Фотолюминофоры на основе пористых стекол, соактивированных cu2+ и y3+: синтез и спектральные свойства
- Авторлар: Гирсова М.А.1, Головина Г.Ф.1, Анфимова И.Н.1, Куриленко Л.Н.1, Антропова Т.В.1
-
Мекемелер:
- Институт химии силикатов имени И. В. Гребенщикова РАН
- Шығарылым: Том 50, № 5 (2024)
- Беттер: 374-395
- Бөлім: Articles
- URL: https://bakhtiniada.ru/0132-6651/article/view/289202
- DOI: https://doi.org/10.31857/S0132665124050038
- EDN: https://elibrary.ru/NSSHUZ
- ID: 289202
Дәйексөз келтіру
Толық мәтін
Аннотация
Синтезированы композиционные материалы на основе матриц из высококремнеземных пористых стекол, активированных ионами Cu2+ и Y3+. Изучено влияние состава композитов (концентрация и соотношение введенной меди и иттрия) и температуры их тепловой обработки (в диапазоне 50–870 °С) на их спектральные свойства. При исследовании образцов методами оптической и ИК спектроскопии обнаружены полосы поглощения, связанные с Cu2+ ионами и обусловленные колебаниями Y–O связей в Y2O3. Установлено, что в зависимости от условий синтеза полученные материалы обладают УФ, сине-зеленой и ИК люминесценцией, обусловленной присутствием различных активных центров (дефекты и кислородные вакансии в CuO, Cu2+ ионы, радикалы и F центры в Y2O3, =Si0 центры, E’ центры (O3≡Si·), нейтральные вакансии кислорода (O3≡Si–Si≡O3), немостиковые кислородные дефектные центры в кремнеземной матрице стекла).
Толық мәтін
Введение.
В настоящее время повышен интерес к получению новых композиционных материалов, пленок, цеолитов, керамик и стекол, содержащих в своем составе одновременно оксиды меди и иттрия [1–9], а также к синтезу оксидов CuO–Y2O3 (без примесей), в том числе CuYO2 [10–16]. Это обусловлено актуальностью использования таких материалов и оксидов в фотокатализе, в диодах с полупроводниковым p-n переходом (p-YCuO/n-Si), в солнечных элементах, тонкопленочных транзисторах, оптоэлектронных устройствах, а также в качестве антибактериальных покрытий и катализаторов, в производстве водорода [2, 4–6, 10, 12, 14, 17].
Известно, что в композиционных материалах, пленках, нанопорошках и нанолистах (nanosheets) возможны два варианта соактивирования оксидов: Y2O3 : CuO и CuO : Y2O3, где основным оксидом может быть как редкоземельный оксид, так и полупроводниковый оксид p-типа соответственно [2, 4, 6, 11, 16]. Соотношение и концентрация вводимых оксидов (Y2O3, CuO, Cu2O) при синтезе чистых нанопорошков и нанолистов, а также при получении многокомпонентных материалов влияют на структуру, спектральные, фотокаталитические, механические и электрические свойства получаемых материалов [1, 2, 4, 6, 8, 11, 16, 18]. Кроме того, на структуру и свойства смешанных оксидов CuO–Y2O3 и материалов, которые их содержат, существенное влияние оказывает режим тепловой обработки [1, 5, 9, 15, 16, 18].
В настоящей работе методами UV-VIS-NIR оптической и люминесцентной спектроскопии проведено исследование композиционных материалов, синтезированных на основе матриц из высококремнеземного пористого стекла, которые были активированы ионами Cu2+ и Y3+, в зависимости от условий их получения (влияние состава материала и режима его тепловой обработки).
Объекты и методы исследования. Объектами исследования являются композиционные материалы (КМ) на основе матриц из высококремнеземного пористого стекла (ПС) 8В-НТ-120, активированные ионами Cu2+ и Y3+. Образцы ПС в форме плоскопараллельных полированных пластин размером (15 × 15 × 1.5) мм3, обладающие средним диаметром пор 3–5 нм, пористостью ~ 30% и составом по анализу, мас. %: 0.30 Na2O, 3.14 B2O3, 0.11 Al2O3, 96.45 SiO2, были изготовлены по методике [19]. Образцы КМ были получены путем пропитки образцов ПС при комнатной температуре в смешанных водно-солевых растворах 0.5–1.00 М Cu(NO3)2·3H2O и 0.3–0.6 М Y(NO3)3·6H2O с последующей сушкой при 50 °С. Массовое соотношение солей в пропитывающих растворах варьировалось следующим образом: 1 : 1, 1 : 2, 2 : 1, в соответствии с чем принято обозначение синтезированных образцов КМ: Cu/Y, Cu/2Y, 2Cu/Y. При приготовлении растворов для синтеза КМ использовали реактивы: 3-водный нитрат меди Cu(NO3)2·3H2O («ч», 98.2%), 6-водный нитрат иттрия Y(NO3)3·6H2O («х.ч.», 99.3%).
Образцы КМ были подвергнуты тепловой обработке в воздушной атмосфере при температуре 650, 800 или 870 °С в течение 15–120 мин. Следует отметить, что при 870–900 °С происходит схлопывание пор в матрицах ПС 8В-НТ-120 и в КМ на их основе в результате вязкого течения в каркасе ПС [20], благодаря чему получаются высокремнеземные (так называемые кварцоидные) стекла (КС-8В-НТ) и монолитные КМ.
Известно, что разложение обводненных азотнокислых солей (термолиз) до образования оксидов происходит по следующим реакциям (1–7) [21–25]:
(1)
(2)
(3)
(4)
(5)
(6)
(7)
Полное разложение Y(NO3)3·6H2O до оксида Y2O3 происходит при 450–600 °С, а Cu(NO3)2·3H2O до CuO – при 400–600 °С [15, 22, 25, 26]. Для формирования чистых фаз смешанных оксидов типа Cu2Y2O5 необходимы более высокие температуры (800–1200 °С) [15].
Содержание меди в образцах КМ было определено методом пламенной фотометрии на атомно-абсорбционном спектрометре iCE 3000 (Thermo Fisher Scientific) (среднее квадратическое отклонение 0.1–0.5%) и составляло 0.61–1.21 мас. % (в пересчете на CuO).
