Анализ влияния структуры ZnS:Cu,Br люминофоров на люминесцентные характеристики с применением теории перколяции
- Авторлар: Зеленина Е.В.1,2, Сычев М.М.1,3, Снятков И.В.1, Чуркина А.В.1
-
Мекемелер:
- Санкт-Петербургский государственный технологический институт (технический университет)
- АО «Радиевый Институт им. В. Г. Хлопина»
- Институт химии силикатов им. И.В. Гребенщикова (филиал НИЦ «Курчатовский институт» — ПИЯФ – ИХС)
- Шығарылым: Том 50, № 5 (2024)
- Беттер: 464-473
- Бөлім: Articles
- URL: https://bakhtiniada.ru/0132-6651/article/view/289221
- DOI: https://doi.org/10.31857/S0132665124050092
- EDN: https://elibrary.ru/NSKKGX
- ID: 289221
Дәйексөз келтіру
Толық мәтін
Аннотация
При синтезе ZnS:Cu,Br люминофоров (сульфид цинка активированный ионами меди и брома) формируется композитная вюрцитно-сфалеритная структура, а интенсивность свечения и содержание центров свечения в виде донорно-акцепторных пар CuZn-BrS достигают максимума при определенной доле вюрцитной фазы в люминофоре. Это подтверждается исследованием фазового состава синтезированных люминофоров и изменениями спектров радиолюминесценции. Наблюдаемый результат предложено объяснить с привлечением представлений теории перколяции, учитывая, что формирование люминофорной матрицы композитного вюрцитно-сфалеритного состава способствует увеличению скорости диффузии ионов активатора и соактиватора (Cu+ и Br–) по межфазной границе и формированию центров свечения. Показано, что радиационное воздействие, способствующее образованию структурных дефектов в исходной матрице ZnS, дополнительно повышает интенсивность люминесценции. Применение данного подхода позволяет создавать материалы с оптимальной наноструктурой и высокими целевыми характеристиками.
Толық мәтін
Введение
Люминофорами называют вещества, испускающие оптические фотоны под действием различного рода возбуждений. Если испускание оптических фотонов происходит под действием ионизирующего излучения, то такие вещества называются радиолюминофорами. Люминофоры на основе сульфида цинка являются наиболее широко распространенными для радиолюминесценции благодаря хорошей радиационной стойкости, обеспечивающей их эффективность [1]. Радиолюминесцентные светоисточники (РИС) широко применяются в гражданских областях для изготовления энергосберегающих дорожных знаков, указателей и аварийной подсветки; а также имеют большой потенциал в аэрокосмической и горно-нефтедобывающей отраслях.
Эффективность радиолюминесценции определяется взаимодействием излучения с основой люминофора [2]. При взаимодействии с кристаллической решеткой люминофора поток ионизирующего излучения вызывает в ней процессы ионизации, что приводит к генерации электронов, которые инициируют вторичные столкновения, порождая энергетически нестабильные частицы, мигрирующие в твердом теле, возбуждая своей кинетической энергией центры люминесценции [3]. Центры люминесценции образуются при возникновении в кристаллической решетке основы люминофора структурных или примесных дефектов в результате термического диспропорционирования основы люминофора и за счет внедрения при синтезе в кристаллическую решетку основы ионов или атомов посторонних элементов. Согласно общепринятой концепции [4] порошковые радиолюминофоры на основе сульфида цинка относятся к рекомбинационному типу люминофоров, в которых возбуждающее излучение поглощается во всей решетке люминофора и распределяется в ней, а испускание света происходит за счет возбуждения центров люминесценции в кристаллической решетке.
Учитывая, что для возбуждения радиолюминесценции в настоящее время используют наиболее безопасные низкоэнергетические радионуклиды (чаще всего тритий), распределение центров люминесценции в цинк-сульфидной люминофорной матрице в значительной степени определяет эффективность РИС. Таким образом, актуален вопрос поиска методов направленного регулирования структуры ZnS-люминофоров для управления дефектностью при синтезе для улучшения радиолюминесцентных характеристик.
К настоящему времени достаточно широко изучалось влияние различных тепловых и нетепловых воздействий на структуру и люминесцентные характеристики цинк-сульфидных люминофоров, активированных медью и галогеном. В работах [5–7] демонстрировалось управление примесными дефектами при введении активаторов; было показано, что концентрация и тип активаторов влияют на люминесцентные свойства, однако влияние активаторов на фазовый состав матрицы ZnS глубоко не исследовалось. Также широко изучено влияние различных энергетических воздействий на структуру и дефектность ZnS-люминофоров [6, 8–13] для повышения яркости люминесценции. Повышение яркости было объяснено тем, что образующиеся в результате облучения дефекты облегчают диффузию активатора вглубь кристаллов люминофора и увеличивают содержание зеленых центров свечения.
