coli | 0.30 ± ٠.025 | 0.240 ± 0.041 | 0.196 ± 0.041* | 0.420 ± 0.073* | 0.115 ± 0.016* | 0.783 ± 0.241* |
Pseudomonas aeruginosa | 0.752 ± 0.14 | 0.683 ± 0.180* | 0.546 ± 0.120* | 0.609 ± 0.087* | 0.769 ± 0.210 | 1.466 ± 0.300* |
Staphylococcus aureus | 0.357 ± 0.091 | 0.187 ± 0.023* | 0.530 ± 0.118* | 0.312 ± 0.095 | 0.522 ± 0.114* | 0.513 ± 0.150* |
Pseudoalteromonas piscicida 2202 | 0.449 ± 0.087 | 0.486 ± 0.091 | 0.417 ± 0.096* | 0.419 ± 0.108* | 0.385 ± 0.099* | 0.191 ± 0.041* |
Pseudoalteromonas shioyasakiensis 2476 | 0.387 ± 0.081 | 0.394 ± 0.111 | 0.379 ± 0.12 | 0.527 ± 0.127* | 0.753 ± 0.171* | 0.316 ± 0.097* |
Vibrio alginolyticus 2637 | 0.428 ± 0.098 | 0.330 ± 0.078* | 0.419 ± 0.131 | 0.433 ± 0.128 | 0.110 ± 0.012* | 0.625 ± 0.105* |
*Различия достоверны при р < 0.05 по отношению к контролю; K – значения оптической плотности при длине волны 490 нм в физиологическом растворе через сутки без добавок.
Исследование адгезивных свойств бактерий показало, что добавки наночастиц Se и Te, а также их растворимых форм, селенита и теллурита, подавляли адгезию (табл. 2). Исключение составил штамм P. shioyasakiensis 2476, адгезию которого стимулировали добавки наночастиц Te. В присутствии ионов меди наблюдалось стимулирование адгезии у четырех из шести тестируемых культур.
Таблица 2. Влияние добавок на средний показатель адгезии к эритроцитам у исследуемых бактерий
Бактерия | СПА | SeNPS | TeNPS | Селенит | Теллурит | Cu2+ |
Escherichia coli | 3.13 ± 1.55 | 1.87 ± 1.06* | 1.07 ± 0.26* | 0 | 0 | 1.60 ± 0.74* |
Staphylococcus aureus | 3.20 ± 0.86 | 1.33 ± 0.49* | 1.80 ± 0.77* | 1.13 ± 0.35* | 2.27 ± ١.٠٣* | 3.53 ± 0.74* |
Pseudomonas aeruginosa | 2.87 ± 0.64 | 2.67 ± 0.72 | 2.53 ± 0.99 | 2.07 ± 0.96* | 1.20 ± 0.41* | 2,53 ± 0.83* |
Pseudoalteromonas piscicida 2202 | 3.0 ± 1.0 | 3.00 ± 0.92 | 2.67 ± 0.62* | 2.20 ± 0.86* | 2.33 ± 0.73* | 3.20 ± 0.94* |
Pseudoalteromonas shioyasakiensis 2476 | 2.27 ± 1.03 | 2.20 ± 0.67 | 2.40 ± 0.83 | 2.13 ± 0.77 | 2.00 ± 0.75 | 2.86 ± 0.64 |
Vibrio alginolyticus 2637 | 10.33 ± 2.82 | 8.13 ± 1.19* | 7.27 ± 1.87 | 5.00 ± 1.41* | 2.60 ± 0.91* | 11.60 ± 1.45 |
*Различия достоверны при р < 0.05 по отношению к контролю; СПА – средний показатель адгезии (среднее количество бактерий, прикрепившихся к одному эритроциту).
Полученные нами биогенные наночастицы используются в разрабатываемых антиобрастающих покрытиях. В связи с этим мы провели оценку возможных экологических рисков применения наночастиц в морской среде по сравнению с известными токсикантами на модели Artemia salina. Данные по токсичности добавок в отношении A. salina позволили классифицировать наночастицы как нетоксичные соединения, в отличие от растворимых селенита натрия, теллурита калия и сульфата меди (табл. 3).
