Синтез и исследование электролитных и электродных материалов в системах СeO2–Nd2O3 и Gd2O3–La2O3–SrO–Ni(Co)2O3–δ для среднетемпературных топливных элементов
- Authors: Калинина М.В.1, Полякова И.Г.1, Мякин С.В.2,3, Хамова Т.В.1, Ефимова Л.Н.1, Кручинина И.Ю.1,4
-
Affiliations:
- Институт химии силикатов им. И. В. Гребенщикова РАН
- Санкт-Петербургский государственный технологический институт (Технический университет)
- Институт аналитического приборостроения РАН
- Санкт-Петербургский государственный электротехнический университет «ЛЭТИ» им. В. И. Ульянова (Ленина)
- Issue: Vol 50, No 1 (2024)
- Pages: 69-86
- Section: Articles
- URL: https://bakhtiniada.ru/0132-6651/article/view/261837
- DOI: https://doi.org/10.31857/S0132665124010096
- EDN: https://elibrary.ru/SHTPPI
- ID: 261837
Cite item
Full Text
Abstract
Методом совместной кристаллизации растворов азотнокислых солей с ультразвуковой обработкой синтезированы ксерогели, высокодисперсные мезопористые порошки состава: (СeO2)1-x(Nd2O3)x (x = 0,02; 0,05; 0,10); Gd1–xSrxCo0,5O3–δ (х = 0,1, 0,15, 0,2, 0, 25); Gd0.4Sr0.1Ni0,5O3–δ; Gd0,125La0,125Sr0,25Co0,5O3–δ — и на их основе получены нанокерамические материалы с кристаллической кубической структурой типа флюорита, орторомбической и тетрагональной структурой типа перовскита с ОКР ~55–90 нм (1300◦С) соответственно. Изучены физико-химические свойства полученной керамики; выявлено, что она обладает открытой пористостью 7–11% для состава: (СeO2)1-x(Nd2O3)x и 17–42% для материалов состава Gd1–xSrxCo0,5O3–δ, Gd0.4Sr0.1Ni0,5O3–δ и Gd0,125La0,125Sr0,25Co0,5O3–δ. Материалы на основе оксида церия обладают преимущественно ионным (числа переноса ионов ti = 0.71–0.89 в интервале 300–700◦С) типом электропроводности, обусловленным образованием подвижных кислородных вакансий при гетеровалентном замещении Се4+ на Nd3+; σ700ºС = 0.31·10–2 См/см. Твердые растворы на основе никелата и кобальтита лантана обладают смешанной электронно-ионной проводимостью, σ700ºС = 0.59∙10–1 См/см с числами переноса te = 0.92–0.99 ti = 0.08–0.01. Показана перспективность использования полученных керамических материалов в качестве твердооксидных электролитов и электродов среднетемпературных топливных элементов.
Full Text
ВВЕДЕНИЕ
В связи с нестабильностью на рынке углеводородов и обострением экологических проблем в последнее время происходит довольно сильное изменение структуры энергетического сектора. В общем объеме энергетических ресурсов происходит увеличение доли источников, альтернативных традиционным (древесине, углю, нефти), что открывает новые горизонты развития систем аккумулирования энергии и распределенной генерации. Большое внимание привлекают топливные элементы (ТЭ) — элетроктрохимические устройства, непосредственно преобразующие химическую энергию топлива и окислителя, раздельно подводимых к электродам, в электроэнергию. Высокая термодинамическая эффективность, непрерывность функционирования в сочетании с хорошими экологическими характеристиками дают топливным элементам преимущества перед такими энергоустановками, как газовые микротурбины, двигатели внутреннего сгорания, ветрогенераторы и солнечные батареи [1–7]. В связи с этим активное развитие получает альтернативная, водородная, энергетика. Для ее дальнейшей разработки необходимы поиск и создание современных материалов для электрохимических генераторов энергии.
Перспективными среди них являются твердооксидные топливные элементы (ТОТЭ). Энергоустановки на основе топливных элементов экономичнее традиционных почти в два раза. Их КПД может достигать 85%, а количество вредных выбросов почти в 100 раз ниже из-за отсутствия непосредственного химического контакта топлива с окислителем [8, 9]. Среднетемпературные топливные элементы функционируют в интервале 300–700◦C, что обуславливает их высокую энергетическую эффективность — КПД 50–70%, уменьшает влияние каталитических ядов на электроды, увеличивает скорость электродных реакций. Разработка среднетемпературных твердооксидных топливных элементов является важной задачей материаловедения на мировом уровне, поскольку при высокой рабочей температуре ТОТЭ возникают сложности при совместимости материалов электродов и электролита. При использовании среднетемпературных ТОТЭ можно увеличить круг используемых конструкционных материалов, уменьшить деградацию данных устройств и тем самым увеличить их эксплуатационный срок службы.
ТОТЭ представляют собой полностью керамическую систему, которая не оказывает отрицательного влияния на экологическую безопасность окружающей среды. Одним из преимуществ ТОТЭ является их невысокая требовательность к чистоте топлива. В качестве топлива, кроме водорода, могут быть использованы любые углеводороды, преобразованные в синтез-газ (Н2-СО). Являясь перспективной системой хранения, обратимые ТОТЭ могут быть экономичным решением проблемы управления энергопотреблением с использованием источников энергии прерывистого действия [10, 11].
Создание высокоэффективных и дешевых твердооксидных топливных элементов (ТОТЭ), способных с высокой эффективностью конвертировать химическую энергию органического топлива непосредственно в электроэнергию, особо актуально для России, поскольку две трети российских территорий (Дальний Восток, Сибирь и Арктика) малопригодны для централизованной энергетики. В связи с этим на рынке существует огромная потребность в ТОТЭ мощностью от 1 Вт до 1 кВт для мобильных и портативных устройств (военные приборы, электромобили, гаджеты и т. д.).
Таким образом, разработка и создание промышленного производства энергосистем на основе твердооксидных топливных элементов становится первоочередной задачей распределенной энергетики, энергосбережения, когенерациии и экономии топливных ресурсов. А поиск материалов с целью использования их в различных электрохимических устройствах в области водородной энергетики не теряет своей актуальности [12–14].
Основными составляющими частями ТОТЭ являются катод, электролит и анод. Электролиты различают по их ионно-транспортному механизму: анионные, протонные и ионносмешанные. Процесс транспортировки иона кислорода (O2-) от катода к аноду, являющийся основным принципом работы топливных элементов, осуществляется только при наличии кислородных вакансий. В связи с этим оптимальным является тот материал электролита, в кристаллической решетке которого присутствуют анионные вакансии. В последние годы в качестве среднетемпературных электролитов особый интерес вызывают наноматериалы на основе диоксида церия, позволяющие снизить рабочую температуру топливной ячейки на 300–400◦C. В то же время они не уступают по своим электрофизическим характеристикам традиционно используемым материалам на основе диоксида циркония YSZ (в частности, керамики состава (ZrO2)0,92(Y2O3)0,08) [2, 15, 16]. Сами материалы на основе оксида церия при относительно низких рабочих температурах 600–800◦C термодинамически устойчивы, т. е. могут служить достаточно долго. Кроме того, относительно низкие рабочие температуры исключают межслойную диффузию. Интерфейсные слои между функциональными слоями компонентов ТОТЭ исключают твердофазное взаимодействие.
Все использующиеся на данный момент катодные материалы ТОТЭ обладают теми или иными недостатками. В связи с этим разработка новых катодных материалов, в частности для среднетемпературных ТОТЭ (500–700◦C), представляет как научный, так и практический интерес.