В наших предыдущих исследованиях были установлены корреляции фазового состава ZnS:Cu,Br радиолюминофоров со спектрально-яркостными характеристиками при возбуждении ионизирующим излучением трития. Показано, что росту яркости радиолюминесценции способствует формирование композитной сфалеритно-вюрцитной матрицы сульфида цинка с развитой поверхностью раздела фаз, способствующей диффузии активатора и соактиватора и формированию центров радиолюминесценции [14–16]. На рисунке 1 приведены дифрактограммы образцов люминофоров, синтезированных по методике, описанной в [14] без участия и с участием энергетических воздействий.
Рис. 1. Результаты рентгенофазового анализа ZnS:Cu(0.03),Br люминофоров, синтезированных: а – без использования ЭЛО; б – из электронно-модифицированной шихты; в – из электронно-модифицированной шихты с повторной ЭЛО готового люминоф
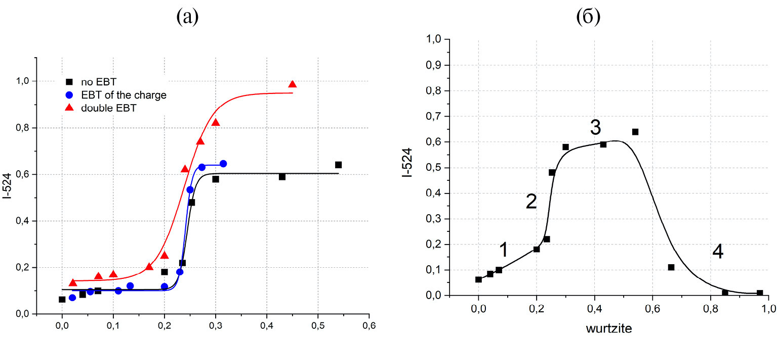
Для всех исследованных серий люминофоров были прослежены S-образные кривые, демонстрирующие скачкообразное возрастание относительной интенсивности «зеленой» спектральной компоненты при увеличении относительного содержания вюрцитной фазы в люминофоре (рис. 2а). Интересно разобраться в причинах такого немонотонного поведения интенсивности люминесценции, а следовательно, и концентрации центров зеленого свечения (донорно-акцепторные пары CuZn΄–BrS●) от содержания вюрцита в люминофорной ZnS матрице. Если бы вюрцитная фаза сама по себе способствовала формированию данных центров, то интенсивность монотонно возрастала бы и принимала максимальное значение при 100% содержания вюрцита. На практике, мы имеем участок медленного возрастания интенсивности (участок 2 на рис. 2б), участок резкого возрастания (участок 2, рис. 2б), насыщение и достижение максимума (участок 3, рис. 2б) при 30…35 % содержания вюрцита в системе и дальнейшее снижение интенсивности (участок 4, рис. 2б) при содержании вюрцита более 60%. При большом содержании вюрцита интенсивность свечения резко падает. Не смотря на малое количество данных для бóльших концентраций вюрцита, бросается в глаза симметричность кривой относительно максимума. Имеющиеся на данный момент представления не позволяют объяснить наблюдаемые результаты.
Рис. 2. Зависимость интенсивности «зеленой» полосы в спектре радиолюминесценции от содержания вюрцитной фазы в люминофорах ZnS:Cu,Br: а – серии люминофоров, синтезированных в различных режимах электронно лучевой обработки и без нее; б – серия синтезированная без применения электронно-лучевой обработки.
Объяснение характера этих зависимостей может быть получено с привлечением теории перколяции. Данный подход широко применяется [17–19] для описания, например, электропроводности полимерных композитов, где увеличение концентрации проводящего наполнителя влечет за собой скачкообразное возрастание электропроводности композита при достижении так называемого порога перколяции1.
Мы имеем дело с люминофором, зерно которого имеет размер 2–5 мкм и состоит из кристаллитов размером 80–110 нм, что установлено по данным рентгеновской дифракции [21]. В то же время известно, что для вюрцитно-сфалеритных ZnS композитов, по крайней мере часть зерен содержит одновременно кристаллиты и вюрцита и сфалерита [22]. В нашем случае можно полагать, что с ростом содержания вюрцитной фазы в сфалеритной матрице сульфида цинка происходит формирование непрерывного вюрцитного кластера в зерне люминофора с протяженной межфазной границей вюрцит-сфалерит, что способствует увеличению скорости зернограничной диффузии ионов активатора и соактиватора (Cu+ и Br–) по межфазной границе и формированию «зеленых» центров свечения CuZn΄–BrS●.