Таблица 3. Токсичность биогенных наночастиц на модели Artemia salina по сравнению с известными токсикантами
Токсиканты | SeNPS | TeNPS | Cu2+ | Селенит | Теллурит |
LC50* (мкг/мл) | > 100 | > 100 | 15 | 22.4 | 35.5 |
*Эффективная концентрация, при которой наблюдается смертность 50% популяции Artemia salina.
ОБСУЖДЕНИЕ
Известно об устойчивости и/или способности к восстановлению солей металлоидов бактериями Escherichia coli, Staphylococcus aureus (Medina-Cruz et al., 2023), Pseudomonas aeruginosa (Kora, Rastogi, 2016). Представители Pseudoalteromonas, Alteromonas, Shewanella и широкого ряда морских бактерий восстанавливают селенит и теллурит до элементарного состояния, чтобы устранить токсичность этих соединений (Rathgeber et al., 2002; Cheng et al., 2024).
Повышение концентрации токсических веществ воспринимается микроорганизмами как фактор, индуцирующий совокупный стрессорный ответ (Aljerf, AlMasri, 2018). Медь является самым распространенным металлом-загрязнителем. Высокие концентрации меди разрушают биологические макромолекулы. Поэтому бактерии разработали сложные механизмы гомеостаза с использованием многочисленных стратегий, нивелирующих токсическое воздействие ионов меди. В ряде случаев адаптационные механизмы бактерий могут привести к изменению маркёров вирулентности. У некоторых штаммов S. aureus имеются дополнительные гены гомеостаза меди, важные для вирулентности, они опосредуют гипертолерантность к меди (Tarrant et al., 2019). Ключевые гены толерантности к меди у Vibrio alginolyticus способны регулировать чувствительные к меди гены, обуславливающие такие фенотипы вирулентности, как адгезия, гемолиз, образование биопленок, подвижность (Gordon et al., 1994). Резистентность P. aeruginosa к меди дает избирательные преимущества при колонизации и персистировании в больничных условиях и во внешней среде (Virieux-Petit et al., 2022). Анализ литературных данных свидетельствует о том, что существует положительная корреляция между чувствительностью к меди и вирулентностью.
В большинстве случаев наноматериалы гораздо менее токсичны, чем растворимые металлы. Так, биогенные нанопалочки теллура обладали меньшей цитотоксичностью по сравнению с растворимыми солями металлоида, использованного для их производства (Forootanfar et al., 2015). Однако антимикробная активность наночастиц Se и Te в отношении E. coli, P. aeruginosa и S. aureus была более высокой по сравнению с селенитом Se4+ (Zonaro et al., 2015). Сценарий взаимодействия наночастиц с микроорганизмами зависит от ряда факторов. Так, высвобождение селена из легированных серебром наночастиц селена не оказывало антибактериального действия на планктонные культуры условно-патогенных бактерий, а при контакте с покрытием с внедренными наночастицами проявляло высокую токсичность против S. aureus (Liang et al., 2022).
Ранее нами установлено, что меньшая цитотоксичность биогенных наночастиц по сравнению с растворимыми солями металлоидов была обусловлена низкой способностью высвобождения ионов селена и теллура, чему препятствует внешний органический слой биомолекул, покрывающих наночастицы (Beleneva et al., 2022). Это свойство позволяет безопасно использовать бионаночастицы в морских экосистемах.
В нашем исследовании ионы меди и селена стимулировали рост всех трех тестовых культур, тогда как воздействие наночастиц было нейтральным. Имеется информация об увеличении роста P. aeruginosa в присутствии ингибирующих концентраций меди (Leitão, Sá-Correia, 1997). Численность Aeromonas hydrophyla при росте в питательной среде с добавлением 10 мкг/мл CuSO4 выросла в 1.6 раза (Обухова, 2016). Сообщается о повышении значений оптической плотности в присутствии 1 мМ сульфата меди почвенных изолятов, культивируемых на жидкой питательной среде (Stachurska et al., 2020). Добавление 10 и 50 мкг/л меди в морскую среду привело к заметному увеличению относительной численности и активности гетеротрофов (Aljerf, AlMasri, 2018). Селен способствовал увеличению скорости роста Lactobacillus bulgaricus (Xia et al., 2007), концентрация селенита до 80 мкг/мл стимулировала рост штаммов молочнокислых бактерий (Yang et al., 2018). Добавление селена усиливало рост ряда почвенных бактерий (Acuña et al., 2013). Кумар с соавторами (Kumar et al., 2013) подчеркивали, что некоторые ингредиенты среды могут взаимодействовать с ионами металлов, снижая их токсичность. Однако в нашей работе было отмечено стимулирование бактериального роста медью и селеном относительно контроля, содержащего среду без добавок. Рост бактерий, определенный по увеличению значений оптической плотности, был подтвержден высевом в серийных разведениях на чашки с питательным агаром.
