Вязкоупругость расплавов Me2O–B2O3 (Me = Li, Na, K, Cs)
- Authors: Хохряков А.А.1, Самойлова М.А.1, Рябов В.В.1
-
Affiliations:
- Институт металлургии УрО РАН
- Issue: Vol 50, No 6 (2024)
- Pages: 510-521
- Section: Articles
- URL: https://bakhtiniada.ru/0132-6651/article/view/284553
- DOI: https://doi.org/10.31857/S0132665124060033
- EDN: https://elibrary.ru/DWTBCH
- ID: 284553
Cite item
Full Text
Abstract
Методом вибрационной вискозиметрии измерены вязкоупругие характеристики щелочноборатных расплавов при Т = 1173 K в интервале концентраций 0–56 мол. % Me2O на частоте 32 Гц. Получены значения динамической вязкости, модулей сдвига, тангенса угла механических потерь и времена релаксации. Показано экстремальное поведение вязкоупругих характеристик расплава в зависимости от состава расплава. Положения экстремумов коррелируют с существованием в борокислородной сетке расплавов определенных надструктурных единиц. Предположено, что низкочастотная вязкоупругая релаксация расплавов проходит посредством диффузионного обмена возбужденными атомами кластеров, состоящими из надструктурных единиц расплава и «фоновыми» некольцевыми группами расплавов. Из-за большого времени жизни кластеры не успевают реагировать на внешние возмущения, вследствие этого расплавы проявляют упругие свойства.
Full Text
ВВЕДЕНИЕ
Щелочноборатные расплавы составляют основу многих шлаков, стекол и эмалей. Изучение вязкоупругих свойств этих систем при повышенных температурах представляет большой интерес. Вязкоупругие характеристики боратных расплавов влияют на кинетику химических реакций, процессы тепло- и массообменна, скорость установления фазовых равновесий и кинетику кристаллизации расплава. В научной литературе имеется немного работ по сдвиговой вязкости щелочноборатных расплавов [1–17]. Концентрационные интервалы измерений вязкости крайне неоднородны и получены только до Т ~ 1473 K. Большинство работ посвящено исследованию вязкости натрийборатных расплавов [1–6]. Вязкость щелочноборатных расплавов во всех проведенных экспериментах измерена в равновесных условиях при постоянной скорости сдвига.
Цель настоящей работы – изучить вязкоупругие свойства щелочноборатных расплавов в условиях периодических измерений скорости сдвига, в концентрационном интервале 0 ≤ x ≤ 56 мол. % Me2O (Me = Li, Na, K, Cs) при T = 1173 K, и сравнить ее со сдвиговой вязкостью, полученной при постоянной скорости сдвига.
ЭКСПЕРИМЕНТАЛЬНАЯ ЧАСТЬ
Боратные смеси готовили из предварительно переплавленного порошка оксида бора B2O3 и карбоната соответствующего щелочного металла Me2CO3 (Me = Li, Na, K, Cs). Затем стеклообразный B2O3 нагревали в платиновом контейнере до 1273 K и добавляли карбонат щелочного металла. Расплав выдерживали при Т = 1273 K в течение 40 мин и проводили измерения. Вязкоупругие характеристики расплава измерены вибрационным методом [18] на вискозиметре, работающем в режиме вынужденных колебаний с частотой 32 Гц [19] с точностью ±5%. В цезийборатных распалавах был использован более мелкий концентрационный шаг изменения вязкости, по сравнению с другими щелочноборатными расплавами. Это было связано с очень небольшой концентрационной областью изменения вязкоупругих характеристик, доступных для используемого метода измерений.
ОБСУЖДЕНИЕ РЕЗУЛЬТАТОВ
Удобным параметром для оценки полей вязкого течения является число Рейнольдса. Оно характеризует отношение силы инерции к силе вязкого трения. Числа Рейнольдса (Re) рассчитывали по формуле [20]
, (1)
где L – длина шпинделя (м) (часть стрежня, погруженного в расплав), V – средняя скорость движения шпинделя (м/с), η' – динамическая вязкость расплава (Па · с), ρ – плотность расплава (кг/м3) [21, 22].
Из рис. 1 видно, что числа Рейнольдса имеют низкие значения для всех изученных расплавов. Это означает, что в расплавах не возникают неустойчивости, которые могли бы привести к отклонению вязкости от ньютоновского течения. Резкое изменение вязкости, измеренной вибрационным методом, по отношению к сдвиговой вязкости η (табл. 1, 2) связано с проявлением упругих свойств расплава, когда вязкость начинает зависеть от скорости деформации расплава. В этом случае энергия осцилляций не только расходуется на динамическую вязкость (η'), но и накапливается в виде добавочной компоненты – мнимой (накопительной) вязкости (η''), связанной с модулем упругости борокислородной сетки расплава (G' / ω) [23]. Комплексную вязкость можно представить следующим отношением (2):
Рис. 1. Корреляция вязкости расплавов Me2O–B2O3 (Me = Li, Na, K, Cs) с числами Re.
