Влияние условий маннит-нитратного синтеза на фотокаталитические свойства φ-Bi8Pb5O17
- Авторы: Ершов Д.С.1, Беспрозванных Н.В.1, Синельщикова О.Ю.1
-
Учреждения:
- Институт химии силикатов им. И.В. Гребенщикова РАН
- Выпуск: Том 49, № 6 (2023)
- Страницы: 672-680
- Раздел: Статьи
- URL: https://bakhtiniada.ru/0132-6651/article/view/231988
- DOI: https://doi.org/10.31857/S0132665123600437
- EDN: https://elibrary.ru/ESTJOM
- ID: 231988
Цитировать
Полный текст
Аннотация
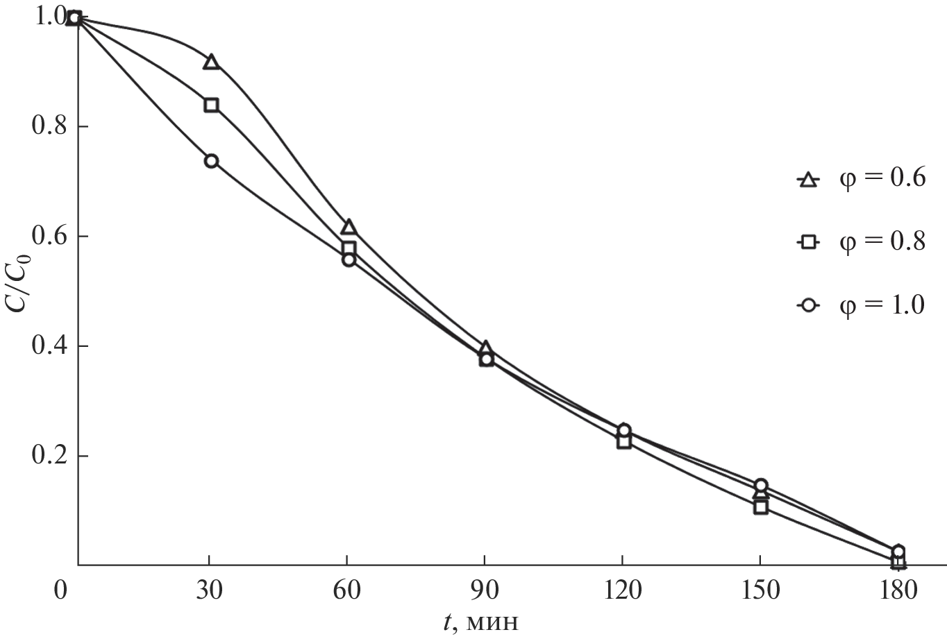
В статье приведены результаты исследования новых керамических материалов φ‑Bi8Pb5O17, полученных методом пиролиза с использованием маннита C6H14O6 в качестве топлива-восстановителя. Методом анализа спектров диффузного отражения с использованием построения Тауца определены значения ширины запрещенной зоны полученных составов. Они находятся в диапазоне от 2.57 до 2.67 эВ, что соответствует фотокатализаторам видимого света. Степень деградации метиленового оранжевого при использовании синтезированных образцов составила от 95 до 99% при облучении в течение 3 ч люминесцентной ртутной лампой.
Ключевые слова
Об авторах
Д. С. Ершов
Институт химии силикатов им. И.В. Гребенщикова РАН
Email: ershov.d.s@yandex.ru
Россия, 199034, Санкт-Петербург, наб. Макарова, д. 2
Н. В. Беспрозванных
Институт химии силикатов им. И.В. Гребенщикова РАН
Email: ershov.d.s@yandex.ru
Россия, 199034, Санкт-Петербург, наб. Макарова, д. 2
О. Ю. Синельщикова
Институт химии силикатов им. И.В. Гребенщикова РАН
Автор, ответственный за переписку.
Email: ershov.d.s@yandex.ru
Россия, 199034, Санкт-Петербург, наб. Макарова, д. 2
Список литературы
- Radaev S.F., Simonov V.I., Kargin Yu.F. Structural features of γ-phase Bi2O3 and its place in the sillenite family // Acta Crystallogr. 1992. V. 48. P. 604–609.