Установлено, что при работе ТОТЭ в среднем интервале температур мощностные характеристики ячейки ограничиваются работой катода [15–20]. На катоде твердооксидных топливных элементов протекает реакция восстановления молекулярного кислорода и осуществляется транспорт ионов кислорода к поверхности электролита. В связи с этим при разработке среднетемпературных катодных материалов необходимо, чтобы они соответствовали определенным требованиям: они должны быть ультрадисперсными и обладать высокой электронной или смешанной электронно-ионной проводимостью. Для снижения диффузионного торможения катода требуется развитая пористая структура, т. к. скорость восстановления молекулярного кислорода зависит от величины удельной поверхности. Кроме того, важным является механическая совместимость катода и материала электролита. Этим требованиям соответствуют сложные оксиды металлов и их нанокомпозиты. В настоящее время для катодов среднетемпературных ТОТЭ в качестве новых материалов предлагаются однофазные сложные перовскитные материалы LnMO3–δ (M–Cr, Mn, Fe, Ni, Co), устойчивые в окислительной атмосфере в широком интервале температур и обладающие достаточно высокой электропроводностью [21–24]. Среди них наибольшей электропроводностью обладают марганец-, кобальт- и никельсодержащие оксиды. Электропроводность таких перовскитов можно повысить, увеличив концентрацию носителей заряда (дырок) за счет гетеровалентного замещения La3+ на катионы щелочноземельных элементов М2+ = Ca, Sr или Ba [25, 26]. На практике большинство кристаллов с кубической структурой перовскита кристаллизуется в более низкой симметрии, а именно имеет место искажение кубической структуры до орторомбической, гексагональной, тетрагональной.
Для среднетемпературных топливных элементов наиболее привлекательными представляются кобальтиты и никелаты лантана, электропроводность которых превышает проводимость манганитов лантана, что обусловлено более высокой удельной поверхностной реактивностью из-за более низкой прочности связи Ме-О [20].
На электрические свойства электролитных и катодных материалов оказывает влияние множество факторов: используемый метод синтеза, дисперсность полученных порошков-прекурсоров, плотность керамического материала, размер зерен [18, 27–31]. Наиболее экономичным решением данной задачи является использование жидкофазных методов синтеза, а именно: методы совместной кристаллизации солей, совместного осаждения гидроксидов, золь-гель, гидротермальный метод и др. Применение данных методов синтеза позволяет получить высокодисперсные порошки и нанокерамические материалы на их основе и при этом снизить температуры синтеза и спекания керамики [29].
Получение и исследование твердооксидных электролитных и катодных материалов по схеме «состав — технология синтеза — структура — свойства» позволяет достигнуть их необходимых и оптимальных характеристик.
Целью данной работы является жидкофазный синтез методом совместной кристаллизации солей и исследование физико-химических свойств нанопорошков и керамики в системах СeO2–Nd2O3 и Gd2O3–La2O3–SrO–Ni(Co)2O3–δ для электролитных и катодных материалов современных энергоэффективных среднетемпературных топливных элементов.
ЭКСПЕРИМЕНТАЛЬНАЯ ЧАСТЬ
Методы исследования
Рентгенофазовый анализ (РФА) был выполнен на дифрактометре D8-Advanсe фирмы Bruker. Для расшифровки дифрактограмм использовали международную базу данных IСDD-2006, результаты анализа обрабатывали с помощью программы «WINFIT 1.2.1», использующей Фурье-преобразование профиля рефлекса. Для оценки размеров областей когерентного рассеяния (ОКР) использовали уравнение Селякова — Шерера: DОКР = 0.9∙λ/(β∙сosθ), где λ — длина волны СuKα, β — ширина дифракционного рефлекса на полувысоте [32]; дифференциальный термический анализ (ДТА) использовали для изучения процессов термолиза, протекающих в соосажденных ксерогелях и порошках при нагревании в интервале температур 20–1000◦C (дериватограф Q-1000 фирмы МОМ). Измерение удельной площади поверхности синтезированных нанопорошков проводили методом низкотемпературной адсорбции азота с использованием анализатора QuantaChrome Nova 4200В. На основании полученных данных рассчитывали удельную площадь поверхности SБЭТ образцов с использованием модели Брюнауэра — Эммета — Теллера (БЭТ). Расчет распределения пор по размерам осуществляли на основании изотерм десорбции азота по методу Баррета — Джойнера — Халенды (BJH); термическую обработку порошков проводили в печи фирмы Naberterm с программным управлением в интервале температур 25–1300◦C в течение 1–2 ч с последующим медленным охлаждением печи; явление открытой пористости и кажущейся плотности образцов определяли методом гидростатического взвешивания в дистиллированной воде в соответствии с ГОСТ 473.4–81 [33]; для изучения функционально-химического состава поверхности исследуемых образцов использовали метод индикаторного определения активных центров или метод динамической рН-метрии [34, 35]; измерение электросопротивления полученных керамических материалов проводили двухконтактным методом на постоянном токе в интервале температур 250–1000◦C на установке «Комплекс программно-аппаратурный для исследований электрических свойств нанокерамики в разных газовых средах» [36]; методом Веста — Таллана были определены числа переноса ионов и электронов объемных твердых электролитов [37]. В качестве инертного газа использовали смесь СО2 + СО (данной смеси соответствует парциальное давление кислорода 103Па). Измерения проводили на постоянном токе в слабых (U = 0.5 В) полях после длительного (до 30 мин) спадания тока. Вклад ионной и электронной долей проводимости оценивали по формулам: te = Rair/Re и tи = 1–te, где te и tи — числа переноса электронов и ионов соответственно, Rair и Re — сопротивление образца, измеренное на воздухе и в атмосфере инертного газа. Для изучения микроструктуры керамики использовали сканирующий электронный микроскоп Tescan Vega 3 SBH (Tescan, Чехия).
ОБСУЖДЕНИЕ ПОЛУЧЕННЫХ РЕЗУЛЬТАТОВ
Синтез ксерогелей, нанопорошков и керамических материалов составов (СeO2)1-x(Nd2O3) x (х = 0,05; 0,10; 0,15; 0,20, 0,25); Gd1–xSrxCo0,5O3–δ (х = 0,1, 0,15, 0,2, 0, 25); Gd0.4Sr0.1Ni0,5O3–δ; Gd0,125La0,125Sr0,25Co0,5O3–δ
Синтез ксерогелей и нанодисперсных порошков с разным концентрационным соотношением оксидов в системах CeO2–Nd2O3, и Gd2O3–La2O3–SrO–Ni(Co)2O3–δ осуществляли методом совместной кристаллизации азотнокислых солей [38, 39]. Для синтеза использовали азотнокислые соли церия Се(NO3)3·6H2O (чда), неодима Nd(NO3)3·6H2O (хч), гадолиния Gd(NO3)3·6H2O (хч), лантана La(NO3)3·6H2O (хч), стронция Sr(NO3)2 (чда), никеля Ni(NO3)2·6H2O (ч) и кобальта Co(NO3)2·6H2O (ч), из которых были приготовлены растворы с концентрацией ~0.5 М. Полученные растворы с учетом заданного стехиометрического соотношения оксидов смешивали и выпаривали на водяной бане в течение 3 ч до образования пересыщенного раствора. Пересыщенный раствор охлаждали при температуре 3–5◦C, что способствовало адсорбции кристаллизующегося вещества на поверхности кристаллов, образовавшихся на этапе выпаривания смесей растворов солей.
Полученные в результате сушки (110◦C, 0.5 ч) рентгеноаморфные ксерогели подвергались термообработке (600◦C, 1 ч) для формирования устойчивой кристаллической структуры нанопорошков. Синтезированные порошки заданного состава растирали в ступке и с помощью устройства ПГР400 методом одноосного холодного прессования при давлении 100–150 МПа получали небольшие таблетки диаметром 1.0 и 1.5 см. Спекание спрессованных образцов проводили при 900◦C 3 ч, затем при 1300◦C 3 ч.
Разное давление прессования было выбрано специально для создания условий получения малопористой (в случае получения электролитных материалов) и пористой структуры (для получения катодных материалов) в керамике. При низком давлении прессования происходит обособление больших агломератов и превращение их в крупные зерна с образованием большого порового пространства вокруг них.