Числа на правом верхнем графике – концентрации щелочного оксида (мол. %); на остальных графиках в квадратных скобках указаны соответствующие литературные источники.
Таблица 1. Вязкоупругие характеристики расплавов Li2O–B2O3 и Na2O–B2O3 при Т = 900–1600K
мол. % Li2O | η, Па · с [4] | η', Па · с | G', Па | η*, Па · с | tgδ | τi, с |
0 | 11.40 | 12.3 | 1222.0 | 40.1 | 0.32 | 0.10 |
4.5 | 3.09 | 7.7 | 940.2 | 30.4 | 0.26 | 0.12 |
6.7 | 2.27 | 3.4 | 611.3 | 19.4 | 0.18 | 0.18 |
8.8 | 1.46 | 6.3 | 828.3 | 26.6 | 0.24 | 0.13 |
10.9 | 0.97 | 1.7 | 428.0 | 13.5 | 0.13 | 0.25 |
14.9 | 0.94 | 2.4 | 503.6 | 15.9 | 0.16 | 0.20 |
16.8 | 0.80 | 5.2 | 721.5 | 23.1 | 0.23 | 0.14 |
18.2 | 0.66 | 2.7 | 515.8 | 16.3 | 0.17 | 0.19 |
20.6 | 0.53 | 1.4 | 373.9 | 11.8 | 0.12 | 0.25 |
24.1 | 0.46 | 1.3 | 349.5 | 11.0 | 0.12 | 0.27 |
29.1 | 0.36 | 0.6 | 234.6 | 7.4 | 0.08 | 0.39 |
35.34 | 0.26 | 0.5 | 225.9 | 7.1 | 0.08 | 0.41 |
39.8 | 0.20 | 0.5 | 225.9 | 7.1 | 0.08 | 0.41 |
43.7 | 0.15 | 0.4 | 208.2 | 6.5 | 0.07 | 0.45 |
55.6 | 0.10 | 0.1 | 112.5 | 3.5 | 0.03 | 0.91 |
1.1 | 5.75 | 10.8 | 1127.1 | 36.8 | 0.31 | 0.10 |
3.4 | 3.03 | 9.2 | 1027.6 | 33.4 | 0.29 | 0.11 |
4.5 | 2.31 | 7.3 | 899.9 | 29.0 | 0.26 | 0.12 |
5.6 | 1.58 | 7.6 | 913.6 | 29.5 | 0.26 | 0.12 |
6.7 | 1.44 | 8.7 | 971.2 | 31.6 | 0.29 | 0.11 |
8.9 | 1.30 | 3.4 | 600.7 | 19.1 | 0.18 | 0.17 |
9.7 | 1.34 | 1.8 | 434.4 | 13.7 | 0.13 | 0.23 |
11.1 | 1.38 | 1.9 | 444.9 | 14.0 | 0.14 | 0.22 |
13.3 | 1.33 | 3.4 | 582.2 | 18.5 | 0.19 | 0.17 |
15.4 | 1.27 | 6.2 | 776.8 | 25.1 | 0.26 | 0.12 |
17.7 | 1.07 | 5.1 | 698.9 | 22.4 | 0.23 | 0.13 |
20.9 | 0.86 | 5.4 | 711.8 | 22.9 | 0.24 | 0.13 |
24.2 | 0.42 | 1.0 | 303.6 | 9.5 | 0.11 | 0.29 |
28.3 | 0.31 | 3.7 | 574.4 | 18.3 | 0.20 | 0.15 |
32.5 | 0.21 | 0.2 | 146.5 | 4.6 | 0.05 | 0.60 |
37.7 | 0.10 | 0.1 | 104.2 | 3.3 | 0.04 | 0.85 |
Таблица 2. Вязкоупругие характеристики расплавов K2O–B2O3 и Cs2O–B2O3 при Т = 900–1600K
мол. % K2O | η, Па · с [4] | η', Па · с | G', Па | η*, Па · с | tgδ | τi, с |
0.0 | 11.4 | 12.3 | 40.5 | 1234.8 | 0.32 | 0.10 |
0.7 | 3.7 | 12.4 | 39.9 | 1214.5 | 0.33 | 0.10 |
1.5 | 1.4 | 6.9 | 29.1 | 904.9 | 0.25 | 0.13 |
2.2 | 1.1 | 11.6 | 38.2 | 1163.1 | 0.32 | 0.10 |
3.0 | 0.7 | 5.1 | 24.5 | 766.8 | 0.21 | 0.15 |
3.7 | 0.5 | 4.0 | 21.5 | 674.9 | 0.19 | 0.16 |
4.5 | 0.4 | 6.3 | 26.5 | 824.1 | 0.24 | 0.13 |