Элементный состав композитов изучен методом энергодисперсионной рентгеновской спектроскопии (ЭДС). Измерены линейные профили концентрации элементов с шагом 20–50 мкм. Измерения проводились на сканирующем электронном микроскопе CamScan MX2500, оборудованном энергодисперсионным спектрометром Link Pentafet (Oxford Instruments, Si(Li) детектор с площадью 10 мм2 и разрешающей способностью 138 eV (для MnKα)). Образцы КМ запрессовывали в полимерные шайбы, полировали и напыляли углеродом. Измерения проводили на плоскопараллельных пластинах толщиной 1.50 ± 0.15 мм.
Исследования пропускания КМ методом ИК спектроскопии были проведены с помощью ИК спектрометра SPECORD M-80 (Carl Zeiss JENA) в области частот 4000–400 см–1 со спектральным разрешением 4 см–1. Измерения проводили при комнатной температуре на образцах в виде таблеток диаметром 13 мм, спрессованных из смеси порошков КМ с KBr. Для изготовления таблеток была использована пресс-форма ПФ-13 в условиях вакуумной откачки (давление в вакуумной системе не более 20 мм рт. ст.). ИК спектры пропускания были измерены несколько раз для каждого образца.
Исследования пропускания КМ методом ближней ИК спектроскопии выполнены с помощью ИК Фурье-спектрометра ФСМ-2211 («ИНФРАСПЕК», Россия) в области частот 11000–4000 см–1 со спектральным разрешением 2 см–1.
Исследования оптической плотности КМ в области длин волн (270–1000) нм проведены на УВИ-спектрофотометре СФ-2000 (ОКБ «Спектр», Россия) (наименьший спектральный разрешаемый интервал 1 нм).
Для исследования синтезированных композитов методом люминесцентной спектроскопии был использован спектрофлуориметр RF 6000 (SHIMADZU Corp., Япония) (источник возбуждения – ксеноновая лампа 150 Вт).
Исследования КМ методами оптической, ближней инфракрасной и люминесцентной спектроскопии проводили на образцах толщиной 1.50 ± 0.15 мм при комнатной температуре.
Результаты и обсуждение
Рисунок 1 демонстрирует результаты исследования синтезированных образцов КМ методом ЭДС в зависимости от их состава (Cu/Y, Cu/2Y, 2Cu/Y) при 870 °С. На рис. 1а, в, д показано распределение компонентов по толщине образцов, на рис. 1б, г, е представлены ЭДС спектры.
Рис. 1. Распределение элементов по толщине образцов (а, в, д) и ЭДС спектры (б, г, е) центральной части образцов КМ, термообработанных при 870 °С, в зависимости от состава КМ: (а, б) Cu/Y, (в, г) 2Cu/Y, (д, е) Cu/2Y.
Следует отметить, что концентрация натрия, алюминия была нулевой, а легкие элементы бор и азот, как известно, методом ЭДС не определяются. Во всех образцах КМ распределение кислорода и кремния являлось почти равномерным по всей толщине образцов. Медь распределена довольно равномерно по толщине образцов КМ (вне зависимости от состава), за исключением поверхностного слоя (~ 90 мкм) из-за краевого эффекта, характерного для пластин ПС. Распределение иттрия является неравномерным по толщине всех КМ, причем периодически отмечаются значения его концентрации, близкие к нулю (табл. 1), что на пределе чувствительности прибора (0.1–0.2 мас. %).
Таблица 1. Элементный анализ образцов КМ (при 870 °С) по данным энергодисперсионной рентгеновской спектроскопии
Образцы КМ | Пределы обнаружения, мас. % (среднее значение, мас. %) | |||
Si | O | Cu | Y | |
Cu/Y | 44.47–46.40 (45.04 ± 0.30) | 51.27–52.86 (51.79 ± 0.38) | 0.00–1.21 (0.95 ± 0.14) | 0.00–1.38 (0.86 ± 0.37) |
2Cu/Y | 44.28–45.78 (44.88 ± 0.29) | 50.94–52.16 (51.47 ± 0.37) | 0.00–1.27 (0.94 ± 0.14) | 0.00–1.23 (0.38 ± 0.36) |
Cu/2Y | 43.18–45.06 (43.91 ± 0.28) | 49.88–51.32 (50.52 ± 0.37) | 0.00–0.87 (0.60 ± 0.12) | 0.00–1.87 (1.24 ± 0.38) |
На ЭДС спектрах центральной части образцов КМ обнаружены пики, соответствующие основным компонентам (сильные пики – Si, O), слабые и сильные пики меди в интервале энергий ~ 0.5–1.0 и 8.0–9.0 кэВ, слабые и сильные пики иттрия – ~ 1.5–2.0 и ~ 15.0–17.0 кэВ, что согласуется с данными [2, 11, 27].
В табл. 1 представлены сводные данные элементного анализа образцов КМ по данным ЭДС. Указаны пределы обнаружения и средние значения концентраций элементов с указанием погрешности определения концентрации каждого элемента (в мас. %).
Ранее в работе [28] было установлено, что в образцах КМ Cu/Y (при 650 °С) распределение меди по толщине образцов было достаточно равномерным (среднее значение: 1.00 ± 0.12 мас. %), за исключением поверхностного слоя (~ 50 мкм), а распределение иттрия – неравномерным (среднее значение: 0.69 ± 0.37 мас. %). Установлено, что с повышением температуры тепловой обработки распределение иттрия и меди по толщине образцов не изменяется, а концентрация изменяется в пределах погрешности.
На рис. 2 и 3 представлены ИК-спектры пропускания КМ в области частот 4000–400 см–1 в зависимости от их состава и температуры тепловой обработки Тт.о., равной 650 °С или 870 °С. Предварительные данные для КМ Cu/Y (Тт.о. = 650 °С), полученные методом ИК-спектроскопии в области частот 1000–400 см–1, опубликованы в [28]. На рис. 2а представлены уточненные данные в более широком диапазоне частот.