Для получения низкопористой структуры керамики в системе CeO2–Nd2O3 производили подбор спекающих добавок. Для создания поровой структуры в керамике заданного состава в системе Gd2O3–La2O3–SrO–Ni(Co)2O3–δ в нанопорошки-прекурсоры, полученные при 900◦C, добавляли порообразующую добавку — 10% водный раствор поливинилового спирта (ПВС) в количестве 5, 10% сверх основной массы шихты. При создании развитой пористой структуры довольно сложно добиться хорошей плотности и прочности материалов. В связи с этим для повышения пористости с сохранением оптимальной плотности в шихту нанопорошков также добавляли спекающую добавку — гидроксид алюминия, как в комбинации с ПВС, так и без него.
Для всех исследуемых составов образцов был изучен процесс термолиза. В качестве примера на рис. 1 приведены кривые дифференциально-термического анализа ксерогеля состава Gd0,4Sr0,1Co0,5O3. Как видно из рис. 1, основная стадия дегидратации синтезированного кристаллогидрата протекает в интервале температур 60–200◦C. Данные эффекты соответствуют процессу десорбции физически связанных молекул воды с поверхности образца, а также структурно связанных молекул воды. Экзоэффект, наблюдаемый при температуре примерно 320◦C, связан с процессом кристаллизации кубического твердого раствора. Последний эндоэффект, наблюдаемый при температуре 350◦C, соответствует процессу разложения азотнокислых солей.
Рис. 1. Результаты дифференциально-термического анализа нанопорошка состава Gd0,4Sr0,1Co0,5O3, полученного методом совместной кристаллизации солей.
Для соединений других составов по сравнению с составом Gd0,4Sr0,1CoO3 различия в температурах экзо- и эндоэффектов составили соответственно не более 10–15◦C.
Определение параметров микроструктуры синтезированных порошков осуществляли методом низкотемпературной адсорбции азота.
Характеристики микроструктуры синтезированных порошков всех составов, определенные с помощью метода БЭТ, представлены в табл. 1.
Таблица 1. Характеристики микроструктуры синтезированных порошков
Состав | Удельная площадь поверхности Sуд, м2/г | Средний размер пор, Dпор, нм | Удельный объем пор Vпор, см3/г |
Электролитные материалы | |||
(CeO2)0.95(Nd2O3)0.05 | 12.47 | 3.711 | 0.040 |
(CeO2)0.90(Nd2O3)0.1 | 11.32 | 3.68 | 0.035 |
(CeO2)0.85(Nd2O3)0.15 | 14.66 | 4.52 | 0.043 |
(CeO2)0.80(Nd2O3)0.20 | 7.41 | 3.62 | 0.031 |
(CeO2)0.75(Nd2O3)0.25 | 13.34 | 3.65 | 0.030 |
Катодные материалы | |||
Gd0,4Sr0,1Co0,5O3 | 5.63 | 13.25 | 0.036 |
Gd0,35Sr0,15Co0,5O3 | 5.37 | 11.6 | 0.026 |
Gd0,30Sr0,20Co0,5O3 | 3.54 | 11.34 | 0.024 |
Gd0,25Sr0,25Co0,5O3 | 4.25 | 12.2 | 0.020 |
Gd0.4Sr0.1Ni0,5O3–δ; | 5.31 | 13.2 | 0.035 |
Gd0,125La0,125Sr0,25Co0,5O3 | 4.12 | 7.83 | 0.019 |
Синтезированные порошки имеют мезопористую структуру с размером пор в интервале 3.6–13.2 нм, общим объемом пор в интервале 0.020–0.043 см3/г, площадью удельной поверхности 4.12–14.46 м2/г.
Определение значений плотности и открытой пористости полученной керамики заданного состава при введении спекающих и порообразующих добавок в системах CeO2–Nd2O3 и Gd2O3–La2O3–SrO–Ni(Co)2O3–δ
Для функциональности полученных электролитных материалов они должны обладать оптимальной плотностью и низкой пористостью. Необходимость таких характеристик связана с тем, что электролиты должны быть газонепроницаемыми. Однако исследование показало, что образцы в системе СeO2–Nd2O3 обладают достаточно высокой пористостью. Для получения более плотной керамики с меньшими значениями открытой пористости были проведены исследования по подбору и введению спекающих добавок перед процессом консолидации керамических образцов. В работе были использованы спекающие добавки диоксида кремния SiO2 и оксида цинка ZnO. Как показали исследования, добавление оксида кремния увеличило пористость и уменьшило плотность исследуемых образцов. Добавка оксида цинка значительно увеличила плотность и уменьшила пористость образцов. В табл. 2 приведены результаты исследования влияния спекающих добавок на плотность и открытую пористость керамики в системе СeO2–Nd2O3.
Таблица 2. Влияние спекающих добавок на плотность и открытую пористость керамических образцов состава (СeO2)1-x(Nd2O3)x (x = 0.05; 0.10; 0.15; 0.20; 0.25)
Состав | Без спекающей добавки | 3% SiO2 | 3% ZnO | |||
Кажущаяся плотность ρэксп. г/см3 | Р.% | Кажущаяся плотность ρэксп. г/см3 | Р.% | Кажущаяся плотность ρэксп. г/см3 | Р.% | |
(СeO2)0,95(Nd2O3)0,05 | 6.31 | 9.7 | 5.14 | 24.6 | 6.41 | 10.1 |
(СeO2)0,90(Nd2O3)0,10 | 5.76 | 20.5 | 4.81 | 31.1 | 7.02 | 7.4 |
(СeO2)0,85(Nd2O3)0,15 | 5.69 | 25.9 | 4.78 | 33.2 | 6.62 | 8.5 |
(СeO2)0,80(Nd2O3)0,20 | 6.60 | 25.8 | 4.18 | 40.7 | 6.54 | 11.4 |
(СeO2)0,75(Nd2O3)0,25 | 5.06 | 34.2 | 3.98 | 44.3 | 6.52 | 10.5 |
При исследовании керамики в системе Gd2O3–La2O3–SrO–Ni(Co)2O3–δ было выявлено, что образцы обладают низкой открытой пористостью. Для получения плотной керамики с развитой пористой структурой были проведены также исследования по подбору и введению порообразующих и спекающих добавок перед процессом консолидации керамических образцов. На процесс уплотнения существенно влияет контролируемое введение добавок, роль которых может быть заметной даже при очень небольшом их содержании. Пористые керамические материалы — особый класс материалов, эксплуатационные характеристики которых определяются объемом порового пространства и размером пор. При развитой пористой структуре керамики ее прочность резко падает, поэтому интерес представляют такие добавки, которые могут обладать как порообразующими, так и одновременно спекающими свойствами, например гидроксид алюминия [40].
Для всех керамических образцов, полученных на основе нанопорошков в системе Gd2O3–La2O3–SrO–Ni(Co)2O3–δ, синтезированных методом совместной кристаллизации солей, были также определены плотность и открытая пористость (табл. 3). Из табл. 3 очевидно, что лучшей открытой пористостью обладает состав Gd0,4Sr0,1Co0,5O3–δ с добавкой 5 мас.% ПВС и 5 мас.% Al(OH)3, а лучшей плотностью — Gd0,4Sr0,1Co0,5O3–δ с добавкой 5 мас.% Al(OH)3. Такие результаты, вероятно, связаны с концентрационным соотношением оксидов гадолиния и стронция. Также можно заключить, что те составы, в которых присутствовало наименьшее количество ПВС (5 мас.%) и наибольшее количество гидроксида алюминия (5 мас.%), обладали лучшими свойствами по сравнению с другими количественными соотношениями добавок.
