Пространственное распределение, размерный и возрастной составы поселений Mya japonica Jay, 1857 (Bivalvia: Myidae) в заливе Петра Великого Японского моря
- Авторы: Селин Н.И.1
-
Учреждения:
- Национальный научный центр морской биологии им. А.В. Жирмунского (ННЦМБ) ДВО РАН
- Выпуск: Том 49, № 6 (2023)
- Страницы: 396-406
- Раздел: ОРИГИНАЛЬНЫЕ СТАТЬИ
- Статья опубликована: 01.11.2023
- URL: https://bakhtiniada.ru/0134-3475/article/view/232305
- DOI: https://doi.org/10.31857/S0134347523060062
- EDN: https://elibrary.ru/HCWUHD
- ID: 232305
Цитировать
Полный текст
Аннотация
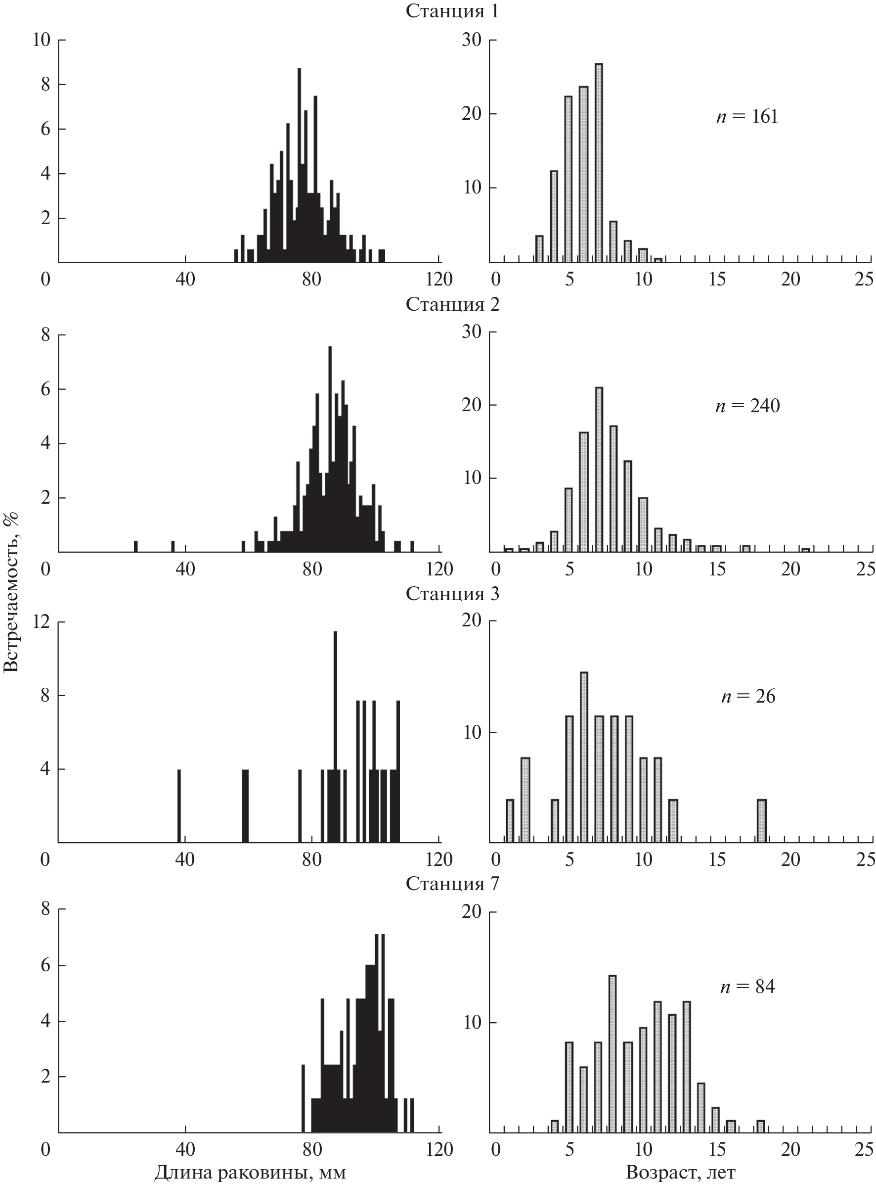
В июле–августе 2022 г. исследовали пространственное распределение и состав локальных скоплений двустворчатого моллюска Mya japonica Jay, 1857 в зал. Восток (зал. Петра Великого Японского моря). M. japonica встречалась почти по всему заливу в широком диапазоне глубин от 0 до 22 м при температуре воды от –1.9 до 25°С и солености от 0 до 34‰. Наиболее обильна мия японская была на мелководных участках бухт, закрытых от прямого воздействия волн, где на глубине до 4–5 м плотность поселения моллюска достигала 27 экз./м2, а биомасса почти 4 кг/м2, что составляло в среднем 56% от всей биомассы макрозообентоса. С увеличением глубины и продвижением от кутовой части залива к открытому морю численность M. japonica снижалась на один–два порядка. Локальные скопления существенно различались по размерному и возрастному составам, частотному распределению моллюсков, свидетельствовавшим о характере пополнения донного населения молодью, а также долей особей промыслового размера, которая колебалась от 37 до 98%. Обсуждаются причины выявленных особенностей распределения и состава населения M. japonica.
Об авторах
Н. И. Селин
Национальный научный центр морской биологии им. А.В. Жирмунского (ННЦМБ) ДВО РАН
Автор, ответственный за переписку.