В богатых органикой прибрежных водах, испытывающих хроническое антропогенное загрязнение, в том числе тяжелыми металлами, существует опасность стимулирования роста условно-патогенной микрофлоры растворимыми соединениями меди и селена. При этом попавшие в морскую среду наночастицы селена и теллура в исследованных концентрациях не оказывают стимулирующего действия на бактериальный рост.
Полученные в настоящем исследовании данные свидетельствуют о более значимом стимулирующем действии ионов меди на активность ряда ферментов, имеющих прямое отношение к патогенности, по сравнению с наночастицами и солями металлоидов. Несмотря на большое количество работ, описывающих воздействие тяжелых металлов/металлоидов на микроорганизмы, исследований по влиянию токсичных металлов на метаболизм металлотолерантных бактерий ничтожно мало. По данным О.В. Обуховой (2016), сульфат меди стимулировал продукцию лецитиназы у штаммов A. hydrophyla, а добавление сульфата кадмия в ростовую среду привело к появлению у штамма Citrobacter freundii гемолиза, отсутствовавшего при росте в среде без металла. Как сообщают Ченг с соавторами (Cheng et al., 2022), адаптивные механизмы штамма Planococcus sp. O5 к стрессу медью включали синтез и репарацию белка. Ранее сообщалось о стимулировании медью активности протеазы у Enterococcus hirae (Lu, Solioz, 2001).
Ионы металлоидов, как и медь, являясь триггером адаптивных реакций, изменяют микробный метаболизм, влияя, в том числе, и на факторы патогенности. Ион TeO3 2- усиливал биопленкообразование у P. aeruginosa, его воздействие значительно повлияло на 129 белков P. aeruginosa, при этом синтез 64 белков активировался, а 65 – подавлялся (Chua et al., 2015). У Erythromonas ursincola KR99 и Erythromicrobium ramosum E5 в присутствии соединений Te наблюдалось увеличение синтеза белка и АТФ (Maltman, Yurkov, 2015).
Описано влияние наночастиц на синтез ряда микробных продуктов. У Bacillus subtilis, обработанной наночастицами Al2O3, индуцировалась продукция внеклеточного белка сурфактина, который усиливает подвижность и хемотаксис (Mu et al., 2016). Аналогичные результаты были обнаружены при реакции Shewanella oneidensis MR-1 на наночастицы TiO2, легированные медью (Wu et al., 2010). Наночастицы Se подавляли синтез протеазы у P. aeruginosa (Elshaer, Shaaban, 2021), эти данные коррелируют и с нашими результатами. Нами не обнаружено сведений о влиянии наночастиц металлоидов на микробную продукцию ферментов, относящихся к факторам вирулентности, таких как лецитиназа, липаза, гемолитическая активность. Есть информация, что наночастицы оксида цинка ZnO снижали выработку пиоцианина, протеазы и гемолизина у P. aeruginosa (Ali et al., 2020). По данным Бузолевой с соавторами (2013), медь не оказывала влияния на синтез лецитиназы и липазы, а также не влияла на гемолитическую активность у Yersinia pseudotuberculosis и двух видов сальмонелл. Наши эксперименты показали, что наночастицы подавляли активность ферментов, а ионы меди, напротив, в большинстве случаев стимулировали ее. Очевидно, что отзыв на воздействие токсиканта зависел от ряда факторов, в том числе и от вида (штамма) бактерий. Растворимый теллур также стимулировал протеазную и гемолитическую активность у S. aureus и P. aeruginosa, что вызывает серьезную озабоченность, так как в условиях повышенной антропогенной нагрузки на прибрежные морские экосистемы возрастает угроза появления эпидемически опасных штаммов.