- Harwig H.A. On the Structure of Bismuthsesquioxide: The α, β, γ, and δ-phase // Z. Anorg. Allg. Chem. 1978. V. 444. P. 151–166.
- Harwig H.A., Gerards A.G. The polymorphism of bismuth sesquioxide // Thermochim. Acta. 1979. V. 28. P. 121–131.
- Sammes N.M., Tompsett G.A., Näfe H., Aldinger F. Bismuth Based Oxide Electrolytes ̶ Structure and Ionic Conductivity // J. Eur. Ceram. 1999. V. 19. P. 1801–1826.
- Cornei N., Tancret N., Abraham F., Mentre O. New ε-Bi2O3 Metastable Polymorph // Inorg. Chem. 2006. V. 45. P. 4886–4888.
- Gualtieri A.F., Imovilli S., Prudenziati M. Powder X-ray diffraction data for the new polymorphic compound ω-Bi2O3 // Powder Diffr. 1997. V. 12. Iss. 2. P. 90–92.
- Ghedia S., Locherer T., Dinnebier R., Prasad D.L.V.K., Wedig U., Jansen M., Senyshyn A. High-pressure and high-temperature multianvil synthesis of metastable polymorphs of Bi2O3: crystal structure and electronic properties // Phys. Rev. 2010. V. 82. P. 1–12.
- Atou T., Faqir H., Kikuchi M., Chiba H., Syono Y. A New High-Pressure Phase of Bismuth Oxide // Mater. Res. Bull. 1998. V. 33. P. 289-292.
- Drache M., Roussel P., Wignacourt J.-P. Structures and oxide mobility in Bi-Ln-O materials: heritage of Bi2O3 // Chem. Rev. 2007. V. 107. P. 80–96.
- Biefeld R.M., White S.S. Temperature/Composition Phase Diagram of the System Bi2O3–PbO // J. Am. Ceram. Soc. 1981. V. 64. № 3. P. 182–184.
- Dapčević A., Poleti D., Karanović L., Miladinović J. Investigation of Bi2O3-rich part of Bi2O3-PbO phase diagram // J. Serb. Chem. Soc. 2017. V. 82. Iss. 12. P. 1433–1444.
- Diop I., David N., Fiorani J.M., Podor R., Vilasi M. Experimental investigations and thermodynamic description of the PbO−Bi2O3 system // J. Chem. Thermodyn. 2009. V. 41. P. 420–432.
- Rangavittal N., Gururow T.N., Rao C.N.R. A study of cubic bismuth oxides of the type Bi26 − xMxO40 − δ (M = Ti, Mn, Fe, Co, Ni or Pb) related to γ-Bi2O3 // Eur. J. Solid State Inorg. Chem. 1994. V. 31. P. 409–422.
- Righi L., Calestani G., Gemmi M., Migliori A., Bettinelli M. Neutron diffraction study of φ-Bi8Pb5O17: structure refinement and analysis of cationic ordering // Acta Cryst. 2001. V. 57. P. 237–243.
- Valant M., Suvorov D., A Stoichiometric Model for Sillenites // Chem. Mater. 2002. V. 14. P. 3471–3476.
- Borowiec M.T., Kozankiewicz B., Szymczak H., Zmija J., Majchrowski A., Zaleski M., Zayarnyuk T. Photoconductivity of Bi12Ti1−xPbxO20 single crystal // Acta. Phys. Pol. 1999. V. 96. P. 785–792
- Sammes N.M., Tompsett G., Cartner A.M. Characterization of bismuth lead oxide by vibrational spectroscopy // J. Mater. Sci. 1995. V. 30. P. 4299–4308
- Fee M.G., Long N.J. Mixed conductivity in metal-doped bismuth-lead oxide // Solid State Ionics. 1996. V. 86–88. P. 733–737.
- Fee M.G., Sammes N.M., Tomsett G., Soto T., Cartner A.M. The effect of heat treatment on the physical and electrical properties of the fast ion conductor Bi8Pb5O17 // Solid State Ionics. 1997. V. 95. P. 183–189.