Таблица 3. Влияние порообразующих и спекающих добавок на физико-химические свойства образцов состава Gd1–xSrxCo0,5O3–δ (х = 0.1, 0.15, 0.2, 0.25), Gd0.4Sr0.1Ni0,5O3–δ, Gd0,125La0,125Sr0,25Co0,5O3–δ, полученных методом совместной кристаллизации солей
Cостав | ρ, г/см3 | ρb, г/см3 | Па, % | Усадка ∆L/L, % | ρ, г/см3 | ρb, г/см3 | Па, % | Усадка ∆L/L, % |
Без порообразующих добавок | Добавка ПВС 10% | |||||||
Gd0,25Sr0.25Co0,5O3–δ | 6.59 | 6.19 | 7.1 | 18.42 | 5.99 | 4.48 | 18.9 | 15.36 |
Gd0.3Sr0.2Co0,5O3–δ | 4.84 | 3.92 | 10.3 | 21. 57 | 5.91 | 4.49 | 15.1 | 17.12 |
Gd0.35Sr0.15Co0,5O3–δ | 4.86 | 3.48 | 12.0 | 22.88 | 5.47 | 4.12 | 19.2 | 16.87 |
Gd0.4Sr0.1Co0,5O3–δ | 7.42 | 6.35 | 7.8 | 19.08 | 5.86 | 5.51 | 16.6 | 14.53 |
Gd0,125La0,125Sr0,25 Co0,5O3–δ | 5.32 | 4.82 | 9.8 | 11.97 | 5.29 | 5.06 | 34.2 | 10. 58 |
Добавка Al(OH)3 5% | Добавка ПВС 10%+ Al(OH)3 5% | |||||||
Gd0,25Sr0.25Co0,5O3–δ | 6.12 | 4.63 | 16.0 | 21.57 | 7.65 | 6.93 | 17.1 | 19.27 |
Gd0.3Sr0.2Co0,5O3–δ | 6.32 | 5.30 | 18.2 | 23.12 | 7.23 | 6.40 | 27.5 | 20.34 |
Gd0.35Sr0.15Co0,5O3–δ | 6.25 | 5.53 | 23.8 | 24.31 | 6.41 | 6.23 | 30.1 | 21.19 |
Gd0.4Sr0.1Co0,5O3–δ | 7.92 | 7.22 | 27.6 | 20.92 | 6.37 | 5.23 | 38.8 | 23.17 |
Gd0,125La0,125Sr0,25Co0,5O3–δ | 6.51 | 5.69 | 25.6 | 17.24 | 6.43 | 5.86 | 27.3 | 18.23 |
Gd0.4Sr0.1Ni0,5O3–δ | 6.82 | 6.79 | 22.5 | 19.68 | 6.32 | 5.09 | 42.5 | 20.58 |
Примечание. ρ, г/см3 — теоретическая плотность; ρb, г/см3 — кажущаяся плотность; Па,% — открытая пористость.
Анализируя результаты, представленные в табл. 3, можно сделать вывод, что гидроксид алюминия выполняет двойственную роль: он выступает и в качестве порообразователя, и как спекающая добавка. Можно заключить, что для получения оптимальных характеристик плотности и пористости керамики в системе Gd2O3–La2O3–SrO–Ni(Co)2O3–δ необходимы комбинированные добавки поливинилового спирта — ПВС с гидроксидом алюминия Al(OH)3.
Изучение кристаллической структуры твердых растворов составов (СeO2)1-x(Nd2O3)x (x = 0.05; 0.10; 0.15; 0.20; 0.25) и Gd1–xSrxCo0,5O3–δ (х = 0.1, 0.15, 0.2, 0.25); Gd0.4Sr0.1Ni0,5O3–δ; Gd0,125La0,125Sr0,25Co0,5O3–δ
По результатам рентгенофазового анализа установлено, что при 600◦C в исследуемых порошках системы CeO2–Nd2O3 образуется кубический твердый раствор типа флюорита, со средним размером ОКР ~14 нм, после спекания при 1300◦C с параметром кристаллической решетки а = 5.4545 Å, ОКР = 88 нм. Последующие обжиги при более высоких температурах (1300◦C) не приводят к нарушению однофазности нанопорошков и керамики на их основе. В качестве примера последовательность образования кубического твердого раствора типа флюорита образца состава (СeO2)0,85(Nd2O3)0,15 представлена на рис. 2.
Рис. 2. Рентгенограммы нанопорошка (1, 600◦C) и керамического образца (2, 1300◦C) состава (СeO2)0,85(Nd2O3)0,15, синтезированного методом совместной кристаллизации солей церия и неодима.
Методом рентгенофазового анализа был изучен фазовый состав порошков и керамики всех составов в системах Gd2O3–La2O3–SrO–Ni(Co)2O3–δ, синтезированных методом совместной кристаллизации солей. В качестве примера на рис. 3 представлен фазовый состав порошка и керамики состава Gd0,25Sr0,25Co0,5O3–δ. На данных рентгенограммах показан процесс формирования твердых растворов, обладающих тетрагональной структурой типа перовскита (рис. 4).
Рис. 3. Рентгенограммы нанопорошка и керамики состава Gd0,25Sr0,25Co0,5O3–δ, обработанных при 900 и 1200C: 1 — тетрагональная структура типа перовскита состава Gd0,25Sr0,25Co0,5O3–δ, 2 — орторомбическая структура типа перовскита, 3 — кубическая кристаллическая структура на основе Gd2O3.
Рис. 4. Микрофотография (а) и зерновой состав микроструктуры (б) керамики (СeO2)0,85(Nd2O3)0,15 после обжига при 1300◦C в отсутствие спекающей добавки.
Как видно из рис. 7, для кобальтита гадолиния состава Gd0,25Sr0,25Co0,5О 3–δ после обжига при 900◦C характерно сначала образование твердого раствора с орторомбической структурой типа перовскита с ОКР = 49 нм, однако имеются примеси оксида гадолиния, обладающего кубической структурой типа флюорита. После завершения процесса спекания при 1200◦C синтезированный кобальтит гадолиния имеет тетрагональную структуру типа перовскита с ОКР = 55 нм. В табл. 4 приведены параметры решетки и ОКР полученных кристаллических структур.
Таблица 4. Кристаллические структуры и ОКР керамики состава Gd0,25Sr0,25Co0,5O3-δ
Состав | Структура | Параметры | ОКР, нм |
Gd0,25Sr0,25Co0,5O3–δ (900◦C) | Кубическая типа флюорита | а = 5.42 Å V = 159.22 Å3 | 49 |
Орторомбическая типа перовскита | a = 13.76 Å b = 3. 10 Å c = 5. 65 Å V = 241.21 Å3 | ||
Gd0,25Sr0,25Co0,5O3–δ (1200◦C) | Тетрагональная типа перовскита | a = 3.82 Å c = 12. 30 Å V = 179.39 Å3 | 55 |
На рис. 4 приведены микрофотографии керамики состава (СeO2)0,90(Nd2O3)0,10 после обжига при 1300◦C. На рис. 4а видно, что при спекании образца при 1300◦C происходит полная кристаллизация образца с образованием кристаллов, в которых просматриваются отдельные зерна, а на рис. 4б представлен зерновой состав микроструктуры, которая характеризуется кристаллическими зернами с размером в диапазоне от 100–700 нм с четкими границами, а также отдельными порами.
Результаты изучения микроструктуры полученной керамики состава Gd0,25Sr0,25Co0,5O3–δ после обжига при 1200◦C с помощью метода электронной сканирующей микроскопии представлены на рис. 5. На рис. 5а представлена микрофотография керамики состава Gd0,25Sr0,25Co0,5O3–δ после обжига при 1200◦C. Видна поверхность хорошо спеченной керамики с обширным объемом порового пространства, сквозные поры имеют размеры в диапазоне от 10 до 50 микрон.
Рис. 5. Микрофотография керамики состава Gd0,25Sr0,25Co0,5O3-δ после обжига при 1200◦C при увеличении 240x (a) и 2000x (б).
На рис. 5б представлена микрофотография керамики состава Gd0,25Sr0,25Co0,5O3-δ после обжига при 1200◦C при большом увеличении. На поверхности зерна видны пограничные, сквозные поры и протяженные поры по границам зерен.
Сравнительное исследование физико-химических свойств керамики синтезированных составов в двух системах СeO2–Nd2O3 и Gd2O3–La2O3–SrO–Ni(Co)2O3–δ представлено в табл. 5.