Материалы.
Был проведен анализ зависимости интенсивности радиолюминесценции от содержания вюрцитной фазы для трех серий люминофоров состава ZnS:Cu,Br(сульфид цинка активированный медью и бромом), синтезированных без применения и с применением электронно-лучевого модифицирования твердофазным способом в восстановительной атмосфере при температуре 950 °С (для получения дополнительных точек (см. рис. 2б) с более высоким содержанием вюрцитной фазы, часть образцов из серии не подвергавшейся ЭЛО были синтезированы при температуре 1100 °С). В качестве исходного материала для приготовления шихт использовался сульфид цинка (99.99% пр-во НПО Люминофор, Ставрополь, Россия). Также в состав шихты входили: CuCl (98.00%, АО «ЛенРеактив», Санкт-Петербург, Россия), NH4Br (99.50%, АО «ЛенРеактив», Санкт-Петербург, Россия) и элементарная сера (99.90, АО «ЛенРеактив», Санкт-Петербург, Россия). Электронно-лучевая обработка (ЭЛО) осуществлялась в одной серии для шихты перед синтезом, а в другой серии также и после синтеза, для готового люминофора на среднеэнергетическом ускорителе электронов РТЭ-1В (НИИЭФА им. Ефремова, Санкт-Петербург, Россия) при условиях: E = 900 кэВ; доза – 600 кГр. Радиолюминесценция возбуждалась на твердотельном тритиевом источнике активностью < 0.4 Ки (АО Радиевый институт им. В. Г. Хлопина, Санкт-Петербург, Россия).
Качественная и количественная оценка фазового состава была осуществлена на дифрактометре Bruker D8-Advance (Германия) с первичной обработкой дифрактограмм на стандартном программном обеспечении DIFRAC.EVA V5.0 для определения количественного соотношения фаз по методу Ритвельда и определения размера областей когерентного рассеяния с использованием формулы Шеррера. Спектры радиолюминесценции сняты на спектрофлуориметре Solar CM 2203 (Беларусь) и обработаны методом гауссова разложения на полосы в программе OriginPro 2021 (9.8.0) для установления вклада «зеленой» спектральной компоненты. Полный перечень исследуемых образцов с их фазовыми характеристиками приведен в таблице 1.
Таблица 1. Параметры исследуемых серий люминофоров ZnS:Cu,Br
C(Cu), мас. % | Фазовый состав, % | ОКР, нм | D(av), мкм | |||
Сфалерит | Вюрцит | Сфалерит | Вюрцит | |||
Без ЭЛО | 0.005 | 46 | 54 | – | – | 3.1 |
0.01 | 74.7 | 25.3 | 90.44 | 115.58 | 3.4 | |
0.01 | 70 | 30 | – | – | 3.3 | |
0.01 | 57 | 43 | – | – | 3.4 | |
0.03 | 76.5 | 23.5 | 105.39 | 115.72 | 3.8 | |
0.05 | 80 | 20 | 117.49 | 129.00 | 6.5 | |
0.1 | 93 | 7 | 115.56 | 139.00 | 7.7 | |
0.2 | 96 | 4 | 128.41 | 132.00 | 7.8 | |
0.4 | 100 | 0 | 116.55 | – | 9.75 | |
0.03* | 3 | 97 | – | – | 5.2 | |
0.05* | 15 | 85 | – | – | 6.7 | |
0.075* | 33.6 | 66.4 | – | – | 7.6 | |
ЭЛО шихты | 0 | 86.7 | 13.3 | 99.31 | 125.13 | 4.5 |
0.01 | 72.7 | 27.3 | 85.14 | 127.79 | 2.4 | |
0.03 | 68.5 | 31.5 | 105.03 | 85.67 | 2.9 | |
0.05 | 75 | 25 | 105.54 | 123.79 | 3.2 | |
0.075 | 77 | 23 | 87.09 | 108.43 | 3.5 | |
0.1 | 98 | 2 | 99.75 | 124.11 | 3.9 | |
0.2 | 89 | 11 | 110.39 | – | 5.9 | |
0.4 | 94.5 | 5.5 | 111.60 | – | 6.5 | |
0.6 | 98 | 2 | 130.81 | – | 8.1 | |
ЭЛО шихты и готового люминофора | 0 | 97.9 | 2.1 | 119.02 | 140.85 | 4.1 |
0.01 | 70 | 30 | 92.85 | 149.68 | 2.7 | |
0.03 | 55 | 45 | 85.14 | 105.17 | 2.9 | |
0.05 | 73 | 27 | 99.44 | 115.75 | 3.1 | |
0.075 | 76 | 24 | 115.42 | 145.14 | 3.4 | |
0.1 | 76 | 24 | 85.06 | 112.31 | 4 | |
0.2 | 83 | 17 | 138.35 | – | 5.7 | |
0.4 | 90 | 10 | 138.35 | – | 6.8 | |
0.6 | 92.9 | 7.1 | 103.26 | – | 8 | |
* Образцы синтезированные тем же методом, из тех же материалов, но при температуре 1100 °С.