Во многих случаях микробный пигмент является фактором патогенности, так как проявляет противовоспалительные или цитотоксические свойства, как, например, желтый стафилоксантин S. aureus, сине-зеленый пиоцианин видов Pseudomonas (Liu, Nizet, 2009). Cтафилоксантин обезвреживает активные формы кислорода и способствует внутриклеточной вирулентности и устойчивости S. aureus (Zhang et al., 2020). Поэтому сами пигменты становятся логическими мишенями для терапевтических вмешательств. В нашем исследовании было показано, что наночастицы Se весьма перспективны в этой области, так как они успешно подавляли синтез пигмента у P. aeruginosa и S. aureus. Полученные результаты подтверждаются другими исследованиями (Elshaer, Shaaban, 2021). Однако стимулирующее действие наночастиц Se на пигментообразование у P. piscicida 2202 требует дальнейшего изучения. Известно, что при низкой концентрации хрома пигментообразование у S. aureus стимулировалось, а при высокой происходило прекращение продукции пигмента, хотя штамм не терял способности к росту (Lima de Silva et al., 2012). Напротив, у P. aeruginosa степень продукции пигмента имела прямую связь с наличием хрома, достигая максимума при наивысшей концентрации металла, определяющей предел роста бактерий. Следовательно, в некоторых случаях способность производить пигмент может быть напрямую связана с устойчивостью к металлам.
Адгезия является стартовым механизмом в формировании биопленок, в составе которых микробные клетки характеризуются повышенной устойчивостью к воздействию токсикантов и факторов иммунной системы. Ионы меди стимулировали адгезию на модели эритроцитов человека у большинства проверенных культур. Стимулирование адгезии ионами меди было выявлено у Yersinia pseudotuberculosis (Бузолева и др., 2013). В отличие от меди наночастицы селена и теллура адгезию активно подавляли, что говорит в пользу их экологичности в морской среде.
Нельзя не отметить стимулирующее действие меди на испытанные нами штаммы морских бактерий. Медь и растворимые формы селена и теллура в ряде случаев приводили к активизации бактериального роста, адгезии и активности ферментов агрессии. Таким образом, загрязнение окружающей среды включает адаптационные механизмы, способные ускорить эволюционные траектории морских микроорганизмов, что может привести к нежелательным для человека последствиям.
Для подтверждения безопасности бионаночастиц для морских организмов мы протестировали их токсичность на модели Artemia salina. Анализ токсичности позволяет классифицировать их как нетоксичные безопасные соединения в соответствии с Директивой 93/67/EEC Европейской комиссии по классификации опасности веществ. В доступных литературных источниках нам не удалось обнаружить информацию об анализе токсичности биогенных наночастиц селена и теллура. Cообщается о химически синтезированных наночастицах селена, высоко токсичных для дафнии Daphnia magna (Selmani et al., 2020), также используемой в качестве модельного организма. Известно, что биологическая активность наночастиц определяется их морфологией и физико-химическими свойствами. В то же время показатели ЕС50 для селенита и теллурита на модели A. salina классифицируют эти соединения как опасные, что согласуется с данными, полученными на модели D. magna (Selmani et al., 2020). Показатель токсичности сульфата меди – 15 для A. salina оказался практически идентичным – 14.21 и для другого вида артемий A. franciscana (Manfra et al., 2015). Таким образом, использование наночастиц Se и Te в качестве противообрастающих добавок взамен токсичных медных биоцидов может снизить нагрузку на окружающую среду.
Под воздействием изученных токсикантов биологические свойства бактериальных культур подвергались изменениям. Такие изменения затронули как физиологические, так и биохимические показатели, а именно, адгезию к эритроцитам, активность протеазы, лецитиназы, липазы, ДНКазы у большинства из тестированных штаммов. Характер изменений определялся свойствами токсикантов, составом питательной среды, а также систематическим положением бактерий и специфичностью штаммов. Антропогенное загрязнение металлами может привести к эскалации вирулентности как бактериальных патогенов, так и морских бактерий, обладающих ферментами агрессии. В целом данные проведенного исследования подтвердили экологическую безопасность использования полученных нами биогенных наночастиц в морской среде.