5.3 | 1.4 | 3.6 | 19.7 | 620.0 | 0.18 | 0.17 |
6.0 | 1.5 | 6.1 | 26.1 | 811.3 | 0.24 | 0.13 |
7.6 | 1.6 | 5.5 | 24.6 | 767.6 | 0.23 | 0.14 |
10.7 | 1.5 | 5.5 | 24.2 | 753.8 | 0.24 | 0.13 |
14.8 | 1.0 | 1.9 | 13.7 | 433.6 | 0.14 | 0.22 |
17.2 | 0.9 | 4.0 | 19.9 | 625.0 | 0.21 | 0.15 |
24.1 | 0.4 | 2.1 | 13.9 | 440.7 | 0.15 | 0.21 |
28.5 | 0.2 | 2.1 | 13.8 | 437.5 | 0.15 | 0.21 |
0.3 | 12.6 | 9.5 | 35.3 | 1086.7 | 0.28 | 0.11 |
0.8 | 12.4 | 11.2 | 37.3 | 1138.2 | 0.31 | 0.10 |
1.0 | 11.2 | 12.2 | 38.9 | 1183.7 | 0.33 | 0.10 |
1.3 | 6.3 | 8.3 | 31.5 | 972.8 | 0.27 | 0.11 |
1.6 | 5.7 | 8.7 | 32.2 | 992.9 | 0.28 | 0.11 |
1.8 | 5.6 | 6.8 | 28.2 | 874.9 | 0.25 | 0.13 |
2.1 | 5.5 | 6.1 | 26.4 | 820.8 | 0.24 | 0.13 |
2.7 | 5.7 | 3.3 | 19.2 | 604.1 | 0.18 | 0.18 |
3.3 | 6.3 | 7.7 | 29.3 | 905.0 | 0.27 | 0.11 |
3.9 | 6.4 | 2.0 | 14.3 | 453.6 | 0.14 | 0.22 |
5.5 | 6.0 | 1.9 | 13.8 | 437.4 | 0.14 | 0.22 |
6.5 | 5.9 | 5.5 | 23.4 | 729.3 | 0.24 | 0.13 |
7.6 | 5.6 | 4.2 | 20.3 | 633.7 | 0.21 | 0.15 |
9.6 | 3.2 | 5.4 | 22.3 | 693.4 | 0.25 | 0.13 |
11.7 | 1.2 | 5.0 | 20.8 | 645.2 | 0.25 | 0.13 |
15.2 | 0.8 | 2.1 | 12.8 | 404.3 | 0.16 | 0.19 |
, (2)
а модуль комплексного коэффициента вязкости можно вычислить по формуле
. (3)
Здесь η' (ω) – динамическая вязкость, которая совпадает по фазе со скоростью сдвига и связана с диссипацией энергии в тепло, η'' (ω) – компонента, связанная с упругостью среды, G' – модуль упругости, совпадающий по фазе с деформацией и отвечающий накоплению упругой энергии при периодическом деформировании расплава.
Экспериментально на вибрационном вискозиметре регистрируется динамическая вязкость – η'(ω). Накопительная вязкость η'' = G'/ω вычислена с помощью математической модели, предложенной в работе [24]. Эта модель рассматривает колебания расплава, совершаемые в направлении, перпендикулярном оси осциллирующего стержня, под действием периодической вынуждающей силы. Формула расчета модуля упругости G' имеет следующий вид:
, (4)
где ρ0 – плотность материала шпинделя (платина), ρ – плотность расплава, R – радиус стержня (шпинделя), ω – частота колебаний шпинделя, η' – динамическая вязкость.
Экспериментальные данные по сдвиговой η и динамической вязкости η', а также вычисленные значения вязкоупругих характеристик G', η*, tgδ и τi расплавов Me2O–B2O3 (Me = Li, Na, K, Cs) представлены в табл. 1, 2.