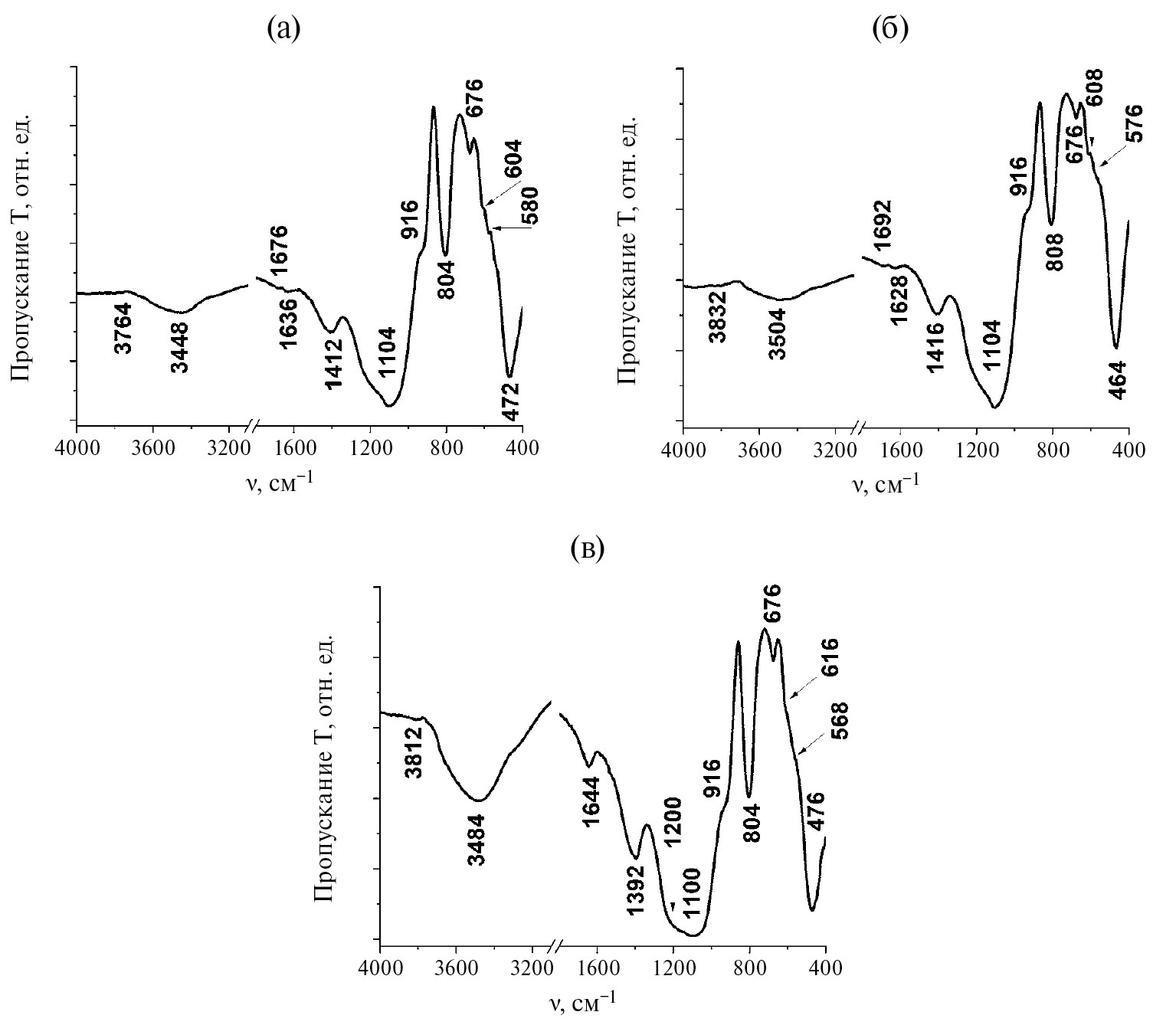
Рис. 2. ИК-спектры пропускания (4000–400 см–1) КМ, термообработанных при 650 °С, в зависимости от состава КМ: (а) Cu/Y, (б) 2Cu/Y, (в) Cu/2Y.
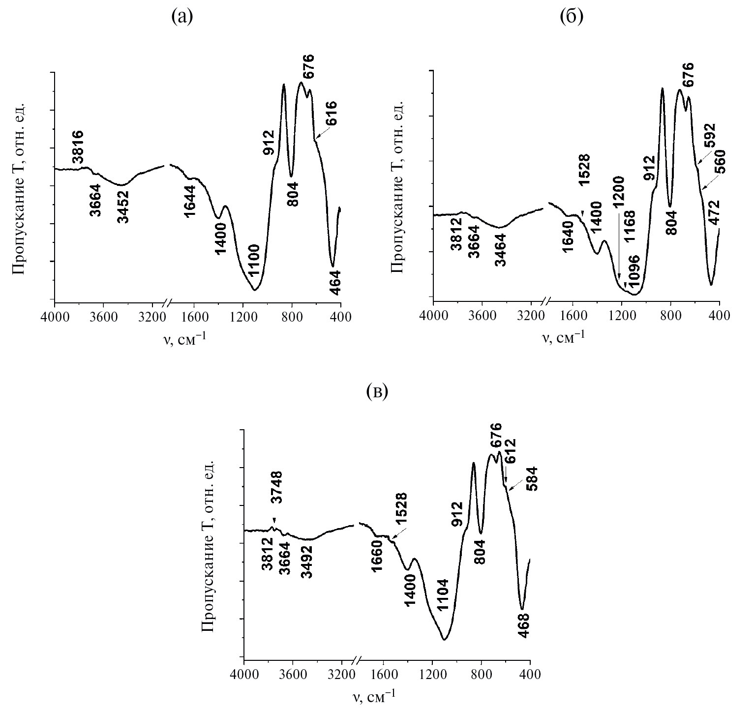
Рис. 3. ИК-спектры пропускания (4000–400 см–1) КМ, термообработанных при 870 °С, в зависимости от состава КМ: (а) Cu/Y, (б) 2Cu/Y, (в) Cu/2Y.
На ИК-спектрах КМ, подвергнутых тепловой обработке при 650 °С, вне зависимости от их состава обнаружены полосы поглощения в областях частот: 1644–1628, 1416–1392, 1104–1100, 916, 808–804, 676, 616–604, 580–568, 476–464 см–1. Выявлены дополнительные полосы при 3832, 3812, 3764, 3504, 3484, 3448 см–1, которые наблюдаются у всех КМ при 650 °С, но с большим смещением полос относительно более низких частот: 1644–1628, 1416–1392, 616–604, 580–568, 476–464 см–1. Дополнительные полосы слабой интенсивности при 1692 и 1676 см–1 идентифицированы у КМ 2Cu/Y и КМ Cu/Y соответственно, то есть у образцов с одинаковым содержанием меди, но вариацией концентрации иттрия (в 2 раза). Дополнительная сильная полоса при 1200 см–1 наблюдается у КМ Cu/2Y с более высоким содержанием иттрия и меньшей концентрацией меди. Следует отметить, что с увеличением концентрации иттрия в КМ (при одинаковом содержании меди) в большинстве случаев смещение полос поглощения происходит в сторону более низкой области частот (кроме 1636–1628, 580–576, 472–464 см–1). Аналогичный характер смещения поглощения наблюдается у КМ с повышением содержания меди (кроме 1412–1392, 580–568 см–1).