ФИНАНСИРОВАНИЕ РАБОТЫ
Данная работа финансировалась за счет средств бюджета Национального научного центра морской биологии им. А.В. Жирмунского ДВО РАН. Никаких дополнительных грантов на проведение или руководство данным конкретным исследованием получено не было.
СОБЛЮДЕНИЕ ЭТИЧЕСКИХ СТАНДАРТОВ
Настоящая статья не содержит описания каких-либо исследований с использованием людей и животных в качестве объектов.
КОНФЛИКТ ИНТЕРЕСОВ
Авторы заявляют, что у них нет конфликта интересов.
Sobre autores
I. Beleneva
Zhirmunsky National Scientific Center of Marine Biology, Far Eastern Branch, Russian Academy of Sciences
Autor responsável pela correspondência
Email: beleneva.vl@mail.ru
ORCID ID: 0000-0001-9515-2522
Rússia, Vladivostok
U. Kharchenko
Institute of Chemistry, Far Eastern Branch, Russian Academy of Sciences
Email: beleneva.vl@mail.ru
ORCID ID: 0000-0001-5166-5609
Rússia, Vladivostok
Bibliografia
- СПИСОК ЛИТЕРАТУРЫ
- Брилис В.И., Брилене Т.А., Ленцнер Х.П., Ленцнер А.А. Методика изучения адгезивного процесса микроорганизмов // Лабораторное дело. 1986. № 4. C. 210–212.
- Бузолева Л.С., Богатыренко Е.А., Ким А.В. Влияние тяжелых металлов на факторы патогенности у возбудителей сапрозоонозов // Фундамент. исслед. 2013. № 10, ч. 14. С. 3076–3079.
- Ипатова В.И., Дмитриева А.Г., Дрозденко Т.В. Сравнительная токсичность солей и наночастиц серебра для микроводоросли Scenedesmus quadricauda // Токсикол. вестн. 2016. № 2 (137). С. 45–51.
- Обухова О.В. Влияние солей меди, цинка и кадмия на рост и уровень биологической агрессивности условно-патогенной микрофлоры // Тр. ВНИРО. 2016. Т. 162. С. 184–189.
- Практикум по микробиологии. М.: Академия. 2005.
- Справочник по микробиологическим и вирусологическим методам исследования. М.: Медицина. 1982.
- Acuña J.J., Jorquera M.A., Barra P.J. et al. Selenobacteria selected from the rhizosphere as a potential tool for Se biofortification of wheat crops // Biol. Fertil. Soils. 2013. V. 49. P. 175–185.
- Ali S.G., Ansari M.A., Alzohairy M.A. et al. Effect of biosynthesized ZnO nanoparticles on multi-drug resistant Pseudomonas aeruginosa // Antibiotics. 2020. V. 9. № 5. Art. ID 260. doi: 10.3390/antibiotics9050260
- Aljerf L., AlMasri N. A gateway to metal resistance: Bacterial response to heavy metal toxicity in the biological environment // Ann. Adv. Chem. 2018. V. 2. P. 032–044.
- Beleneva I.A., Kharchenko U.V., Kukhlevsky A.D. et al. Biogenic synthesis of selenium and tellurium nanoparticles by marine bacteria and their biological activity // World J. Microbiol. Biotechnol. 2022. V. 38. № 11. Art. ID 188. doi: 10.1007/s11274-022-03374-6
- Cheng Z., Shi C., Gao X. et al. Biochemical and metabolomic responses of Antarctic bacterium Planococcus sp. O5 induced by copper ion // Toxics. 2022. V. 10. № 6. Art. ID 302. doi: 10.3390/toxics10060302
- Cheng M., Liang L., Sun Y. et al. Reduction of selenite and tellurite by a highly metal-tolerant marine bacterium // Int. Microbiol. 2024. V. 27. P. 203–212.
- Chua S.L., Sivakumar K., Rybtke M. et al. C-di-GMP regulates Pseudomonas aeruginosa stress response to tellurite during both planktonic and biofilm modes of growth // Sci. Rep. 2015. V. 5. Art. ID 10052. doi: 10.1038/srep10052
- Copper Water Quality Guideline for the Protection of Marine and Estuarine Aquatic Life (Reformatted Guideline from 1987), Water Quality Guideline Series, no. WQG-04, Prov. B.C., Victoria B.C.: B.C. Minist. Environ. Climate Change Strategy. 2019.