Метод.
В композитных материалах, упомянутых выше, перколяционная задача формулируется для непрерывной среды [20]. Согласно этой задаче, в каждой точке пространства с вероятностью р = v (где v – концентрация наполнителя) проводимость равна проводимости наполнителя (высокая) и с вероятностью 1 ‐ p – проводимости матрицы (низкая). Порог протекания (vс) отвечает концентрации наполнителя, при которой формируется бесконечный проводящий кластер из частиц наполнителя и проводимость резко возрастает, рис. 3.
Рис. 3. Порог перколяции как доля заполненных узлов в системе [20].
Вблизи порога протекания проводимость σ двухкомпонентной смеси с биноминальным распределением частиц будет равна:
(1)
(2)
где параметр β является коэффициентом, характерным для принятой модели протекания, σf – проводимость наполнителя.
Подобный подход можно использовать и в нашем случае для описания роста интенсивности зеленой полосы в спектрах радиолюминесценции, при изменении фазового состава люминофора.
При синтезе ZnS:Cu,Br люминофоров (сульфид цинка, активированный ионами меди и брома) формируется композитная вюрцитно-сфалеритная структура, а интенсивность свечения и содержание центров свечения в виде донорно-акцепторных пар CuZn΄–BrS● достигает максимума при определенной доле вюрцита в люминофоре. Формирование люминофорной матрицы композитного фазового состава способствует увеличению скорости диффузии ионов активатора и соактиватора (Cu+ и Br–) по межфазной границе вюрцит-сфалерит и формированию центров свечения. Схематически этот процесс проиллюстрирован на рис. 4.
Рис. 4. Схема формирования непрерывного кластера в зерне люминофора: а) зерно (условно квадратное) состоит только из кристаллитов сфалерита (s); б) в зерне появляются кристаллиты со структурой вюрцита (w), поэтому, за счет появления границы раздела вюрцит/сфалерит, скорость диффузии постепенно возрастает; в) порог перколяции – формирование непрерывного трека для диффузии вдоль границы раздела вюрцит/сфалерит, скорость диффузии резко возрастает; г) разрастание перколяционного кластера. Стрелки показывают возможные треки диффузии ионов активатора и соактиватора вдоль границы раздела вюрцит/сфалерит.
В таком случае уравнения (1) и (2) могут быть модифицированы следующим образом: σ принимает значения I – относительной интенсивности полосы с максимумом при 525 нм в спектре радиолюминесценции; может изменяться в пределах от 0 (данная спектральная полоса отсутствует) до 1 (полоса является единственной в спектре); σ бозначается как I1 и I2 – максимальное и минимальное значение интенсивности соответственно, которые определяются отдельно для верхней и нижней веток кривой (как доля вклада полосы в общий спектр РЛ); v принимается как w – доля содержания вюрцитной фазы в образце, может изменяться в пределах от 0 (чистый сфалерит) до 1 (чистый вюрцит); wC – значение содержания вюрцита в люминофоре, при котором происходит резкий рост интенсивности радиолюминесценции (порог перколяции); β – критический индекс, определяющийся параметрами кластера. Преобразованные уравнения, таким образом, могут быть представлены в виде:
, для верхней ветки (w > wc)2 (3)
, для нижней ветки (w < wc)(4)
При стремлении двух аппроксимационных веток кривой друг к другу, неизбежно возникает Δ – зона перколяции, центром которой будет значение wc.
Результаты и обсуждение.
Используя вышеизложенный подход, определяли wc из рис. 2а, опираясь на данные рентгенофазового анализа, как значение содержания вюрцита, при котором происходит резкий рост интенсивности. На рис. 5 и в табл. 2 приведены полученные результаты аппроксимации интенсивности радиолюминесценции как функции фазового состава люминофоров по уравнениям теории перколяции (I = f(w)) и параметры уравнений для трех исследованных серий люминофоров.
Таблица 2. Результаты аппроксимации I = f(w) по уравнениям теории перколяции.