С повышением температуры тепловой обработки КМ (870 °С, вне зависимости от состава КМ) на ИК-спектрах видны полосы поглощения при: 3816–3812, 3664, 1400, 1104–1096, 912, 804, 676, 472–464 см–1. Выявлены дополнительные полосы при 3492, 3464, 3452, 1660, 1644–1640 см–1, которые наблюдаются у всех КМ при 870 °С, но с большим смещением полос. Дополнительные полосы слабой интенсивности при 3748 и 1528 см–1 идентифицированы у КМ Cu/2Y и у КМ 2Cu/Y, КМ Cu/2Y соответственно. Дополнительные сильные полосы при 1200, 1168 см–1 видны у КМ 2Cu/Y. Снижение концентрации меди в образцах КМ приводит к расщеплению одной полосы при 616 см–1, которая обнаружена у КМ Cu/Y, на две полосы: 612 и 584 см–1 у КМ Cu/2Y. С понижением концентрации иттрия в указанной выше области частот появляются две новые полосы поглощения при 592 и 560 см–1 у КМ 2Cu/Y.
Перейдем к описанию обнаруженных полос поглощения в области частот 4000–400 см–1. Отметим, что в области частот 3100–1800 см–1 полосы, характерные для структурных единиц кремнекислородного каркаса ПС-матриц и введенных оксидов меди и иттрия, не наблюдаются.
Полосы слабой интенсивности в области частот 3832–3812 см–1 могут быть обусловлены сочетанием симметричных валентных колебаний OH групп νs(OH) и деформации кручения (torsion) OH в SiOH группах γ(SiOH), а также могут быть связаны с поглощением молекулярной воды [29]. Полосы при 3764, 3748 и 3664 см–1 следует отнести к колебанию SiOH групп [30]. Полосы в области частот 3504–3448 см–1, скорее всего, следует связать с валентными колебаниями молекулярной воды ν(H2O) [29–31]. Полосы в области частот 1692–1628 см–1, возможно, обусловлены деформационными колебаниями молекулярной воды δ(H2O) и деформационными колебаниями SiOH групп δ(Si–O–H) [29, 31, 32]. Перегибы на кривых при 1528 см–1 могут быть связаны с колебанием SiOH и Si–O– групп [32, 33]. Сильные полосы в области частот 1416–1392 см–1 можно отнести к Si–O– группам, к валентным колебаниям бороксольных колец, к валентным колебаниям B–O связей ν(B–O) [30, 31, 33, 34]. Широкие полосы поглощения в области частот 1200–1096 см–1 и узкие полосы при 1104–1100 см–1, скорее всего, вызваны асимметричными валентными колебаниями Si–O–Si связей νas(Si–O–Si) [33]. Перегибы на кривых при 916 и 912 см–1 могут соответствовать валентным колебаниям B–O–Si связей ν(B–O–Si) и валентным колебаниям Y–O–Y связей ν(Y–O–Y) [30, 35]. Узкие сильные полосы при 808–804 см–1, возможно, связаны с валентными колебаниями Si–O–Si связей ν(Si–O–Si) между тетраэдрами, с колебаниями Y–O [30, 36]. Полоса при 676 см–1, скорее всего, относиться к валентным колебаниям B–O–Si связей ν(B–O–Si), к немостиковым колебаниям кислорода Si–O и к колебаниям, связанным с дефектами в виде нейтральных вакансий кислорода, ≡Si–Si≡ [30, 31, 37]. Перегибы на кривых в области частот 616–604 см–1 могут быть связаны с присутствием CuO, с валентными колебаниями Cu–O связей ν(Cu–O), с валентными колебаниями Y–O связей ν(Y–O) в Y2O3 и с симметричными валентными колебаниями Si–O–Si связей νs (Si–O–Si) [38–42]. Перегибы на кривых при 592, 584–576, 568, 560 см–1, скорее всего, соответствуют валентным колебаниям Y–O связей ν(Y–O) в Y2O3 и валентным колебаниям Cu–O связей ν(Cu–O), а также являются характерными для наночастиц CuO [35, 36, 43–47]. Сильные полосы в области частот 476–464 см–1 могут быть вызваны наличием наночастиц CuO, а также, возможно, связаны с валентными колебаниями Cu–O связей ν(Cu–O), с деформационными колебаниями Y–O δ(Y–O) связей в Y2O3, с деформационными колебаниями Si–O–Si связей δ(Si–O–Si), O–Si–O связей δ(O–Si–O) и Si–O связей δ(Si–O) [30, 31, 35, 36, 41, 42, 44, 46–48].
Все обнаруженные у композитов ИК спектральные полосы с их отнесением сведены в табл. 2.
Таблица 2. Положение полос поглощения (в диапазоне 4000–400 см–1), обнаруженных у композиционных материалов, и их отнесение
Полосы, см–1 | Отнесение |
3832–3812 (сл) | Колебания νs(OH), γ(SiOH), поглощение молекулярной воды |
3764–3664 (сл) | Колебания SiOH групп |
3504–3448 (С) | Колебания ν(H2O) |
1692–1628 (С, сл) | Колебания δ(H2O) и δ(Si–O–H) |
1528 (сл) | Колебания SiOH и Si–O– групп |
1416–1392 (С) | Колебания Si–O– групп, ν(B–O) связей, валентные колебания бороксольных колец |
1200–1096 (С) | Колебания νas(Si–O–Si) связей |
916–912 (сл) | Колебания ν(B–O–Si), ν(Y–O–Y) связей |
808–804 (С) | Колебания Y–O, ν(Si–O–Si) между тетраэдрами |
676 (С) | Колебания ν(B–O–Si) связей, Si–O, ≡Si-Si≡ |
616–604 (сл) | Колебания ν(Cu–O), ν(Y–O) в Y2O3, νs(Si–O–Si), наличие CuO |
592–560 (сл) | Колебания ν(Cu–O), ν(Y–O) в Y2O3, наличие наночастиц CuO |
476–464 (С) | Колебания ν(Cu–O), δ(Y–O) в Y2O3, наличие наночастиц CuO, δ(Si–O–Si), δ(O–Si–O), δ(Si–O) |
Примечание. Условные обозначения качественных характеристик полос: С – сильная, сл – слабая.