- Dawson R.M.C., Elliot D.C., Elliot W.H., Jones K.M. Data for Biochemical Research, 3rd ed., New York: Oxford Univ. Press. 1986.
- Eliseikina M.G., Beleneva I.A., Kukhlevsky A.D. et al. Identification and analysis of the biological activity of the new strain of Pseudoalteromonas piscicida isolated from the hemal fluid of the bivalve Modiolus kurilensis (F.R. Bernard, 1983) // Arch. Microbiol. 2021. V. 203. № 7. P. 4461–4473.
- Elshaer S.L., Shaaban M.I. Inhibition of quorum sensing and virulence factors of Pseudomonas aeruginosa by biologically synthesized gold and selenium nanoparticles // Antibiotics. 2021. V. 10. № 12. Art. ID 1461. doi: 10.3390/antibiotics10121461
- Escobar-Ramírez M.C., Castañeda-Ovando A., Pérez-Escalante E. et al. Antimicrobial activity of Se-nanoparticles from bacterial biotransformation // Fermentation. 2021. V. 7. Art. ID 130.
- doi: 10.3390/fermentation7030130
- Forootanfar H., Amirpour-Rostami S., Jafari M. et al. Microbial-assisted synthesis and evaluation the cytotoxic effect of tellurium nanorods // Mater. Sci. Eng. C. 2015. V. 49. P. 183–189.
- Frankel M.L., Booth S.C., Turner R.J. How bacteria are affected by toxic metal release // Metal Sustainability: Global Challenges, Consequences, and Prospects, R.M. Izatt, Ed., 1st ed., Hoboken, N.J.: Wiley, 2016.
- Gomes T., Araújo O., Pereira R. et al. Genotoxicity of copper oxide and silver nanoparticles in the mussel Mytilus galloprovincialis, Mar. Environ. Res., 2013, vol. 84, pp. 51–59.
- Gordon A.S., Howell L.D., Harwood V. Responses of diverse heterotrophic bacteria to elevated copper concentrations // Can. J. Microbiol. 1994. V. 40. № 5. P. 408–411.
- Kora A.J., Rastogi L. Biomimetic synthesis of selenium nanoparticles by Pseudomonas aeruginosa ATCC 27853: An approach for conversion of selenite // J. Environ. Manage. 2016. V. 181. P. 231–236.
- Kumar R., Nongkhlaw M., Acharya C., Joshi S.R. Growth media composition and heavy metal tolerance behaviour of bacteria characterized from the sub-surface soil of uranium rich ore bearing site of Domiasiat in Meghalaya // Indian J. Biotechnol. 2013. V. 12. P. 115–119.
- Leitão J.H., Sá-Correia I. Effects of growth-inhibitory concentrations of copper on alginate biosynthesis in highly mucoid Pseudomonas aeruginosa // Microbiology. 1997. V. 143. P. 481–488.
- Liang X., Zhang S., Gadd G.M. et al. Fungal-derived selenium nanoparticles and their potential applications in electroless silver coatings for preventing pin-tract infections // Regener. Biomater. 2022. V. 9. Art. ID rbac013. doi: 10.1093/rb/rbac013
- Lima de Silva A.A., de Carvalho M.A., de Souza S.A. et al. Heavy metal tolerance (Cr, Ag AND Hg) in bacteria isolated from sewage // Braz. J. Microbiol. 2012. V. 43. № 4. P. 1620–1631.
- Lin W., Zhang J., Xu J.-F., Pi J. The advancing of selenium nanoparticles against infectious diseases // Front Pharmacol. 2021. V. 12. Art. ID 682284. doi: 10.3389/fphar.2021.682284
- Liu G.Y., Nizet V. Color me bad: microbial pigments as virulence factors // Trends Microbiol. 2009. V. 17. № 9. P. 406–413.
- Lu Z.H., Solioz M. Copper-induced proteolysis of the CopZ copper chaperone of Enterococcus hirae // J. Biol. Chem. 2001. V. 276. № 51. P. 47822–47827.
- Maltman C., Yurkov V. The effect of tellurite on highly resistant freshwater aerobic anoxygenic phototrophs and their strategies for reduction // Microorganisms. 2015. V. 3. № 4. P. 826–838.