Таблица 5. Физико-химические свойства керамических образцов состава (СeO2)1-x(Nd2O3)x (x = 0.05; 0.10; 0.15; 0.20; 0.25) и Gd1–xSrxCo0,5O3–δ (х = 0.1, 0.15, 0.2, 0.25), Gd0.4Sr0.1Ni0,5O3–δ; Gd0,125La0,125Sr0,25Co0,5O3–δ, синтезированных методом совместной кристаллизации солей
Состав | ρтеор. г/см3 | Кажущаяся плотность ρэксп. г/см3 | ОКР. нм (1300◦C) | Р.% |
Электролитные материалы с добавкой 3% ZnO | ||||
(CeO2)0,95(Nd2O3)0,05 | 6.70 | 6.25 | 88 | 10.1 |
(CeO2)0,90(Nd2O3)0,10 | 7.15 | 6.52 | 75 | 7.4 |
(CeO2)0,85(Nd2O3)0,15 | 6.85 | 6.21 | 73 | 8.5 |
(CeO2)0,80(Nd2O3)0,20 | 7.12 | 6.97 | 69 | 11.4 |
(CeO2)0,75(Nd2O3)0,25 | 6.96 | 6.38 | 66 | 10.5 |
Катодные материалы с добавкой 10% ПВС + 5% Al(OH)3 | ||||
Gd0,25Sr0.25Co0,5O3–δ | 7.65 | 6.93 | 55 | 17.1 |
Gd0.3Sr0.2Co0,5O3–δ | 7.23 | 6.40 | 58 | 27.5 |
Gd0.35Sr0.15Co0,5O3–δ | 6.41 | 6.23 | 61 | 30.1 |
Gd0.4Sr0.1Co0,5O3–δ | 6.37 | 5.2 | 64 | 38.8 |
Gd0,125La0,125Sr0,25Co0,5O3–δ | 6.43 | 5.86 | 65 | 27.3 |
Примечание. ρэксп — экспериментальная плотность; ρтеор — теоретическая плотность; Р — открытая пористость.
Исследование кислотно-основных характеристик поверхности образцов методом динамической рН-метрии посредством измерения кинетики рН суспензии
Кислотно-основные характеристики поверхности образцов состава Gd0,25Sr0,25Co0,5 O3 и Gd0,4Sr0,1Co0,5O3 исследовали методом динамической рН-метрии посредством измерения кинетики рН суспензии, получаемой при введении навесок исследуемых образцов массой около 30 мг в 30 мл дистиллированной воды при перемешивании магнитной мешалкой. Измерения рН суспензии проводили с использованием рН-метра «Мультитест» ИПЛ-301 (НПП «СЕМИКО», Россия) через 5, 10, 20, 30, 45, 60 с и далее через каждые 30 с в интервале времени от 1 до 5 мин после погружения навески порошка.
Полученные результаты, приведенные на рис. 6, показывают, что для суспензий электролитных материалов наблюдаемые изменения pH невелики. При погружении в воду исходного CeO2 наблюдается крайне незначительное изменение рН суспензии — снижение на 0.02–0.03 единицы в первые 2.5 мин с последующим повышением до исходного уровня через 4–5 мин, что свидетельствует об относительно пассивном состоянии поверхности с низким содержанием активных центров.
Рис. 6. Кинетика изменения pH водных суспензий образцов CeO2 (); (СeO2)0,95(Nd2O3)0,05 (); (СeO2)0.80(Nd2O3)0.20 (); Gd0,4Sr0,1Co0,5O3 (x) и Gd0,25Sr0,25Co0,5 O3 ().
Введение Nd и в количестве 10% приводит к незначительному изменению кинетики рН, заключающемуся в несколько более выраженном (на 0.04) снижении pH в первые 2–2.5 мин с последующим аналогичным ростом до исходного уровня. Увеличение количества добавки Nd до 20% приводит к близкому по качественному характеру, но значительно более выраженному изменению рН — снижению на 0.08 в течение первой минуты с последующим плавным ростом до значения, превышающего исходный уровень на 0.08. Наблюдаемые изменения кинетики рН водных суспензий могут быть обусловлены разупорядочением системы элемент-кислородных связей в поверхностном слое в результате введения неодима с образованием как кислотных центров Льюиса и Бренстеда (соответственно выходящих на поверхность катионов металлов и гидроксильных групп кислотного типа), вызывающих снижение pH непосредственно после погружения, так и основных центров Бренстеда (гидроксильных групп основного типа), более медленно диссоциирующих с выделением OH-групп, что приводит к повышению pH, возрастающему с увеличением количества добавки Nd.
Для катодных материалов Gd0,5-xSrxCo0,5O3 наблюдается резкое увеличение рН водных суспензий в первые 20 сек после погружения навесок, что может быть обусловлено частичным растворением оксида стронция. Для образца с более высоким содержанием стронция (Gd0,25Sr0,25Co0,5O3) наблюдается более выраженный рост pH (более чем на 2), после чего выходит на плато, а через 1 мин после погружения навески начинает плавно снижаться вплоть до насыщения на уровне, превышающем исходное значение для используемой воды примерно на 1.65. Наблюдаемое снижение pH может быть вызвано образованием центров кислотного характера (в частности, вакансий кислорода) в результате вымывания оксида стронция.
В случае образца с пониженным содержанием стронция (Gd0,4Sr0,1Co0,5O3) рост pH в первые 20 сек несколько менее выражен и составляет около 1.67 с последующим медленным увеличением и достижением насыщения через 1 мин после погружения навески на уровне, превышающим исходное значение для используемой воды примерно на 1.75, что в целом характеризует менее значительное влияние оксида стронция на кислотно-основные взаимодействия с водной средой.
Электрические свойства образцов керамики составов (СeO2)1-x(Nd2O3)x (x = 0.05; 0.10; 0.15; 0.20; 0.25) и Gd1–xSrxCo0,5O3–δ (х = 0.1; 0.15; 0.2; 0.25); Gd0.4Sr0.1Ni0,5O3–δ; Gd0,125La0,125Sr0,25Co0,5O3–δ
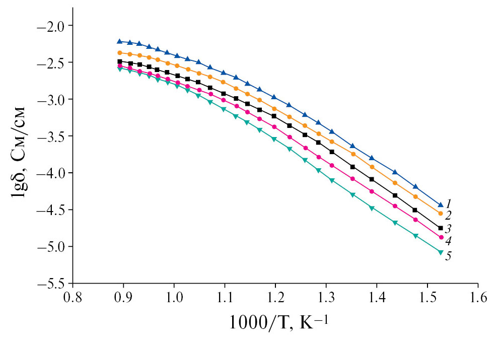
Двухконтактным методом на постоянном токе была измерена температурная зависимость удельной электропроводности твердых растворов в исследуемых системах, полученных методом совместной кристаллизации солей. Результаты исследования температурных зависимостей электропроводности полученных образцов в системе СеО2–Nd2O3 с добавкой 3% ZnO представлены на рис. 7.
Рис. 7. Температурные зависимости удельной электропроводности керамических образцов со спекающей добавкой ZnO состава: (СeO2)1-x(Nd2O3) x x = 0.15(1); 0.10(2); 0.20(3); 0.05(4); 0.25(5).
Как видно из рис. 7, образцы с содержанием 10–15% оксида неодима обладают более высокой проводимостью. При больших концентрациях оксида неодима проводимость уменьшается. Такой эффект может быть связан с тем, что подвижные кислородные вакансии могут образовывать «квазихимические комплексы» (Nd′Се –VО••)• между ионом Nd3+ и кислородной вакансией VО•• [18]. Это приводит к тому, что число подвижных вакансий уменьшается и, в результате, снижается электропроводность образцов.
