Spectral Properties of Nanostructured Composite Glass Materials Activated by Yttrium in the Presence of Copper or Bismuth
- Авторлар: Girsova M.A.1, Golovina G.F.1, Kurilenko L.N.1, Anfimova I.N.1
-
Мекемелер:
- Grebenshchikov Institute of Silicate Chemistry, Russian Academy of Sciences, 199034, St. Petersburg, Russia
- Шығарылым: Том 49, № 6 (2023)
- Беттер: 619-631
- Бөлім: Articles
- URL: https://bakhtiniada.ru/0132-6651/article/view/231983
- DOI: https://doi.org/10.31857/S0132665123600486
- EDN: https://elibrary.ru/YUGEFJ
- ID: 231983
Дәйексөз келтіру
Толық мәтін
Аннотация
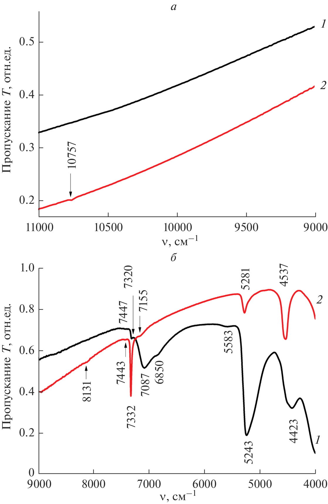
Composite materials (CMs) based on porous glass matrices activated by yttrium in the presence of copper or bismuth are synthesized. It is established that, depending on the composition, the CM samples exhibit UV, blue-green, red, and infrared luminescence due to the presence of various centers, including Bi3+ and Cu+ ions, F centers in Y2O3, and molecular ions О3–2 associated with cation vacancies Y3+.
Авторлар туралы
M. Girsova
Grebenshchikov Institute of Silicate Chemistry, Russian Academy of Sciences, 199034, St. Petersburg, Russia
Email: girsovama@yandex.ru
Россия, 199034, Санкт-Петербург, наб. Макарова, 2,
G. Golovina
Grebenshchikov Institute of Silicate Chemistry, Russian Academy of Sciences, 199034, St. Petersburg, Russia
Email: girsovama@yandex.ru
Россия, 199034, Санкт-Петербург, наб. Макарова, 2
L. Kurilenko
Grebenshchikov Institute of Silicate Chemistry, Russian Academy of Sciences, 199034, St. Petersburg, Russia
Email: girsovama@yandex.ru
Россия, 199034, Санкт-Петербург, наб. Макарова, 2,
I. Anfimova
Grebenshchikov Institute of Silicate Chemistry, Russian Academy of Sciences, 199034, St. Petersburg, Russia
Хат алмасуға жауапты Автор.
Email: girsovama@yandex.ru
Россия, 199034, Санкт-Петербург, наб. Макарова, 2,
Әдебиет тізімі
- Hashim A., Hadi A. Synthesis and characterization of (MgO–Y2O3–CuO) nanocomposites for novel humidity sensor application // Sensor Letters. 2017. V. 15. № 10. P. 858–861. https://doi.org/10.1166/sl.2017.3900
- El-Sayed F., Ganesh V., Hussien M.S.A., AlAbdulaal T.H., Zahran H.Y., Yahia I.S., Abdel-wahab M.Sh., Shakir M., Bitla Y. Facile synthesis of Y2O3/CuO nanocomposites for photodegradation of dyes/mixed dyes under UV- and visible light irradiation // Journal of Materials Research and Technology. 2022. V. 19. P. 4867–4880. https://doi.org/10.1016/j.jmrt.2022.06.163
- Marappa B., Pattar V., Rudresha M.S. Investigations of structural, optical and electrical properties of Cu2+ doped Y2O3 nanosheets // Chemical Physics Letters. 2019. V. 728. P. 67–61.