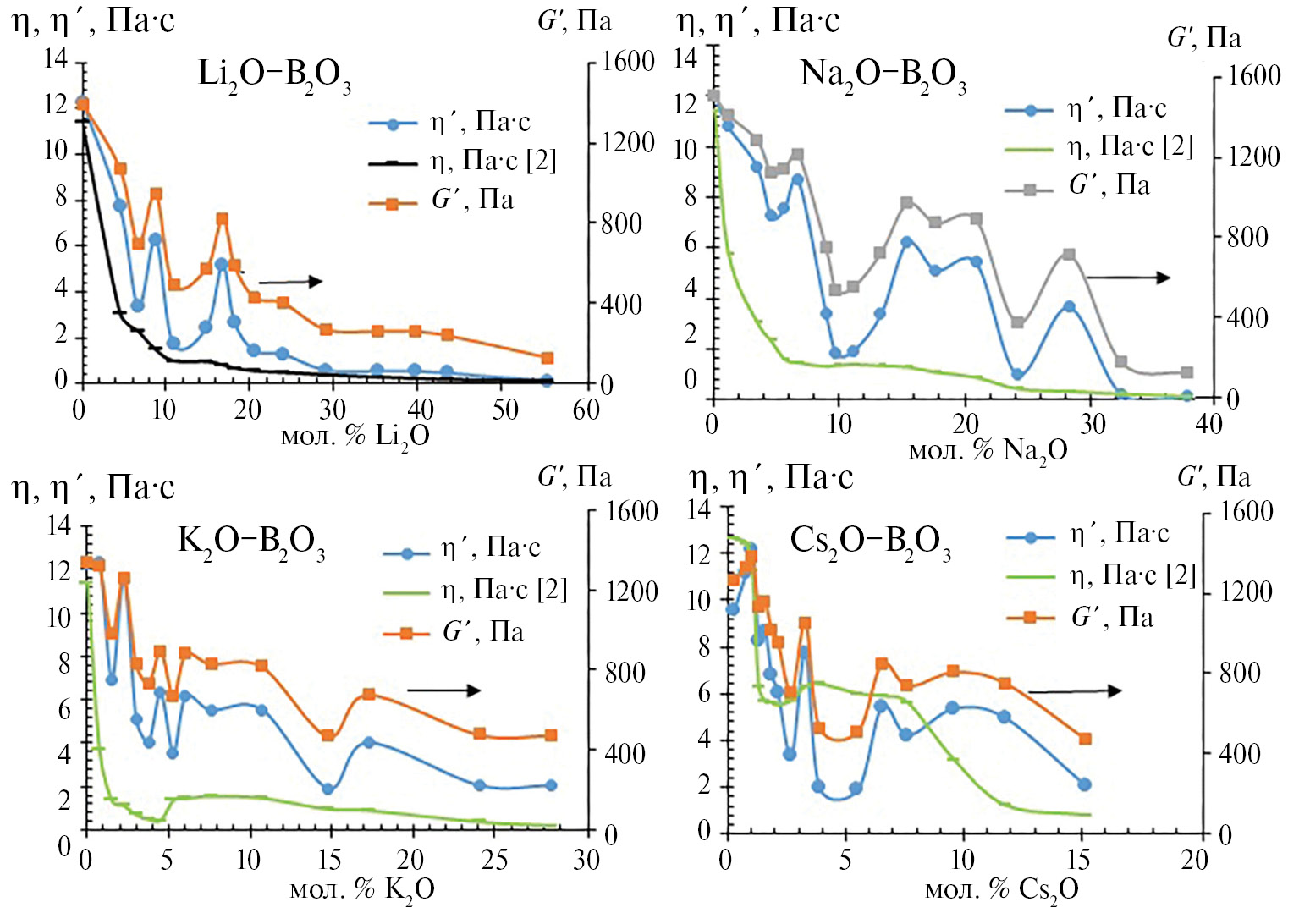
Рассмотрим характеристики сдвиговой вязкости η в зависимости от состава расплава (рис. 2, табл. 1, 2). Из рис. 2 видно, что первый минимум сдвиговой вязкости у литий- и натрийборатных расплавов наблюдается в области ~10 мол. % Me2O, тогда как у калий- и цезийборатных расплавов – в области ~ 3 мол. % Me2O. Предполагается, что в этом низкоконцентрационном интервале в щелочноборатных расплавах происходит образование полиэдров BO4, которые входят в состав некольцевых полиборатных групп (НК). Это приводит к «разрыхлению» борокислородной сетки расплава. Следствием этого разрыхления является снижение сдвиговой вязкости расплава. Максимальные значения сдвиговой вязкости в ряду расплавов LiB → NaB → KB → CsB приходятся соответственно на следующие концентрационные интервалы: 6–20, 6–15, 4–10, 2–8 мол. % Me2O (Me = Li, Na, K, Cs). За пределами этих интервалов снижение вязкости вызвано распадом борокислородной сетки расплава вплоть до образования базовых тригональных групп. Постепенный характер изменения сдвиговой вязкости в отмеченных выше интервалах связан с изменением структуры ближнего порядка, при котором происходят конфигурационные изменения и переключения атомов кислорода мостиковых связей. Как известно, с увеличением концентрации оксида щелочного металла в щелочноборатных расплавах образуется следующий ряд надструктурных единиц [25, 26]:
Рис. 2. Зависимости динамической вязкости (η'), сдвиговой вязкости (η) и модуля упругости (G') от состава расплавов x Me2O–B2O3 (Me = Li, Na, K, Cs).