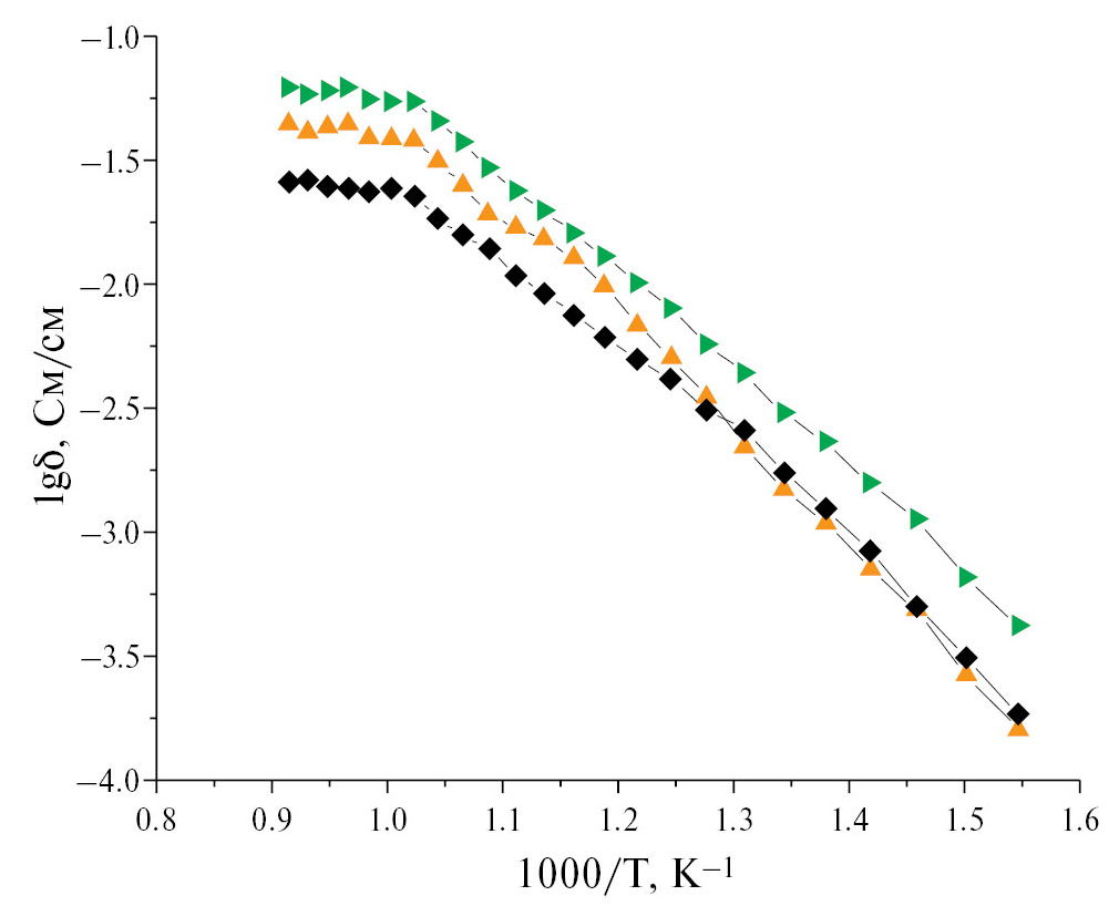
Температурные зависимости удельной электропроводности для катодных материалов на основе системы Gd2O3–La2O3–SrO–Ni(Co)2O3–δ приведены на рис. 8.
Рис. 8. Температурные зависимости удельной электропроводимости керамических образцов состава: Gd0,25Sr0,25Co0,5O3–δ (u), Gd0,4Sr0,1Co0,5O3–δ (▲) — с комплексной добавкой; Gd0,25Sr0,25Co0,5O3–δ (■) — без добавки.
Представленные результаты показывают, что значения удельной электропроводности увеличиваются с температурой на участке от 300 до 700◦C, затем достигают максимума при 600–800◦C и перестают расти — выходят на плато. Такой вид кривых электропроводности обусловлен тем, что проводимость образцов в системах Gd2O3–La2O3–SrO–Ni(Co)2O3–δ увеличивается с повышением температуры до 600–700◦C (в зависимости от состава), затем при этих температурах проводимость перестает расти, так как происходит изменение механизма проводимости с полупроводникового на металлический. Электропроводность в исследуемых твердых растворах осуществляется по нескольким возможным механизмам: в основном коллективизированными электронами по цепочке Со3+(Ni3+)‒O‒Со3+(Ni3+) и перескоками электронов или дырок непосредственно между ионами Со3+(Ni3+) и Со3+(Ni2+).
Авторы работы [14] считают, что возникновение в синтезированных твердых растворах металлического типа проводимости обусловлено делокализацией d-электронов Со(Ni) при взаимодействии атомов никеля и кислорода в цепочках Со(Ni)–O–Со (Ni). Также из рис. 8 видно, что с увеличением содержания в твердых растворах оксида стронция проводимость образцов увеличивается.
Для сравнения в табл. 6 приведены значения удельной электропроводности керамики в системах СеО2–Nd2O3 и Gd2O3–La2O3–SrO–Ni(Co)2O3–δ.
Таблица 6. Значения удельной электропроводности (σ) образцов в системах СеО2–Nd2O3 и Gd2O3–La2O3–SrO–Ni(Co)2O3–δ при 700◦С
Керамика в системе (СeO2)1–ч(Nd2O3) ч с добавкой 3% ZnO | σ ·10–2, См/см | Ea, эВ | Керамика в системе Gd2O3–La2O3–SrO–Ni(Co)2O3–δ с добавкой 10% ПВС+5%Al(OH)3 | σ ·10–1, См/см | Ea, эВ |
(СeO2)0,95(Nd2O3)0,05 | 0,15 | 1,20 | Gd0,25Sr0,25Co0,5O3–δ | 0.41 | 0.62 |
(СeO2)0,90(Nd2O3)0,10 | 0,26 | 1,05 | Gd0.3Sr0.2Co0,5O3–δ | 0.36 | 0.63 |
(СeO2)0,85(Nd2O3)0,15 | 0,35 | 1,03 | Gd0.35Sr0.15Co0,5O3–δ | 0.28 | 0.61 |
(СeO2)0,80(Nd2O3)0,20 | 0,19 | 1,00 | Gd0,4Sr0,1Co0,5O3–δ | 0.22 | 0.64 |
(СeO2)0,75(Nd2O3)0,25 | 0,17 | 0,96 | Gd0,125La0,125Sr0,25Co0,5O3–δ | 0.59 | 0.61 |
Gd0,4Sr0,1Ni0,5O3–δ | 0.32 | 0.59 |
Метод Веста — Таллана позволяет определить числа переноса ионов и электронов, которые соответствуют доле ионной и электронной проводимости образца. В табл. 7 представлены числа переноса электронов и ионов для образцов различного состава. Таким образом, в твердых растворах в системе CeO2–Nd2O3 электропроводность осуществляется по вакансионному механизму, преобладает ионная проводимость с числами ионного переноса ti = (0.89–0.71) в интервале температур (300–700)◦C, электропроводность образцов при 700◦С в среднем составляет σ700◦С = 0.31 · 10–2 См/см.
Таблица 7. Характеристики электронной и ионной составляющих электропроводности керамики в системах CeO2–Nd2O3 (с добавкой 3% ZnO) и Gd2O3–La2O3–SrO–Ni(Co)2O3–δ (с добавкой 10% ПВС+5%Al(OH)3
Состав | T, ◦C | ti | te |
(CeO2)0,95(Nd2O3)0,05 | 400 | 0.82 | 0.18 |
700 | 0.71 | 0.29 | |
(CeO2)0,90(Nd2O3)0,10 | 400 | 0.87 | 0.13 |
700 | 0.78 | 0.22 | |
(CeO2)0,85(Nd2O3)0,15 | 400 | 0.89 | 0.11 |
700 | 0.74 | 0.26 | |
Gd0,125La0,125Sr0,25Co0,5O3 | 400 | 0.39 | 0.61 |
700 | 0.03 | 0.97 | |
Gd0,3Sr0,2Co0,5O3 | 400 | 0.30 | 0.70 |
700 | 0.01 | 0.99 | |
Gd0,4Sr0,1Ni0,5O3 | 400 | 0.27 | 0.73 |
700 | 0.08 | 0.92 |
Из табл. 7 следует, что полученные твердые электроды обладают смешанной проводимостью с преобладанием электронной проводимости с числом переноса te = 0.92–0.99 и ti = 0.08–0.01 при 700◦C. Видно, что с повышением температуры резко возрастает вклад электронной составляющей в общую величину электропроводности, что связано с возникновением металлического типа проводимости.