- Manfra L., Savorelli F., Di Lorenzo B. et al. Intercalibration of ecotoxicity testing protocols with Artemia franciscana // Ecol. Indic. 2015. V. 57. P. 41–47.
- Medina-Cruz D., Truong L.B., Sotelo E. et al. Bacterial-mediated selenium nanoparticles as highly selective antimicrobial agents with anticancer properties // RSC Sustainability. 2023. V. 1. P. 1436–1448.
- Mu D., Yu X., Xu Z. et al. Physiological and transcriptomic analyses reveal mechanistic insight into the adaption of marine Bacillus subtilis C01 to alumina nanoparticles // Sci. Rep. 2016. V. 6. art. ID 29953. doi: 10.1038/srep29953
- Prato E., Fabbrocini A., Libralato G. et al. Comparative toxicity of ionic and nanoparticulate zinc in the species Cymodoce truncata, Gammarus aequicauda and Paracentrotus lividus // Environ. Sci. Pollut. Res. 2021. V. 28. P. 42891–42900.
- Preda M., Mihai M.M., Popa L.I. et al. Phenotypic and genotypic virulence features of staphylococcal strains isolated from difficult-to-treat skin and soft tissue infections // PLoS One. 2021. V. 16. № 2. Art. ID e0246478. doi: 10.1371/journal.pone.0246478
- Rathgeber C., Yurkova N., Stackebrandt E. et al. Isolation of tellurite- and selenite-resistant bacteria from hydrothermal vents of the Juan de Fuca Ridge in the Pacific Ocean // Appl. Environ. Microbiol. 2002. V. 6. № 9. P. 4613–4622.
- Selmani A., Ulm L., Kasemets K. et al. Stability and toxicity of differently coated selenium nanoparticles under model environmental exposure settings // Chemosphere. 2020. V. 250. Art. ID 126265. doi: 10.1016/j.chemosphere.2020.126265
- Stachurska X., Środa B., Dubrowska K. et al. Tolerance of environmental bacteria to heavy metals // Acta Sci. Pol. Zootech. 2020. V. 19. № 2. P. 63–74.
- Tarrant E., Riboldi G.P., McIlvin M.R. et al. Copper stress in Staphylococcus aureus leads to adaptive changes in central carbon metabolism // Metallomics. 2019. V. 11. № 1. P. 183–200.
- Virieux-Petit M., Hammer-Dedet F., Aujoulat F. et al. From copper tolerance to resistance in Pseudomonas aeruginosa towards patho-adaptation and hospital success // Genes. 2022. V. 13. № 2. Art. ID 301. doi: 10.3390/genes13020301
- Wu B., Huang R., Sahu M. et al. Bacterial responses to Cu-doped TiO2 nanoparticles // Sci. Total Environ. 2010. V. 408. № 7. P. 1755–1758.
- Xia S.K., Chen L., Liang J.Q. Enriched selenium and its effects on growth and biochemical composition in Lactobacillus bulgaricus // J. Agric. Food Chem. 2007. V. 55. № 6. P. 2413–2417.
- Yang J., Wang J., Yang K. et al. Antibacterial activity of selenium-enriched lactic acid bacteria against common food-borne pathogens in vitro // J. Dairy Sci. 2018. V. 101. № 3. P. 1930–1942.
- Zare B., Faramarzi M.A., Sepehrizadeh Z. et al. Biosynthesis and recovery of rod-shaped tellurium nanoparticles and their bactericidal activities // Mater. Res. Bull. 2012. V. 47. № 11. P. 3719–3725.
- Zhang C., Sun R., Xia T. Adaption/resistance to antimicrobial nanoparticles: Will it be a problem? // Nano Today. 2020. V. 34. Art. ID 100909. doi: 10.1016/j.nantod.2020.100909
- Zonaro E., Lampis S., Turner R.J. et al. Biogenic selenium and tellurium nanoparticles synthesized by environmental microbial isolates efficaciously inhibit bacterial planktonic cultures and biofilms // Front. Microbiol. 2015. V. 6. Art. ID 584. doi: 10.3389/fmicb.2015.00584
Arquivos suplementares