, (5)
(три- → пента- → тетра- → диборатные группы), в которых энергия переключения мостиковых связей кислорода не сильно отличается друг от друга. Это приводит к монотонной зависимости сдвиговой вязкости от состава (рис. 2, табл. 1, 2). Необходимо отметить, что динамическая вязкость η' отличается от сдвиговой вязкости η. Это связано с тем, что изменение скорости деформации приводит к проявлению у расплавов упругих свойств.
Периодический сдвиговый процесс может быть описан двумя компонентами: динамической вязкостью (η') и модулем сдвига (G'). На графиках зависимости η' и G' от состава наблюдаются экстремальные значения этих величин. Предположено, что эти значения коррелируют с присутствием в борокислородной сетке кольцевых полиборатных групп, соответствующих приведенному выше ряду (5). Концентрационные границы динамической вязкости имеют выраженный характер и имеют следующие значения, отвечающие ряду (5) (в мол. %), соответственно, для литий-, натрий-, калий- и цезийборатных расплавов: 6–30, 10–32, 5–25, 3–15. Отнесение сделано на основе данных КР-спектроскопии [25]. При низкочастотной деформации вязкоупругие свойства борокислородной сетки проявляются в виде ряда экстремальных характеристик, располагающихся выше, чем сдвиговая вязкость (см. рис. 2 и 3). Отметим, что число Деборы (DN), которое определяется как отношение времени релаксации к времени наблюдения (больше 1). Это значит, что расплав можно рассматривать как твердое тело. Значения динамической вязкости и модуля упругости при одинаковых типах химической связи зависят от размера надструктурных единиц расплава. Чем больше число связей В–О–В в группировке, тем больше параметры вязкоупругих свойств этих групп.
Рис. 3. Зависимости тангенса угла механических потерь и времени релаксации от состава расплава x Me2O–B2O3 (Me = Li, Na, K, Cs).
Выделяются две особенности вязкоупругих свойств щелочноборатных расплавов, связанных с природой катиона щелочного металла. Первая состоит в том, что, как предполагается, в первой области образуются некольцевые группы, состоящие преимущественно из базовых единиц BO3 и тетраэдров BO4, которым отвечает различное число пиков на зависимости η' и G' от состава. Так в расплавах LiB и NaB наблюдается только один пик, а в KB и CsB – два. Это различие можно объяснить следующим образом: взаимодействие катионов щелочного металла с полиэдром BO4 зависит от ионного потенциала (q / r), где q – заряд катиона, r – радиус. В ряду расплавов LiB → NaB → KB → CsB снижение ионного потенциала уменьшает взаимодействие с некольцевыми группами. Это приводит к увеличению вязкоупругих параметров сетки расплава. Дополнительный пик, который наблюдается на зависимостях η' и G' от состава в расплавах KB и CsB связан с гидролизом этих систем. Это значит, что часть некольцевых групп содержат оксигидратные группы. Вторая особенность вязкоупругих свойств расплава связана с размерами катионов. Крупные катионы, такие как калий и цезий, с трудом входят в борокислородную сетку расплава. Число доступных позиций, которые могут занять эти катионы, ограничено. В расплавах KB и CsB это приводит к разрушению мостиковых кислородных связей и появлению немостиковых кислородов [27]. В результате граница образования полиборатных групп, отвечающих ряду (5), смещается в область более низких концентраций по оксиду щелочного металла.
С целью более детальной оценки влияния природы щелочного металла на свойства боратных расплавов удобно рассмотреть зависимость только экстремальных значений вязкоупругих характеристик от координационных чисел катионов и их эффективных зарядов (q*). Эффективный заряд катиона определяет степень ионности связей Me–O, его значения получены на основе данных интегральных полос ИК-спектров щелочноборатных систем [28] и приведены в табл. 3.