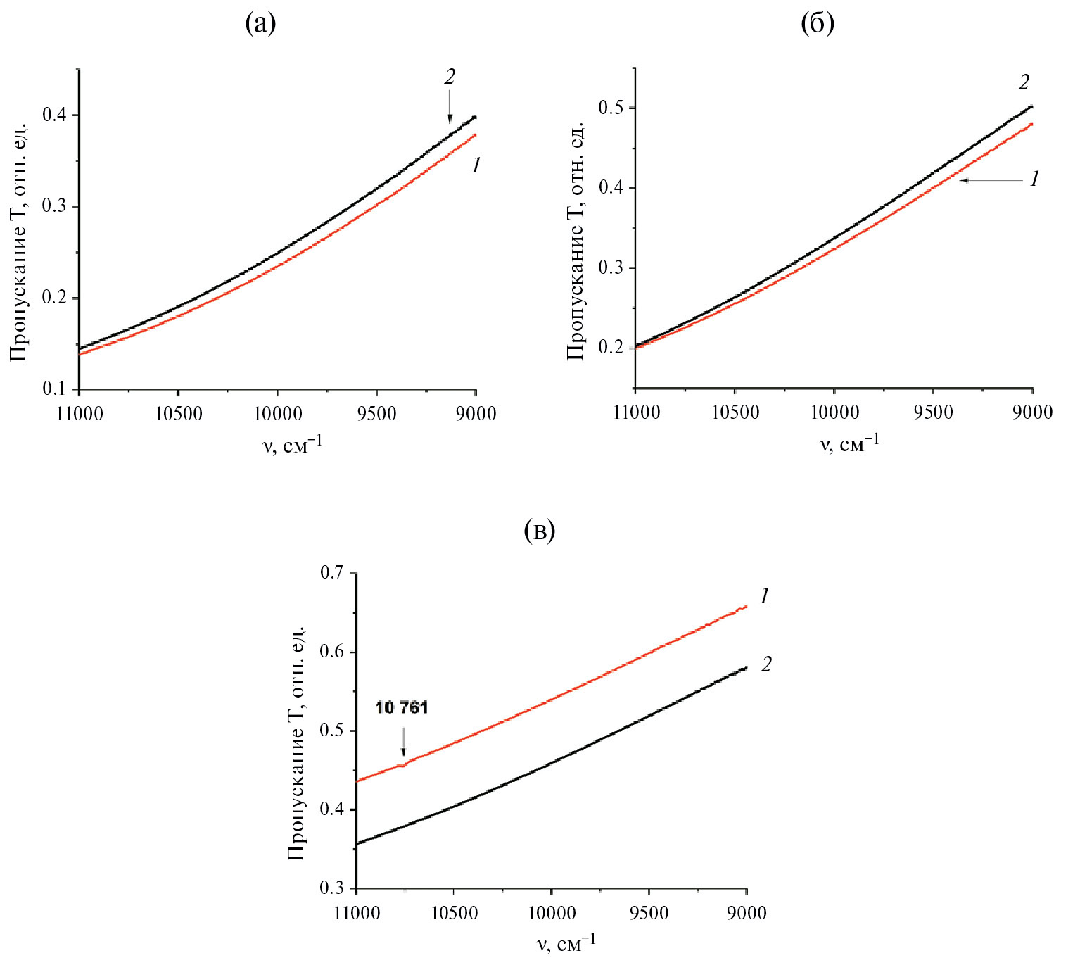
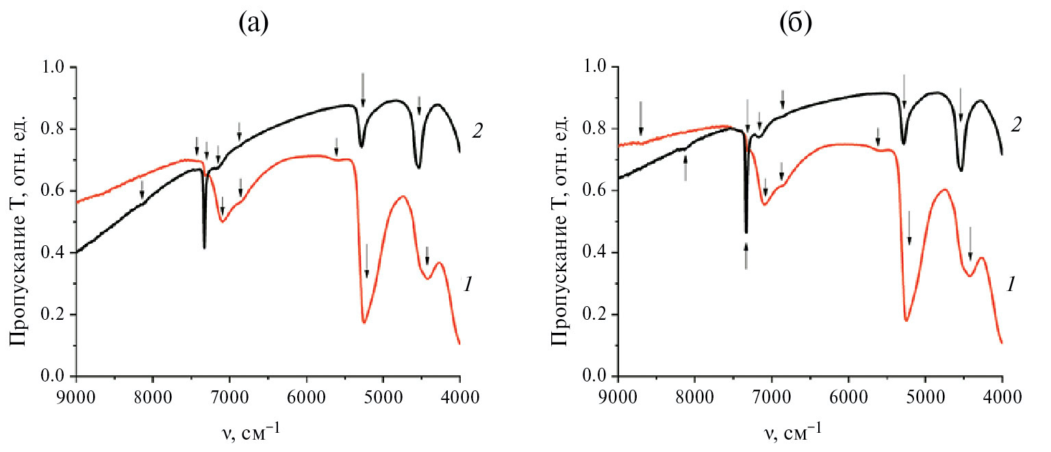
На рис. 4–7 представлены ИК спектры пропускания КМ в зависимости от состава (Cu/Y, 2Cu/Y, Cu/2Y) и режима тепловой обработки (50, 650, 800, 870 °С) в двух спектральных областях частот: 11000–9000 и 9000–4000 см–1. Ранее данные для КМ Cu/Y (при 50 и 650 °С) в области частот 11000–4000 см–1, были опубликованы в [28]. Сводные данные (положение полос поглощения) представлены в табл. 3.
Рис. 4. ИК спектры пропускания (9000–4000 см–1) КМ, термообработанных при 50 °С (1) и 650 °С (2), в зависимости от состава КМ: (а) 2Cu/Y, (б) Cu/2Y.
Рис. 5. ИК-спектры пропускания (9000–4000 см–1) КМ, термообработанных при 800 °С (1) и 870 °С (2), в зависимости от состава КМ: (а) Cu/Y, (б) 2Cu/Y, (в) Cu/2Y.
Рис. 6. ИК-спектры пропускания (11000–4000 см–1) КМ, термообработанных при 50 °С (1) и 650 °С (2), в зависимости от состава КМ: (а) 2Cu/Y, (б) Cu/2Y.
Рис. 7. ИК-спектры пропускания (11000–4000 см–1) КМ, термообработанных при 800 °С (1) и 870 °С (2), в зависимости от состава КМ: (а) Cu/Y, (б) 2Cu/Y, (в) Cu/2Y.