Email: nikselin@yandex.ru
Россия, 690041, Владивосток,
Список литературы
- Атлас двустворчатых моллюсков дальневосточных морей России. Составитель С.В. Явнов. Владивосток: Дюма. 2000. 168 с.
- Брыков В.А., Селин Н.И. Воздействие опреснения морской воды на популяцию приморского гребешка // Биол. моря 1990. № 4. С. 70–72.
- Буяновский А.И. Пространственно-временная изменчивость размерного состава в популяциях двустворчатых моллюсков, морских ежей и десятиногих ракообразных. М.: Изд. ВНИРО. 2004. 306 с.
- Дзюба С.М., Масленникова Л.А. Репродуктивный цикл двустворчатого моллюска Mya arenaria в заливе Петра Великого Японского моря // Биол. моря. 1987. № 2. С. 38–41.
- Евсеев Г.А. Происхождение залива Восток Японского моря и история его фауны двустворчатых моллюсков // Биол. исслед. зал. Восток. Владивосток: ДВНЦ АН СССР. 1976. С. 23–62.
- Золотарев В.Н. Строение раковин двустворчатых моллюсков залива Восток Японского моря // Биол. исслед. зал. Восток. Владивосток: ДВНЦ АН СССР. 1976. С. 99–121.
- Золотарев В.Н. Продолжительность жизни двустворчатых моллюсков Японского и Охотского морей // Биол. моря.1980. № 6. С. 3–12.
- Золотарев В.Н. Склерохронология морских двустворчатых моллюсков. Киев: Наукова думка. 1989. 112 с.
- Куликова В.А., Колотухина Н.К. Личинки ряда промысловых видов двустворчатых моллюсков в заливе Восток (Японское море) и лагуне Буссе (Охотское море) // V Всесоюз. конф. по пром. беспозв. Минск (Нарочь), 9–13 октября 1990. Тез. докл. М.: ВНИРО. 1990. С. 119–121.
- Лукин В.И., Фадеев В.И. Особенности планирования гидробиологических работ на акваториях большой протяженности // Подводные гидробиологические исследования. Владивосток: ДВНЦ АН СССР. 1982. С. 13–20.
- Максимович Н.В. Динамика продукционных свойств литорального поселения Mya arenaria L. (губа Чупа, Белое море) // Вестник ЛГУ. 1989. Сер. 3. Вып. 1. С. 19–24.