Таблица 3. Эффективные заряды и координационные числа щелочноборатных расплавов Ме2O–B2O3 (Me = Li, Na, K, Cs)
Me+ | мол. % Me2O | q* | КЧ | η', Па · с | G', Па | tgδ | τi ,с |
Li+ | 8.8 | 0.6 | 4 | 6.3 | 828.3 | 0.24 | 0.13 |
16.8 | 5.2 | 721.5 | 0.23 | 0.14 | |||
24.1 | 1.3 | 351.9 | 0.12 | 0.27 | |||
Na+ | 6.7 | 0.7 | 6 8 | 8.7 | 971.2 | 0.29 | 0.11 |
15.4 | 6.2 | 776.8 | 0.26 | 0.12 | |||
20.9 | 5.4 | 711.8 | 0.24 | 0.13 | |||
28.3 | 3.7 | 574.4 | 0.2 | 0.15 | |||
K+ | 2.2 | 0.84 | 8 10 | 11.6 | 1163.1 | 0.32 | 0.10 |
4.5 | 6.3 | 824.1 | 0.24 | 0.13 | |||
6.04 | 6.1 | 811.3 | 0.24 | 0.13 | |||
10.7 | 5.5 | 753.8 | 0.24 | 0.13 | |||
17.2 | 4.0 | 625.0 | 0.21 | 0.15 | |||
Cs+ | 1.02 | 1.1 | 10 12 | 12.2 | 1183.7 | 0.33 | 0.10 |
3.3 | 7.7 | 905.0 | 0.27 | 0.11 | |||
6.5 | 5.4 | 729.3 | 0.24 | 0.13 | |||
9.6 | 5.4 | 693.4 | 0.25 | 0.13 |
Экстремальные значения динамической вязкости (η') и модуля упругости (G') отвечают максимальной концентрации групп ряда (5) на шкале концентраций. Эти группы формируют кластеры, в состав которых входят и катионы щелочных металлов. Зависимость экстремальных значений динамической вязкости и модуля упругости щелочноборатных расплавов от эффективного заряда катиона представлена на рис. 4.
Рис. 4. Зависимость динамической вязкости и модуля упругости щелочноборатных расплавов от эффективного заряда катиона. В скобках указаны концентрации щелочных оксидов (мол. %), при которых получены значения динамической вязкости и модуля упругости.
Стоит отметить, что высокая поляризуемость иона цезия вносит дополнительный вклад в дипольный момент, в результате вычисленный эффективный заряд иона цезия становится больше. Из табл. 3 видно, что значения экстремальных характеристик η' и G', связанных с надструктурными единицами расплава, смещаются а область более низких концентраций, при этом происходит увеличение этих параметров в парах LiB → NaB и KB → CsB. Из табл. 3 также видно, что более крупные катионы связаны с большим числом кислородных атомов. Это блокирует конфигурационные перестройки, необходимые для переключения мостиковых связей. Вследствие этого экстремальные значения параметров η' и G' начинают формироваться при более низких концентрациях оксидов щелочных металлов.
Необходимо отметить, что в расплавах KB → CsB наблюдается снижение η' и G' в области ~10 мол. % Me2O (рис. 2) Из данных КР-спектроскопии [29] известно, что при этих составах в расплаве CsB появляются немостиковые кислороды, которые снижают связность сетки расплавов. Это приводит к снижению вязкоупругих параметров расплава CsB по отношению к KB. В расплаве NaB немостиковый кислород в заметных количествах появляется при концентрации ~20 мол. % Me2O. Поэтому снижения параметров η' и G' в приведенном концентрационном интервале (0–20 мол. %) у расплавов LiB и NaB не наблюдается.
Кроме η' и G' особенности вязкоупругих свойств характеризуют следующие два параметра: тангенс угла механических потерь (tg δ) и период релаксации системы от неравновесного состояния к равновесному (τi). Чем больше тангенс угла механических потерь, тем меньше время релаксации (табл. 1, 2 и рис. 3). Тангенс угла механических потерь рассчитывали по формуле
. (6)
Период релаксации обычно приравнивают к времени оседлой жизни структурных единиц. Большее время релаксации указывает на большую группу взаимодействующих атомов, обладающих значительной сдвиговой упругостью. Время релаксации рассчитывалось, с учетом частоты эксперимента, следующим образом:
. (7)
Как известно, период релаксации τi определяет время жизни отдельных частиц. По данным молекулярной динамики щелочноборатных расплавов [30], время оседлого существования отдельных атомов оценивается как 10–11 с. Период низкочастотной вязкоупругой релаксации щелочноборатных расплавов составляет доли секунды. Это указывает на образование в расплавах крупных кольцевых групп, образующих динамические кластеры с большим временем жизни. Это позволяет заключить, что вязкоупругая релаксация в расплавах проходит посредством диффузионно-колебательного обмена возбужденных атомов кластера с некольцевыми группами расплава, представляющими неупорядоченную часть сетки расплава. Такое объяснение будет соответствовать модели сильновязкой жидкости, предложенной Исаковичем и Чабаном [31]. По этой модели жидкость рассматривается как микронеоднородная среда, состоящая из упорядоченных микрообластей – кластеров, расположенных в рыхло упакованной матрице. В нашем случае кластеры, собранные из кольцевых групп, представляют собой упорядоченные фрагменты борокислородной сетки, тогда как некольцевые группы, собранные из «свободных» BO4, тригональных единиц BO3, метаборатных единиц BØ2O–, пиро- и ортоборатных групп, являются неупорядоченными фрагментами сетки расплава. В результате диффузионный обмен происходит между упорядоченными и «неупорядоченными» компонентами расплава. Этот обмен происходит посредством более подвижных ионов щелочных металлов.