ЗАКЛЮЧЕНИЕ
Методом совместной кристаллизации солей синтезированы ксерогели, высокодисперсные порошки состава: (СeO2)1-x(Nd2O3)x (x = 0.05; 0.10; 0.15; 0.20; 0.25); Gd1–xSrxCo0,5O3–δ (х = 0.1; 0.15; 0.2; 0.25); Gd0.4Sr0.1Ni0,5O3–δ; Gd0,125La0,125Sr0,25Co0,5O3–δ со средним размером кристаллитов ~10–14 нм. В результате консолидации нанопорошков заданного состава методом холодного одноосного прессования (150; 100 МПа) с последующим спеканием (900–1300◦С) получены керамические электролитные и катодные материалы. Полученные керамические материалы в интервале 600–1300◦C являются однофазными твердыми растворами и обладают кубической структурой типа флюорита для системы СeO2–Nd2O3, тетрагональной и орторомбической структурой типа перовскита в системе Gd2O3–La2O3–SrO–Ni(Co)2O3–δ La2О3.
Керамические материалы характеризуются ОКР 64–81 нм (1300◦C), открытой пористостью в интервале 7–42%, относительной плотностью 97–94%. Материалы на основе оксида церия обладают преимущественно ионным (числа переноса ионов ti = 0.71–0.89 в интервале 300–700◦С) типом электропроводности, обусловленным образованием подвижных кислородных вакансий при гетеровалентном замещении Се4+ на Nd3+; σ700◦С = 0.31·10–2 См/см. Твердые растворы на основе никелата и кобальтита лантана обладают смешанной электронно-ионной проводимостью, σ700◦С = 0.59∙10–1 См/см с числами переноса te = 0.92–0.99, ti = 0.08–0.01. Кобальтит лантана характеризуется более высокой электропроводностью по сравнению с никелатом гадолиния; для обоих твердых растворов характерно увеличение значения удельной электропроводности с ростом содержания оксида стронция.
Установлена соизмеримость значений КТР полученного электролитного материала на основе стабилизированного диоксида церия (СeO2–Nd2O3) 12.5–12.7 и катодных материалов на основе никелата гадолиния 13.0–13.5, что позволяет рассматривать эту пару керамических материалов как составляющую часть ТОТЭ.
По своим физико-химическим (открытая пористость, плотность, коэффициент термического расширения) и электрофизическим свойствам, связанным со структурными особенностями твердых растворов, полученные на их основе керамические материалы перспективны в качестве твердооксидных электролитов и катодов среднетемпературных топливных элементов.
Работа выполнена в рамках госзадания ИХС РАН (номер госрегистрации темы 0081-2022-0007).
КОНФЛИКТ ИНТЕРЕСОВ
Авторы данной работы заявляют об отсутствии конфликта интересов.
About the authors
М. В. Калинина
Институт химии силикатов им. И. В. Гребенщикова РАН
Author for correspondence.
Email: tikhonov_p-a@mail.ru
Russian Federation, 199034, Санкт-Петербург, наб. Макарова, 2
И. Г. Полякова
Институт химии силикатов им. И. В. Гребенщикова РАН
Email: tikhonov_p-a@mail.ru
Russian Federation, 199034, Санкт-Петербург, наб. Макарова, 2
С. В. Мякин
Санкт-Петербургский государственный технологический институт (Технический университет); Институт аналитического приборостроения РАН
Email: svmjakin@technolog.edu.ru
Russian Federation, 190013, Санкт-Петербург, Московский пр., 26; 198095, Санкт-Петербург, ул. Ивана Черных, 31–33
Т. В. Хамова
Институт химии силикатов им. И. В. Гребенщикова РАН
Email: tamarakhamova@gmail.com
Russian Federation, 199034, Санкт-Петербург, наб. Макарова, 2
Л. Н. Ефимова
Институт химии силикатов им. И. В. Гребенщикова РАН
Email: tamarakhamova@gmail.com
Russian Federation, 199034, Санкт-Петербург, наб. Макарова, 2
И. Ю. Кручинина
Институт химии силикатов им. И. В. Гребенщикова РАН; Санкт-Петербургский государственный электротехнический университет «ЛЭТИ» им. В. И. Ульянова (Ленина)
Email: tamarakhamova@gmail.com
Russian Federation, 199034, Санкт-Петербург, наб. Макарова, 2; 197376, Санкт-Петербург, ул. Профессора Попова, 5
References
- Maric R., Mirshekari G. Solid Oxide Fuel Cells, From Fundamental Principles to Complete Systems. CRC Press, 2021. Р. 256.
- Ponomareva A.A., Ivanova A.G., Shilova O.A., Kruchinina I.Yu. Current state and prospects of manufacturing and operation of methane-based fuel cells (review) // Glass Physics and Chemistry. 2016. V. 42. № 1. Р. 1–19.
- Ponomareva A., Babushok V., Simonenko E., Simonenko N., Sevast’janov V., Shilova O., Kruchinina I. Influence of pH of solution on phase composition of samariumstrontium cobaltite powders synthesized by wet chemical technique // Sol-Gel Sci. Technol. 2018. V. 87. № 1. Р. 74–82. 4 June 2018.
- Galushko A.S., Panova G.G., Ivanova A.G., Masalovich M.S., Zagrebelnyi O.A., Kruchinina I.Yu., Shilova O.A. An Overview of the Functional Ceramic and Composite Materials for Microbiological Fuel Cells // Journal of Ceramic Science and Technology. 2017. V. 8. № 4. Р. 433–454.
- Pachauri Y.K., Chauhan R.P. A study, analysis and power management schemes for fuel cells // Renewable and Sustainable Energy Reviews. 2015. Vol. 43. Р. 1301–1319.
- Андриянов Н.И., Заевко М.Н., Долгова В.Н. Оценка текущего состояния водородной энергетики в России // Инноватика и экспертиза. 2021. № 2(32). С. 136.
- Осинкин Д.А., Богданович Н.М., Береснев Н.М., Пикалова Е.Ю., Бронин Д.И., Зайков Ю.П. Обратимый твердооксидный топливный элемент для аккумулирования и генерации электроэнергии // Электрохимия. 2018. № 54 (8). С. 740–746.
- Борисов В.Н. Перспективы применения энергоустановок на топливных элементах в энергоснабжении. Твердооксидные топливные элементы: Сб. науч.-техн. ст. Снежинск: Изд-во ВНИИТФ, 2007.
- Филиппов С.П., Ярославцев А.Б. Водородная энергетика: перспективы развития и материалы // Успехи химии. 2021. Т. 90. № 6. С. 627–643.
- Pikalova E.Yu., Kalinina E.G. Solid oxide fuel cells based on ceramic membranes with mixed conductivity: improving efficiency // Ryss. Chem. Rev. 2021. Vol. 90 (6). Р. 703–749.
- Filionova E., Medvedev D. Recent progress in the design, charakterisation and application of LaAlO3- fnd LaGaO3- based solid oxide fuel cell electrolutes // Nanomaterials. 2022. V. 12. Н. 1991.
- Nakamura A., Wagner J.B. Defect structure, ionic conductivity, and diffusion in yttria stabilized zirconia and related oxide electrolytes with fluorite structure // J. Electrochem. Soc. 1986. Vol. 133. Iss. 8. Р. 1542–1548.