- Масленникова Л.А. Сезонные изменения семенников Mya japonica в заливе Петра Великого (Японское море) // Биол. ресурсы шельфа, их рациональное использование и охрана. Владивосток: ДВНЦ АН СССР. 1981. С. 101–102.
- Парсонс Т.П., Такахаши М., Харгрейв Б. Биологическая океанография. М.: Легкая и пищевая промышленность. 1982. 432 с.
- Правила рыболовства для Дальневосточного рыбохозяйственного бассейна. Приложение к Приказу Минсельхоза России от 6 мая 2022 г. № 285. М. https://sudact.ru/law/prikaz-minselkhoza-rossii-ot-06052022-n-285/prilozhenie/.
- Селин Н.И. Использование фотометода в исследованиях состава и обилия гидробионтов, обитающих на мягких грунтах // Биол. моря. 2011. Т. 37. № 3. С. 222–228.
- Селин Н.И. Состав и структура смешанных поселений Crenomytilus grayanus (Dunker, 1853) и Modiolus kurilensis (Bernard, 1983) (Bivalvia: Mytilidae) в заливе Петра Великого Японского моря // Биол. моря. 2018. Т. 44. № 5. С. 307–316.
- Селин Н.И. Пространственное распределение и состав поселений двустворчатого моллюска Tetrarca boucardi (Jousseaume, 1894) (Arcidae) в заливе Восток Японского моря // Биол. моря. 2022. Т. 48. № 2. С. 90–100.
- Скарлато О.А. Двустворчатые моллюски умеренных широт западной части Тихого океана. Л.: Наука. 1981. 479 с.
- Скарлато О.А., Голиков А.Н., Василенко С.В. и др. Состав, структура и распределение донных биоценозов в прибрежных водах залива Посьет (Японское море) // Исслед. фауны морей. 1967. Т. 5(13). С. 5–61.
- Степанов В.В. Характеристика температуры и солености вод залива Восток Японского моря // Биол. исслед. зал. Восток. Владивосток: ДВНЦ АН СССР. 1976. С. 12–22.
- Тарасов В.Г. Распределение и трофическое районирование сообществ мягких грунтов залива Восток Японского моря // Биол. моря. 1978. № 6. С. 16–22.
- Baker P.K., Mann R.L. Soft Shell Clam Mya arenaria // VIMS Books and Book Chapters. 1991. № 19. 18 p. https://scholarworks.wm.edu/vimsbooks/19
- Beal B.F., Otto W. How acidic sediments and seawater affect interactive effects of predation on survival, growth, and recruitment of wild and cultured soft-shell clams, Mya arenaria L., along a tidal gradient at two intertidal sites in eastern Maine // Final rep. SEANET Sustainable Ecol. Aquacult. Network. Univ. of Maine, Machias. 2019. 17 p. + 11 tables; 14 Figs; 6 photos.
- Brousseau D.J. Analysis of growth rate in Mya arenaria using the Von Bertalanffy equation // Mar. Biol. 1979. V. 51. P. 221–227. Marine Biology 51, 2
- Coan E.V., Scott P.V., Bernard F.R. Bivalve seashells of wes-tern North America: Marine bivalve mollusks from Arctic Alaska to Baja California. Santa Barbara: Santa Barbara Museum of Natural History. 2000. 766 p.
- Coan E.V., Valentich-Scott P. Bivalve seashells of tropical West America: Marine bivalve mollusks from Baja Ca-lifornia to Perú. Santa Barbara: Santa Barbara Museum of Natural History. 2012. Part 2. P. 599–1258.
- Commito J.A. Effects of Lunatia heros predation on the population dynamics of Mya arenaria and Macoma balthica in Maine, USA // Mar. Biol. 1982. V. 69. P. 187–193.
- Dann A.L., Ellard K., Simon J. et al. Genetic confirmation of Mya japonica Jay, 1857 (Bivalvia: Myidae) in Tasmania, Australia: first record of any species of Mya in the southern hemisphere // BioInvasions Rec. 2020. V. 9. № 1. P. 102–108.