Таблица 3. Положение полос поглощения (в диапазоне 11000–9000 см–1), обнаруженных у композиционных материалов
Состав КМ (температура тепловой обработки, °С) | |||||||||||
Cu/Y (50) по данным [28] | Cu/Y (650) по данным [28] | Cu/Y (800) | Cu/Y (870) | 2Cu/Y (50) | 2Cu/Y (650) | 2Cu/Y (800) | 2Cu/Y (870) | Cu/2Y (50) | Cu/2Y (650) | Cu/2Y (800) | Cu/2Y (870) |
Положение полос поглощения, см–1 (интенсивность полос, отн. ед.) | |||||||||||
10757 (0.20) | 10759 (0.19) | 10756 (0.44) | 10761 (0.46) | ||||||||
8679 (0.75) | |||||||||||
8131 (0.54) | 8136 (0.56) | 8137 (0.73) | |||||||||
7447 (0.70) | 7443 (0.65) | 7419 (0.70) | 7456 (0.67) | ||||||||
7320 (0.65) | 7332 (0.38) | 7334 (0.62) | 7335 (0.69) | 7319 (0.65) | 7333 (0.42) | 7333 (0.70) | 7336 (0.76) | 7318 (0.73) | 7332 (0.47) | 7334 (0.65) | 7333 (0.76) |
7239 (0.68) | 7214 (0.69) | 7236 (0.74) | 7227 (0.75) | 7244 (0.80) | |||||||
7087 (0.51) | 7155 (0.67) | 7178 (0.68) | 7170 (0.69) | 7094 (0.50) | 7152 (0.67) | 7187 (0.74) | 7143 (0.75) | 7093 (0.56) | 7167 (0.77) | 7153 (0.80) | 7161 (0.76) |
6850 (0.58) | 6837 (0.57) | 6850 (0.75) | 6845 (0.62) | 6855 (0.84) | |||||||
5583 (0.71) | 5608 (0.70) | 5593 (0.73) | |||||||||
5243 (0.19) | 5281 (0.78) | 5282 (0.79) | 5276 (0.79) | 5248 (0.17) | 5283 (0.74) | 5282 (0.81) | 5273 (0.79) | 5249 (0.18) | 5284 (0.75) | 5285 (0.80) | 5277 (0.81) |
5070 (0.88) | 5034 (0.87) | 5062 (0.90) | 5055 (0.87) | 5080 (0.90) | 5055 (0.87) | ||||||
4665 (0.87) | 4663 (0.87) | 4670 (0.86) | |||||||||
4537 (0.65) | 4533 (0.81) | 4527 (0.84) | 4535 (0.68) | 4533 (0.84) | 4525 (0.85) | 4533 (0.67) | 4534 (0.78) | 4530 (0.82) | |||
4423 (0.32) | 4445 (0.85) | 4421 (0.32) | 4425 (0.32) | ||||||||
4182 (0.85) | 4187 (0.85) | 4184 (0.84) | |||||||||
Перейдем к описанию обнаруженных полос поглощения в области частот 11000–4000 см–1.
Полосы поглощения в областях частот 7336–7318, 7187–7087, 5285–5243 см–1 обнаружены на ИК спектрах всех синтезированных КМ вне зависимости от их состава и температуры тепловой обработки. Полосы при 7336–7318 см–1 (~ 1363–1367 нм), скорее всего, связаны с валентными колебаниями Si–OH групп ν(Si–OH) и обертоном свободных OH групп 2ν(OH) [29, 49, 50]. Полосы при 7187–7087 см–1 (~ 1391–1411 нм) следует отнести к обертону валентных колебаний OH групп молекул адсорбированной воды 2ν(OH) и к валентным колебаниям Si–OH групп ν(Si–OH) [29, 49, 51]. Полосы при 5285–5243 см–1 (~ 1892–1907 нм) можно приписать сочетанию деформационных и валентных колебаний воды (δ + ν)H2O и гидроксильных групп (δ + ν)OH [29, 32, 49–51].
Полосы слабой интенсивности при 10761–10756 см–1 (~ 929–930 нм), которые были установлены только для КМ, подвергнутых тепловой обработке при 650 °С (вне зависимости от состава), и для КМ Cu/2Y (Тт.о. = 800 °С) могут быть вызваны вторым обертоном валентных колебаний свободных групп OH 3ν(OHСВ) и октаэдрической координацией Cu2+ ионов с сильным тетрагональным искажением (электронный переход 2B2g → 2B1g) [52, 53]. Слабая дополнительная полоса поглощения при 8679 см–1 (~ 1152 нм), обнаруженная у КМ Cu/2Y при 50 °С, возможно, относится к сочетанию обертонов валентных колебаний OH групп и SiO4 тетраэров (2ν3 OH + 2ν1 SiO4) [52]. Слабые полосы при 8137–8131 см–1 (~ 1229–1230 нм), выявленные у КМ при 650 °С (вне зависимости от состава), скорее всего, связаны с сочетанием обертонов валентных колебаний OH групп и SiO4 тетраэров (2ν3 OH + ν1 SiO4), а также с Cu2+ ионами (электронный переход 2A1g → 2B1g) [52, 53]. Дополнительные полосы слабой интенсивности в области частот 7456–7419 см–1 (~ 1341–1348 нм), наблюдаемые у КМ Cu/Y и 2Cu/Y (при 50 и 650 °С), возможно, соответствуют обертонам валентного колебания OH групп (2ν3 OH) [52]. Помимо этого, слабые полосы при 7244–7214 см–1 (~ 1380–1386 нм), обнаруженные у всех КМ при 800 °С, а также у КМ Cu/Y и КМ 2Cu/Y при 870 °С, могут быть обусловлены обертонами валентного колебания OH групп (2ν3 OH) и валентными колебаниями B–OH групп (ν(BIII–OH)), где бор находится в тройной координации [29, 52, 54]. Полосы при 6855–6837 см–1 (~ 1459–1463 нм), наблюдаемые у всех КМ при 50 °С, а также у КМ 2Cu/Y и КМ Cu/2Y (Тт.о. = 650 °С), следует отнести к поглощению гидроксильных групп 2ν(OH) и сочетанию деформационных и валентных колебаний воды (δ + ν) H2O [29, 49]. У высушенных образцов КМ при 50 °С (вне зависимости от состава) обнаружены слабые полосы при 5608– 5583 см–1 (~ 1783–1791 нм), которые, скорее всего, соответствуют сочетанию деформационных и валентных колебаний воды (δ + ν) H2O [29]. Появление дополнительных полос при 5080–5034 см–1 (~ 1969–1987 нм), которые в виде перегибов на кривых обнаружены у всех КМ при Тт.