Стоит отметить, что в ряду расплавов LiB → NaB → KB → CsB тангенс угла потерь возрастает (tg δ) (табл. 3). Известно, что в этом ряду катион-модификатор взаимодействует с большим числом кислородных атомов – это является причиной увеличения размеров образующихся в системе кластеров, несмотря на то, что по данным КР-спектроскопии [25, 26, 29] концентрация полиэдров BO4 в этом ряду снижается.
ЗАКЛЮЧЕНИЕ
Получены результаты анализа динамических вязкоупругих характеристик щелочноборатных расплавов. Показано влияние природы катиона щелочного металла на вязкоупругие свойства расплавов. Установлено, что вязкоупругие характеристики (η', G', tg δ, τi) связаны с надструктурными единицами расплавов, которые образуют кластеры, в состав которых входят и ионы щелочных металлов. Найдено, что низкочастотная вязкоупругая релаксация составляет ~10–1 с. Релаксационный процесс объяснен диффузионным обменом возбужденных атомов между кластерами и «фоновыми» некольцевыми группами расплавов. Показано, что структурные единицы расплавов не успевают реагировать на внешние периодические возмущения, что приводит к появлению упругих свойств расплава.
ФИНАНСИРОВАНИЕ
Работа выполнена в рамках госзадания Института металлургии УрО РАН.
КОНФЛИКТ ИНТЕРЕСОВ
Авторы данной работы заявляют, что у них нет конфликта интересов.
About the authors
А. А. Хохряков
Институт металлургии УрО РАН
Author for correspondence.
Email: xoxryakov46@mail.ru
Russian Federation, 620016, Екатеринбург, ул. Амундсена, 101
М. А. Самойлова
Институт металлургии УрО РАН
Email: xoxryakov46@mail.ru
Russian Federation, 620016, Екатеринбург, ул. Амундсена, 101
В. В. Рябов
Институт металлургии УрО РАН
Email: xoxryakov46@mail.ru
Russian Federation, 620016, Екатеринбург, ул. Амундсена, 101
References
- Воларович М.П., Толстой Д.М. Исследование внутреннего трения двойной системы Na2B4O7–B2O3 в расплавленном состоянии // Изв. Акад. наук СССР. 1930. № 9. С. 897–906.
- Shartsis L., Capps S.W., Spinner S. Viscosity and Electrical Resitivity of Molten Alkali Borates // Journal of the American Ceramic Society. 1953. V. 36. № 10. P. 319–326.
- Li P.-Ch., Ghose A.C., Su G.-J. Viscosity Determination of Boron Oxide and Binary Borates // J. American Ceramic Society. 1962. V. 45. № 2. P. 83–88.
- Богданов В.Н., Михайлов И.Г., Немилов С.В. Изучение методом ультразвуковой спектроскопии и вискозиметрии структуры расплавленных стекол системы Na2O–B2O3 // Акустический журнал. 1974. Т. XX. № 4. С. 511–517.
- Tandon S., Agrawal R.D., Kapoor M.L. Viscosity of Molten Na2O–B2O3 Slags // J. American Ceramic Society. 1994. V. 77. № 4. P. 1032–1036.
- Kaiura G.H., Toguri J.M. The viscosity and structure of sodium borate melts // Physics and chemistry of glasses. 1976. V. 17. № 3. P. 62–69.
- Мусихин В.И., Кудряшов В.Н. Строение и свойства металлургических расплавов. Свердловск: Ин-т металлургии УНЦ АН СССР, 1974. Т. 28. С. 91–96.
- Liu H., Shen G., Wang X., Wei J.D. Viscosity and IR investigations in the Li2O–B2O3 system // Progress in Crystal Growth and Characterization of Materials. 2000. V. 40. P. 235–241.
- Ota R., Soga N., Yogyo-Kyokai-Shi. Viscosity of binary alkali borates // Journal of the Ceramic Society of Japan. 1983. V. 91. № 6. P. 265–271 (in Japanese).