- Dworschak P.C., Felder D.L., Tudge C.C. Infraorders Axiidea de Saint Laurent, 1979 and Gebiidea de Saint Laurent, 1979 (formerly known collectively as Thalassinidea) // Treatise Zool. – Anat. Tayon. Biol. The Crustacea. Leiden; Boston: Brill. 2012. V. 9. Part B. P. 109–219.
- Feder H.M., Paul A.J. Age, growth and size-weight relationships of the soft-shell clam, Mya arenaria, in Prince William Sound, Alaska // Proc. Natl. Shellfish Assoc. 1974. V. 64. P. 45–52.
- Günther C.-P. Settlement of Macoma balthica on an intertidal sandflat in the Wadden Sea // Mar. Ecol.: Prog. Ser. 1991. V. 76. P. 73–79.
- Günther C.P. Settlement and recruitment of Mya arenaria L in the Wadden Sea // J. Exp. Mar. Biol. Ecol. 1992. V. 159. P. 203–215.
- Hanks R.W. The soft-shell clam. U.S. Fish Wildl. Serv. 1963. Circ.162. 16 p.
- Hansen K., King G.M., Kristensen E. Impact of the soft-shell clam Mya arenaria on sulfate reduction in an intertidal sediment // Aquat. Microb. Ecol. 1996. V. 10. P. 181–194.
- Higo S., Callomon P., Goto Y. Catalogue and bibliography of the marine shell-bearing Mollusca of Japan. Gastropoda, Bivalvia, Polyplacophora, Scaphopoda. Elle Sci. Publ. 1999. 748 p.
- Kelso W.E. Predation of the soft-shell clams, Mya arenaria, by the common mummichog, Fundulus heteroclitus // Estuaries. 1979. V. 2. № 4. P. 249–254.
- Lutaenko K.A., Noseworthy R.G. Catalogue of the living Bivalvia of the continental coast of the Sea of Japan (East Sea).Vladivostok: Dalnauka. 2012. 247 p.
- MacDonald B.A., Thomas M.L.H. Age determination of the soft-shell clam Mya arenaria using shell internal growth lines // Mar. Biol. 1980. V. 58. P. 105–109.
- MacDonald B.A., Thomas M.L.H. Growth reduction in the soft-shell clam Mya arenaria from a heavily oiled lagoon in Chedabucto Bay, Nova Scotia // Mar. Environ. Res. 1982. V. 6. P. 145–156.
- Maximovich N.V., Guerassimova A.V. Life history characteristics of the clam Mya arenaria in the White Sea // Helgol. Mar. Res. 2003. V. 57. P. 91–99.
- Möller P., Rosenberg R. Recruitment, abundance and production of Mya arenaria and Cardium edule in marine shallow waters, Western Sweden // Ophelia. 1983. V. 22. P. 33–35.
- Möller P., Pihl L., Rosenberg R. Benthic faunal energy flow and biological interaction in some shallow marine soft bottom habitats // Mar. Ecol.: Prog. Ser. 1985. V. 27. P. 109–121.
- Newcombe C.L. Validity of concentric rings of Mya arenaria, L. for determining age // Nature. 1936. V. 137. P. 191–192.
- Okutani T. Marine mollusks in Japan. Tokyo: Tokai Univ. Press. 2000. 1174 p.
- Strasser M., Walensky M., Reise K. Juvenile-adult distribution of the bivalve Mya arenaria in the Wadden Sea: why are there so few year classes? // Helgol. Mar. Res. 1999. V. 53. P. 45–55.
- Young A.M. Effect of predator exclusion on softshell clam (Mya arenaria L.) recruitment // J. Shellfish Res. 2022. V. 41. № 1. P. 119–124.
- Zhang J., Yurchenko O.V., Lutaenko K.A. et al. A tale of two soft-shell clams: an integrative taxonomic analysis confirms Mya japonica as a valid species distinct from Mya arenaria (Bivalvia: Myidae) // Zool. J. Linn. Soc. 2018. V. 184. P. 605–622.
Дополнительные файлы