о. = 800 и 870 °С (вне зависимости от состава), может быть приписано молекулам воды, координационно связанным с примесными атомами бора, и сочетанию валентных и деформационных колебаний воды (δ + ν) H2O [29, 54]. Для КМ при 870 °С (вне зависимости от состава) характерно наличие полос при 4670–4663 см–1 (~ 2141–2145 нм), которые, возможно, обусловлены сочетанием валентных колебаний гидроксильных групп и Si–O–Si связей (ν(OH) + ν3(Si–O–Si)), а также колебаниями B–OH групп, где бор находится в тройной координации ν(BIII–OH) [49, 55, 56]. В результате тепловой обработки КМ при 650–870 °С (вне зависимости от состава) появляются дополнительные узкие полосы поглощения в низкочастотной области при 4537–4525 см–1 (~ 2204–2210 нм), которые можно связать с сочетанием валентных колебаний OH групп и деформационных колебаний Si–OH групп (ν(OH) + δ(Si–OH)), а также с валентными колебаниями Na–OH групп ν(Na–OH) [29, 49, 50, 57]. Полосы поглощения при 4425–4421 см–1 (~ 2260–2262 нм), которые видны у высушенных КМ при 50 °С (вне зависимости от состава), а также слабый перегиб на кривой при 4445 см–1 (~ 2250 нм) у КМ Cu/Y (при 870 °С) следует отнести к сочетанию валентных колебаний OH групп и деформационных колебаний Si–OH групп (ν(OH) + δ(Si–OH)) [49]. Перегибы на кривых при 4187–4182 см–1 (~ 2388–2391 нм), которые появляются только у КМ, подвергнутых тепловой обработке при 870°С, возможно, обусловлены валентными колебаниями OH групп (ν(OH)) [55].
Следует отметить, что на появление дополнительных полос поглощения и изменения их положения в области частот 11000–4000 см–1 больше влияет режим тепловой обработки КМ, чем их состав.
Все обнаруженные у композитов ИК полосы с их отнесением сведены в табл. 4.
Таблица 4. Положение полос поглощения (в диапазоне 11000–9000 см–1), обнаруженных у композиционных материалов, и их отнесение
Полосы, см–1 | Отнесение |
10761–10756 (сл) | Колебания 3ν(OHСВ) и Cu2+ ионов (электронный переход 2B2g → 2B1g) |
8679 (сл) | Колебания 2ν3 OH групп + 2ν1 SiO4 тетраэров |
8137–8131 (сл) | Колебания 2ν3 OH групп + ν1 SiO4 тетраэров, Cu2+ ионов (электронный переход 2A1g → 2B1g) |
7456–7419 (сл) | Колебания 2ν3 OH групп |
7336–7318 (С, сл) | Колебания ν(Si–OH) и 2ν(OH) |
7244–7214 (сл) | Колебания 2ν3 OH групп и ν(BIII–OH) групп |
7187–7087 (С, сл) | Колебания ν(Si–OH) и 2ν(OH) |
6855–6837 (сл) | Колебания 2ν(OH) групп и (δ + ν) H2O |
5608–5583 (сл) | Колебания (δ + ν) H2O |
5285–5243 (С) | Колебания (δ + ν) H2O и (δ + ν) OH |
5080–5034 (сл) | Колебания (δ + ν) H2O и молекул воды, координационно связанных с примесными атомами бора |
4670–4663 (сл) | Колебания ν(OH) + ν3(Si–O–Si), ν(BIII–OH) групп |
4537–4525 (С) | Колебания ν(OH) + δ(Si–OH)) групп, ν(Na–OH) групп |
4445, 4425–4421 (С) | Колебания ν(OH) + δ(Si–OH) групп |
4187–4182 (сл) | Колебания ν(OH) |
Примечание. Условные обозначения качественных характеристик полос: С – сильная, сл – слабая.
На рис. 8 представлены спектры оптической плотности КМ в зависимости от их состава и режима тепловой обработки в спектральном диапазоне 270–1000 нм. Данные для КМ Cu/Y (Тт.о. = 650 °С) в диапазоне 380–900 нм опубликованы в [28].
Рис. 8. Спектры оптической плотности КМ в зависимости от их состава: (а) Cu/Y, (б) 2Cu/Y, (в) Cu/2Y и режима тепловой обработки: 1 – 50, 2 – 650, 3 – 800, 4 – 870 °С.
Для всех синтезированных КМ вне зависимости от их состава и режима тепловой обработки видны широкие полосы поглощения с максимумами при 745–799 нм. Следует отметить, что с повышением температуры тепловой обработки КМ возрастает интенсивность указанных полос поглощения. Этого не наблюдается у КМ Cu/Y и 2Cu/Y при Тт.о. = 870 °С по сравнению с тепловой обработкой при 800 °С, что может быть связано с большей концентрацией меди в образцах. Помимо этого, температура тепловой обработки КМ в ряду (50 → 650 → 800 → 870 °С) оказывает влияние на смещение максимума полосы поглощения: для КМ Cu/Y с повышением температуры в указанном ряду максимум смещается следующим образом: 790 → 767 → 776 → 769 нм, для КМ 2Cu/Y: 792 → 769 → 745 → 774 нм, для КМ Cu/2Y: 799 → 785 → 755 → 783 нм.
Для КМ Cu/Y (вне зависимости от режима тепловой обработки) обнаружен край широкой полосы поглощения в УФ диапазоне спектра при 270–320 нм, интенсивность которой снижается с повышением Тт.о., за исключением 800 °С. У КМ Cu/Y при Тт.о. = 650 °С виден слабый максимум при 282 нм, а при 800 °С – при 307 нм. Помимо этого, для КМ Cu/Y при Тт.о. = 650 °С обнаружены дополнительные УФ полосы поглощения при 342 и 354 нм, а при дальнейшем повышении Тт.о. = 800 °С и 870 °С видны полосы с максимумами при 341, 363, 376 нм и 343, 357, 367 нм соответственно.