- Bagockij V.S., Osetrova N.V., Skuidi A.M. Toplivnye elementy, sovremennoe sostoyanie i osnovnye nauchno-tekhnicheskie problemy [Fuel cells, modern state and main scientific and technical problems] // Elektrohimiya — Electrochemistry. 2003. V. 39. № 9. Р. 1027–1045.
- Pal’guev S.F., Gil’derman V.K., Zemcov V.I. Vysokotemperaturnye oksidnye elektronnye provodniki dlya elektrohimicheskih ustrojstv [High temperature oxide electronic conductors for electrochemical devices]. Moskow: Nauka Publ., 1990. 198 p.
- Sadykov V., Usoltsev V., Yeremeev N., Mezentseva N. Functional nanoceramics for intermediate temperature solid oxide fuel cells and oxygen separation membranes // Journal of the European Ceramic Society. 2013. Vol. 33. № 12. P. 2241–2250.
- Hendriksen P.V., Larsen P.H., Mogensen M., Poulsen F.W. Prospects and problems of dense oxygen permeable membranes // Catal. Today. 2000. Vol. 56. P. 283–295.
- Sadykov V.A., Pavlova S.N., Kharlamova T.S., Muzykantov V.S. Perovskites and their nanocomposites with fluorite-like oxides as materials for solid oxide fuel cells cathodes and oxygen-conducting membranes: mobility and reactivity of the surface/bulk oxygen as a key factor of their performance // Perovskites: structure, properties and uses. Nova Science Publishers Inc. 2010. P. 67–178.
- Sal’nikov V.V., Pikalova E.Y. Raman and impedance spectroscopic studies of the specific features of the transport properties of electrolytes based on CeO2 // Phys. Solid State. 2015. 57: 1944.
- Tian C., Chan S.-W. Ionic Conductivities, Sintering Temperatures and Microstructures of Bulk Ceramic CeO2 Doped With Y2O3 // Solid State Ionics. 2000. 134(1). 89–102 (2000).
- Moghadasi M., Li M., Ma C., Du W., Pei Z. Ceramic binder jetting additive manufacturing: Effects of particle size on feedstock powder and final part properties // Ceramics International. 2020. V. 46. № 10. P. 16966–16972.
- Li Z., He Q., Xia L., Xu Q., Cheng C., Wang J., Ni M. Effects of cathode thickness and microstructural properties on the performance of protonic ceramic fuel cell (PCFC): A 3D modelling study // International Journal of Hydrogen Energy. 2022. V. 47. № 6. P. 4047–4061.
- Kumar B.V.N., Samuel T., Bevara S., Rao K.R., Chirauri S. K. Bright blue emissions on UV-excitation of LaBO3 (B = In, Ga, Al) perovskite structured phosphors for commercial solid-state lighting applications // Chimica Techno Acta. 2022. Vol. 9. P. 3–9.
- Симоненко Т.Л., Симоненко Н.П., Симоненко Е.П., Севастьянов В.Г., Кузнецов Н.Т. Синтез оксида Ва0,5Sr0,5Co0,8Fe0,2О3-, перспективного в качестве катодного материала для современных твердооксидных топливных элементов // Неорганическая химия. 2021. Т. 66. № 5. С. 610–615.
- Истомин С.Я., Лысков Н.В., Мазо Г.Н., Антипов Е.В. Электродные материалы на основе сложных оксидов d-металлов для симметричных твердооксидных топливных элементов // Успехи химии. 2021. 90 (6). С. 644–676.
- Tarutin A.P., Baratov S.A., Medvedev D.A. Modernized Synthesis Technigue of Pr2NiO4 Based Complex Oxides Using Low-Tempеrature Salt Melts // Materials. 2022. V. 15. P. 6148.
- Kasyanova А.V., Tarutina L.N., Rudenko A.O., Lyagaeva J.G., Medvedev D.A. Ba(Ce, Zr)O3-based electrodes for protonic ceramic electrochemical cells: towards highly compatible functionality and triple-conducting behavior // Ryss. Chem. Rev. 2020, vol. 89 (6), pp. 667–692.
- Kasyanova A.V., Lyagaeva Ju.G., Vdovin G.K., Murashkina A.A., Medvedev D.A. Transport properties of LaYbO3-based electrolytes doped with alkaline earth elements // Electrochim Acta. 2023. Vol. 439. P. 141702
- Maksimchuk T., Filonova E., Mischenko D., Eremeev N., Sadovskaya E., Bobrikov I., Fetisov A., Pikalova N., Kolchugin A., Shmakov A., Sadykov V., Pikalova E. High-Temperature Behavior, Oxygen Transport Properties, and Electrochemical Performance of Cu-Substituted Nd 1.6Ca0.4NiO4+δ Electrode Materials // Appl. Sci. 2022. Vol. 12 (8). P. 3747–3773.
- Prasad D.H., Son J.-W., Kim B.-K., Lee H.-W., Lee J.-H. Synthesis of nano-crystalline Ce0.9Gd0.1O1.95 electrolyte by novel sol-gel thermolysis process for IT-SOFCs // Journal of the European Ceramic Society. 2008. V. 28. Р. 3107–3112.
- Kalinina M.V., Dyuskina D.A., Arsent’ev M.Y., Mjakin S.V., Shilova O.A. Synthesis and Characterization of Ceria- and Samaria-Based Powders and Solid Electrolytes as Promising Components of Solid Oxide Fuel Cells // Ceramics. 2022. № 5. Р. 1102–1114.
- Fathy A., Wagih A., Abu-Oqail A. Effect of ZrO2 content on properties of Cu-ZrO2 nanocomposites synthesized by optimized high energy ball milling // Ceramics International. 2019. V. 45. № 2. P. 2319–2329.
- Duran P., Villegas M., Capel F., Recio P., Moure C. Low temperature sintering and microstructural development of nano scale Y-TZP ceramics // J. Eur. Ceram. Soc. 16. 945(1996).
- GOST 473.4–81. Izdeliya himicheski stoikie i termostoikie keramicheskie. Metod opredeleniya kajuscheisya plotnosti i kajuscheisya poristosti. [Products chemically resistant and heat-resistant ceramic. Method for determining apparent density and apparent porosity] Gosudarstvennyj standart SSSR [State standard of the USSR]. Standards publishing house. Moscow. 1981. 32 p.
- Mjakin S.V., Sychov M.M., Vasiljeva I.V. Electron beam modification of solids: mechanisms, common features and promising applications. // Nova Science Publishers Inc. 2009.
- Fedorenko N.Yu., Mjakin S.V., Khamova T.V., Kalinina M.V., Shilova O.A. Relationship among the Composition, Synthesis Conditions, and Surface Acid-Basic Properties of Xerogel Particles Based on Zirconium Dioxide // Ceramics International. 2022. V. 48. P. 6245–6249.
- Shilova O.A., Antipov V.N., Tikhonov P.A., Kruchinina I.Y., Panova T.I., Morozova L.V., Moskovskaya V.V., Kalinina M.V., Tsvetkova I.N. Ceramic nanocomposites based on oxides of transition metals of ionistors // Glass Physics and Chemistry. 2013. V. 39. Р. 570–578.
- Pivovarova A.P., Strakhov V.I., Popov V.P. On the mechanism of electron conductivity in lanthanum metaniobate // Technical Physics Letters. 2002. V. 28. Р. 815–817.
- Стрекаловский В.Н., Полежаев Ю.М., Пальгуев С.Ф. Оксиды с примесной разупорядоченностью: состав, структура, фазовые превращения. М.: Наука, 1987. 160 с.
- Коваленко А.С., Шилова О.А., Морозова Л.В., Калинина М.В., Дроздова И.А., Арсентьев М.Ю. Особенности синтеза и исследование нанокристаллической кобальто-никелевой шпинели // Физика и химия стекла. 2014. Т. 40. № 1. С. 135–145.
- Гращенков Д.В., Балинова Ю.А., Тинякова Е.В. Керамические волокна оксида алюминия и материалы на их основе // Стекло и керамика. 2012. № 4. С. 32–35.
Supplementary files