- Nakashima K., Kawagoe T., Ookado T., Mori K. Viscosity of binary borate and ternary borosilicate Melts // Proceedings of the 5th Intern. Conf. on Molten Slags, Fluxes and Salts, Sydney, Australia, Jan. 5–8, 1997. Warrendale: Iron and Steel Society, 1997. P. 215–221.
- Воларович М.П., Фридман P.C. Исследование вязкости системы К2В407–В203 в расплавленном состоянии // ЖФХ. 1937. Т. 9. № 2. С. 177–181.
- Matusita K., Watanabe T., Kamiya K., Sakka S. Viscosities of Single and Mixed Alkali Borate Glasses // Phys. Chem Glasses. 1980. V. 21. P. 78–84.
- Brosh I.E., Pelton A.D., Decterov S.A. A model to calculate the viscosity of silicate melts Part V: Borosilicate melts containing alkali metals // Int. J. of Mat. Res. 2012. V. 103. № 5. P. 537–550.
- Coughanour L.W., Shartsis L., Shermer H.F. Viscosity, Density and Electrical Resistivity of Molten Alkaline-Earth Borate Glasses with 3 mol. % of Potassium Oxide // Journal of American Ceramic Society. 1958. V. 41. № 8. P. 324–329.
- Leedecke C.J., Clifton G.B. Viscous flow in binary borate melts // Matter Sci Res. 1978. V. 12. P. 413–426.
- Li P.C., Anil C.Gh., Su G.-J. Viscosity of molten rubidium and caesium borates // Phys. Chem. Glasses. 1960. V. 1. № 6. P. 202–203.
- Visser T.J.M., Stevels J.M. Rheological properties of boric oxide and alkali borate glasses // J. Non-Cryst. Solids. 1972. V. 7. P. 376–394.
- Соловьев А.Н., Каплун А.Б. Вибрационный метод измерения вязкости жидкостей. Новосибирск: Наука, 1970. 140 с.
- Штенгельмейер С.В., Прусов В.А., Бочегов В.А. Усовершенствование методики измерения вязкости вибрационным вискозиметром // Заводская лаборатория. 1985. Т. 51. № 9. С. 56–57.
- Бэтчелор Дж. Введение в динамику жидкостей / Пер. с англ. М.: Мир, 1973.
- Shartsis L., Capps W., Spinner S. Density and Expansivity of alkali borates and density characteristics of some other binary glasses // J. Am. Cer. Soc. 1953. V. 36. № 2. P. 35–43.
- Li P-C., Anil C.Gh., Su G.-J. Letters to the Editor - Density of molten boron oxide, rubidium and caesium borates // Phys. Chem. Glasses. 1960. V. 1. P. 198–200.
- Кирсанов. Е.А., Матвеенко В.Н. Неньютоновское течение дисперсных, полимерных и жидкокристаллических систем: Структурный подход. М.: Техносфера, 2016. 379 с.
- Демкин В.П., Мельничук С.В., Удути В.В., Тютрин И., Руденко Т.В., Криницына Д.Б. Определение вязкоупругих характеристик цельной крови на основе метода низкочастотной пьезотромбоэластографии // Известия высших учебных заведений. Физика. 2019. Т. 62. № 12. С. 55–62.
- Осипов А.А., Осипова Л.М., Быков В.Н. Спектроскопия и структура щелочноборатных стекол и расплавов. Екатеринбург–Миасс: УрО РАН, 2009. 174 с.
- Konijnendijk W.L., Stevels J.M. The structure of borate glasses studied by Raman scattering // J. Non-Cryst. Solids. 1975. V. 18. P. 307–331.
- Kamitsos E.I. Modifying role of Alkali-metal Cations in Borate Glass Networks // J. Phys. Chem. 1989. V. 93. P. 1604–1611.
- Kamitsos E.I. Cation-Network Interactions in Binary Alkali Metal Borate Glasses. A Far-Infrared Study // J. Phys. Chem. 1987. V. 91. P. 5807–5813.
- Осипов А.А., Осипова Л.М. Структура стекол и расплавов системы Cs2O–B2O3 по данным спектроскопии комбинационного рассеяния света http://i.uran.ru/webcab/system/files/journalspdf/fizika-i-himiya-stekla/fizika-i-himiya-stekla-2014-t.40-n-4/20144.pdf // Физика и Химия стекла. 2014. Т. 40. № 4. С. 521–534.
- Vegiri A., Varsamis C.-P. E., Kamitsos E.I. Molecular dynamics investigation of mixed-alkali borate glasses: Short-range order structure and alkali-ion environments // Phys. Rev. B. 2009. V. 80. № 184202.
- Исакович М.А., Чабан И.А. Распространение волн в сильновязких жидкостях // ЖЭТФ. 1966. Т. 50. № 5. С. 1343–1362.
Supplementary files