- Chawla H., Chandra A., Ingole P.P., Garg S. Recent advancements in enhancement of photocatalytic activity using bismuth-based metal oxides Bi2MO6 (M = W, Mo, Cr) for environmental remediation and clean energy production // J. Ind. Eng. Chem. 2021. V. 95. P. 1–15.
- Li Z., Zhang Z., Wang L., Meng X. Bismuth chromate (Bi2CrO6): A promising semiconductor in photocatalysis // Journal of Catalysis. 2020. V. 382. P. 40–48.
- Ершов Д.С., Беспрозванных Н.В., Синельщикова О.Ю. Синтез, фотокаталитические и электрофизические свойства керамических материалов в системе PbO–Bi2O3–Fe2O3 // Журн. неорг. химии. 2022. № 67. С. 105–113 [Ershov D.S., Besprozvannykh N.V., Sinelshchikova O.Yu. Synthesis and Photocatalytic and Electrophysical Properties of Ceramic Materials in the PbO–Bi2O3–Fe2O3 // System. Russ. J. Inorg. Chem. 2022. V. 67. P. 105–113.]
- Watanabe A., Kitami Y., Takenouchi S., Bovin J.O., Sammes N. Polymorphism in Bi5Pb3O10.5 // J. Solid State Chem. 1999. V. 144. P. 195–204.
- Santarosa M., Righi L., Gemmi M., Speghini A., Migliori A., Calestani G., Bettinelli M. Structural Properties and Thermal Stability of Bi8Pb5O17 Fast Ion Conducting Phases // Solid State Chem. 1999. V. 144. P. 255– 262.
- Zhang Y., Sammes N., Du Y., The use of X-ray analysis in determining the crystal structure in φ-Bi8Pb5O17 // Solid State Ionics. 1999. V. 124. P. 179–184.
- Gemmi M., Righi L., Calestani G., Migliori A., Speghini A., San tarosa M., Bettinelli M., Structure determination of φ-Bi8Pb5O17 by electron and powder X-ray diffraction // Ultramicroscopy. 2000. V. 84. P. 133–142.
- Ganesan R., Gnanasekaran T., Srinivasa R.S., Standard molar Gibbs energy of formation of Pb5Bi8O17 and PbBi12O19 and phase diagram of the Pb–Bi–O system // J. Nucl. Mater. 2008. V. 375. P. 229–242.
- Штарев Д.С., Штарева А.В., Макаревич К.С., Перегиняк М.В. Пат. РФ № 2595343. Бюл. 2016. № 24.
- Besprozvannykh N.V., Ershov D.S., Sinel’shchikova O.Yu., Ugolkov V.L. Ceramic materials based on bismuth chromates, their synthesis by combustion with mannitol, photocatalytic and conductive properties // Ceram. Int. 2023. V. 49. Iss. 10. P. 16182–16190.
- Wang B., Wang S., Gong L., Zhou Z. Structural, magnetic and photocatalytic properties of Sr2+-doped BiFeO3 nanoparticles based on an ultrasonic irradiation assisted self-combustion method // Ceram. Int. 2012. V. 38. P. 6643–6649.
- Tauc J., Grigorovici R., Vancu A. Optical Properties and Electronic Structure of Amorphous Germanium // Phys. Status Solidi B. 1966. V. 15. P. 627–637.
- Shyamkumar S., Reshmi P.R., Muthuambika T., Parida S.K., Ganesan R. The standard molar enthalpies of formation of PbBi12O19(s) and ϕ-Pb5Bi8O17(s) by solution calorimetry // J. Chem. Thermodynamics. 2021. V. 155. P. 106 351.
- Mukasyan A.S., Costello C., Sherlock K.P., Lafarga D., Varma A. Perovskite membranes by aqueous combustion synthesis: synthesis and properties // Sep. Purif. Technol. 2001. V. 25. P. 117–126.
- Денисова Л.Т., Иртюго Л.А., Белецкий В.В., Белоусова Н.В. Теплоемкость и термодинамическиесвойства оксидных соединений системы Bi2O3–PbO // Журн. Сибирского федерального университета. Серия: Химия. 2015. Т. 8. № 4. С. 514–520.
Дополнительные файлы