На спектрах КМ 2Cu/Y (вне зависимости от режима тепловой обработки) также обнаружен край широкой полосы поглощения в УФ диапазоне спектра при 270–320 нм, интенсивность которой изменяется с ростом температуры тепловой обработки. Видны слабо выраженные максимумы при 289 и 308 нм (при Тт.о. = 800 °С), а также при 283 и 308 нм (при Тт.о. = 870 °С). Помимо этого, для КМ 2Cu/Y установлены дополнительные УФ полосы поглощения при 341, 355 нм (при 650 °С); при 341, 363, 376 нм (при 800 °С) и при 340, 356, 363 нм (при 870 °С).
На спектрах КМ Cu/2Y (вне зависимости от режима тепловой обработки) также обнаружен край широкой полосы поглощения в УФ диапазоне спектра при 270–320 нм, интенсивность которой изменяется с ростом температуры тепловой обработки. Видны слабые максимумы при 284 нм (при Тт.о. = 650 °С), при 313 нм (при Тт.о. = 800 °С), при 283 и 313 нм (при Тт.о. = 870 °С). При Тт.о. = 870 °С обнаружены дополнительные УФ полосы поглощения при 340 и 355 нм. В видимом диапазоне спектра видна слабая полоса при 398 нм у высушенных КМ Cu/2Y.
Перейдем к описанию обнаруженных полос поглощения.
Полосы с максимумами при 745–799 нм (~ 13 423–12 516 см–1) следует связывать с Cu2+ ионами (электронный переход 2Eg → 2B1g) [53, 58]. Полосы в УФ диапазоне спектра (широкая полоса при 270–320 нм, включая слабые максимумы при 282, 283, 284, 289, 307, 308, 313 нм) могут быть обусловлены переносом заряда , а также присутствием Y2O3 [59, 60]. Дополнительные УФ полосы поглощения при 340–376 нм и слабая полоса при 398 нм, скорее всего, связаны с присутствием наночастиц CuO и переносом заряда «лиганд – металл» (LMCT) между изолированным ионом Cu2+ и поверхностным кислородом ( ) [43].
На рис. 9 представлены спектры люминесценции в диапазоне 210–900 нм (при λвозб = 200 нм) образцов КМ Cu/Y, 2Cu/Y, Cu/2Y (на примере тепловой обработки при 870 °С).
Рис. 9. Спектры люминесценции КМ (при λвозб = 200 нм), термообработанных при 870 °С, в зависимости от их состава: (а) Cu/Y, (б) 2Cu/Y, (в) Cu/2Y.
Обнаружена серия узких полос УФ-люминесценции в области 210–300 нм с основными максимумами при λлюм = 227–250 нм, которая, возможно, связана с кремниевыми кислородно-дефицитными центрами SiODC (электронный переход ) [61, 62]. Сине-зеленая люминесценция в области 410–560 нм с серией узких линий с главными максимумами при λлюм = 493–516 нм, скорее всего, относится к F центрам и к радикалам в Y2O3, к дефектам и кислородным вакансиям в CuO, к Cu2+ ионам, к =Si0 центрами (электронный переход ), к нейтральными вакансиями кислорода O3≡Si–Si≡O3 (the neutral oxygen vacancy, NOV), к E’ центрам (O3≡Si·) [18, 27, 61, 63–68]. Полосы ИК-люминесценции в области 830–900 нм с главными максимумами при λлюм = 847–885 нм, следует приписать радикалам в оксиде иттрия, а также с немостиковыми кислородными дефектами в кремнеземной марице (nonbridging oxygen defects, NBO) [65, 69].
Следует отметить, что восстановления Cu2+ до Cu+ ионов (CuO → Cu2O) в КМ, скорее всего, не происходит, поскольку для этого необходимы более высокие температуры тепловой обработки КМ (выше 1000 °С) [70, 71].
Видно, что с повышением концентрации иттрия в КМ наблюдается увеличение интенсивности УФ-люминесценции (210–300 нм) и ИК-люминесценции (830–900 нм), а интенсивность сине-зеленой люминесценции (410–560 нм) остается неизменной.
Заключение
В работе синтезированы композиционные материалы на основе матриц из пористых стекол, активированных ионами меди и иттрия.
Проведено исследование спектральных свойств синтезированных стекломатериалов в зависимости от их состава (Cu/Y, 2Cu/Y, Cu/2Y) и температуры тепловой обработки Тт.о. в интервале 50–870 °С.
Обнаружено, что синтезированные композиты, соактивированные Cu2+ и Y3+, обладают фотолюминесценцией в широком спектральном диапазоне (210–900 нм), благодаря чему представляют собой новые перспективные стеклообразные фотолюминофоры.
Установлено, что с увеличением концентрации иттрия в синтезированных композитах при Тт.о. = 870 °C интенсивность ультрафиолетовой (210–300 нм) и инфракрасной люминесценции (830–900 нм) увеличивается.
Благодарность
Авторы признательны А. В. Антонову (Всероссийский научно-исследовательский геологический институт им. А.П. Карпинского, Санкт-Петербург) за исследования композиционных материалов методом энергодисперсионной рентгеновской спектроскопии.
Финансирование работы
Работа выполнена в рамках государственного задания ИХС РАН (Государственная регистрация № 1021050501068-5-1.4.3 (проект FFEM-2022-0004) и № 1023032900385-8-1.4.3 (Тематика 3: «Физико-химия и технология ликвирующих щелочноборосиликатных стекол, легированных переходными металлами, и новых полифункциональнальных пористых и нанокомпозитных стекломатериалов на их основе»)).
Конфликт интересов
Авторы заявляют, что у них нет конфликта интересов.
Авторлар туралы
М. Гирсова
Институт химии силикатов имени И. В. Гребенщикова РАН
Хат алмасуға жауапты Автор.
Email: girsovama@yandex.ru
Ресей, Санкт-Петербург
Г. Головина
Институт химии силикатов имени И. В. Гребенщикова РАН
Email: girsovama@yandex.ru
Ресей, Санкт-Петербург
И. Анфимова
Институт химии силикатов имени И. В. Гребенщикова РАН
Email: girsovama@yandex.ru
Ресей, Санкт-Петербург
Л. Куриленко
Институт химии силикатов имени И. В. Гребенщикова РАН
Email: girsovama@yandex.ru
Ресей, Санкт-Петербург
Т. Антропова
Институт химии силикатов имени И. В. Гребенщикова РАН
Email: girsovama@yandex.ru
Ресей, Санкт-Петербург
Әдебиет тізімі
Қосымша файлдар