Параметр | Без ЭЛО | ЭЛО шихт | ЭЛО шихт и люминофоров |
β1 | 0.08 | 0.08 | 0.15 |
β2 | 0.3 | 0.33 | 0.28 |
I1 | 0.7 | 0.8 | 1.1 |
I2 | 0.05 | 0.05 | 0.09 |
критерий R12 | 0.94 | 0.93 | 0.97 |
критерий R22 | 0.94 | 0.91 | 0.98 |
wc | 0.25 | 0.24 | 0.22 |
Рис. 5. Аппроксимация I = f(w) по уравнениям теории перколяции; а – образцы, синтезированные без ЭЛО; б – образцы, синтезированные с ЭЛО шихты; в – образцы, синтезированные с ЭЛО шихты и ЭЛО готового люминофора.
Прежде всего, необходимо отметить достаточно высокие значения коэффициентов корреляции, что говорит об адекватности используемого подхода. Из схемы на рис. 4 следует, что в первом приближении, если размер и форма кристаллитов вюрцита и сфалерита одинаковы (см. далее), то максимальное значение исследуемая функция (относительная интенсивность полосы 524 нм) должна иметь при соотношении фаз 50 : 50, а порог перколяции, соответственно, должен наблюдаться в области между 0 и 50% вюрцитной фазы. Экспериментальные значения порогов перколяции в табл. 2 составили 22–33%, т.е. лежат в данном интервале.
При превышении доли вюрцита в 50% – максимально смешанная структура с максимально протяженной границей раздела фаз вюрцит–сфалерит, обеспечивающей наилучшие условия для зернограничной диффузии – должно происходить уменьшение значения целевой функции. Действительно, для серии образцов, не подвергавшихся ЭЛО (рис. 5а), мы видим насыщение функции при приближении к 50%, а для серий, подвергшихся ЭЛО (рис. 5б, в), виден плавный рост по верхней ветке. И для серии не подвергавшейся ЭЛО (рис. 2б) после 60% наблюдается резкое снижение интенсивности люминесценции.
Также интересно отметить, что электронно-лучевая обработка, создающая дополнительные структурные дефекты в ZnS матрице люминофора, т.е. дополнительно способствующая диффузии ионов, приводит к снижению порога перколяции. Рост величины I1 при использовании обработанной электронным лучом шихты отражает возрастание доли «зеленой» полосы люминесценции при данном фазовом составе и, соответственно, рост яркости люминесценции.
Таким образом, предложен подход, объясняющий наблюдаемые немонотонные зависимости интенсивности «зеленой» полосы в спектре радиолюминесценции от фазового состава цинкосульфидного люминофора с привлечением представлений теории перколяции. Формирование непрерывной границы между сфалеритом и вюрцитом облегчает межкристаллитную диффузию ионов активатора и соактиватора, повышая вероятность образования ассоциативных центров «зеленой» люминесценции Cu´Zn-BrS· и увеличивая интенсивность свечения. Полученные результаты предлагают новые подходы в управлении структурой и свойствами неорганических материалов.
Финансирование
Работа выполнена при поддержке государственного задания 1023033000085-7-1.4.3 Химия, физика и биология наносостояния.
Конфликт интересов
Авторы данной работы заявляют, что у них нет конфликта интересов.
1 Порог перколяции – концентрация наполнителя, при которой в композите формируется бесконечный проводящий кластер контактирующих друг с другом частиц от края до края системы, рис. 3.
2 Здесь и далее нижние индексы 1 и 2 применяются соответственно для верхней и нижней веток аппроксимационной кривой.
Авторлар туралы
Е. Зеленина
Санкт-Петербургский государственный технологический институт (технический университет); АО «Радиевый Институт им. В. Г. Хлопина»
Хат алмасуға жауапты Автор.
Email: elena.v.zelenina@gmail.com
Ресей, Санкт-Петербург; Санкт-Петербург
М. Сычев
Санкт-Петербургский государственный технологический институт (технический университет); Институт химии силикатов им. И.В. Гребенщикова (филиал НИЦ «Курчатовский институт» — ПИЯФ – ИХС)
Email: elena.v.zelenina@gmail.com
Ресей, Санкт-Петербург; Санкт-Петербург
И. Снятков
Санкт-Петербургский государственный технологический институт (технический университет)
Email: elena.v.zelenina@gmail.com
Ресей, Санкт-Петербург
А. Чуркина
Санкт-Петербургский государственный технологический институт (технический университет)
Email: elena.v.zelenina@gmail.com
Ресей, Санкт-Петербург
Әдебиет тізімі
Қосымша файлдар