- Chen C., Jia N., Song K., Zheng X., Lan Y., Li Y. Sulfur-doped copper-yttrium bimetallic oxides: A novel and efficient ozonation catalyst for the degradation of aniline // Separation and Purification Technology. 2020. V. 236. P. 116248. https://doi.org/10.1016/j.seppur.2019.116248
- Baulin O., Douillard T., Fabrègue D., Perez M., Pelletier J.-M., Bugnet M. Three-dimensional structure and formation mechanisms of Y2O3 hollow-precipitates in a Cu-based metallic glass // Materials & Design. 2019. V. 168. P. 107 660. https://doi.org/10.1016/j.matdes.2019.107660
- Dai N., Wang Y., Xu B., Yang L., Luan H., Li J. Effect of yttrium oxide addition on absorption and emission properties of bismuth-doped silicate glasses // Journal of Rare Earths. 2012. V. 30. N 5. P. 418–421.
- Feng Z., Lou B., Yin M., Yeung Y., Sun H.-T., Duan C.-K. First-Principles Study of Bi3+-Related Luminescence and Electron and Hole Traps in (Y/Lu/La)PO4 // Inorganic Chemistry. 2021. V. 60. № 7. P. 4434–4446. https://doi.org/10.1021/acs.inorgchem.0c03217
- Krasnikov A., Mihokova E., Nikl M., Zazubovich S., Zhydachevskyy Y. Luminescence Spectroscopy and Origin of Luminescence Centers in Bi-Doped Materials // Crystals. 2020. V. 10. № 3. P. 208. https://doi.org/10.3390/cryst10030208
- Scarangella A., Fabbri F., Reitano R., Rossi F., Priolo F., Miritello M. Visible emission from bismuth-doped yttrium oxide thin films for lighting and display applications // Scientific Reports. 2017. V. 7. P. 17325. https://doi.org/10.1038/s41598-017-17567-9
- Hughes M.A., McMaster R., Proctor J.E., Hewak D.W., Suzuki T., Ohishi Y. High pressure photoluminescence of bismuth-doped yttria-alumina-silica glass // High Pressure Research. 2022. V. 42. № 1. P. 94–104. https://doi.org/10.1080/08957959.2022.2044031
- Li Q., Zhang B., Wei Z., He M., Wang H., Wei Z., Shi Z. Effect of Bi3+ ion Concentration on Crystal Structure and Luminescent Properties of Blue-Green-Emitting Y2O3: Bi3+ Phosphors // Functional Materials Letters. 2020. V. 13. № 7. P. 2050036. https://doi.org/10.1142/s1793604720500368
- Singh O.S., Wangkhem R., Singh N.S. Excitation and activator concentration induced color tuning and white light generation from Bi3+ sensitized Y2O3:Eu3+: Energy transfer studies // Journal of Alloys and Compounds. 2021. V. 875. P. 160059. https://doi.org/10.1016/j.jallcom.2021.160059
- Jafer R.M., Swart H.C., Yousif A., Kumar V., Coetsee E. The effect of annealing temperature on the luminescence properties of Y2O3 phosphor powders doped with a high concentration of Bi3+ // Journal of Luminescence. 2016. V. 180. P. 198–203. https://doi.org/10.1016/j.jlumin.2016.08.042
- Yousif A., Kumar V., Jafer R.M., Swart H.C. The effect of different annealing temperatures on the structure and luminescence properties of Y2O3: Bi3+ thin film fabricated by RF magnetron sputtering // Applied Surface Science. 2017. V. 424. P. 407–411. https://doi.org/10.1016/j.apsusc.2017.01.001
- Korsunska N., Baran M., Poslishchuk Y., Kolomys, O., Stara T., Kharchenko M., Gorban O., Strelchuk V., Venger Ye., Kladko V., Khomenkova L. Structural and Luminescent Properties of (Y,Cu)-Codoped Zirconia Nanopowders // ECS Journal of Solid State Science and Technology. 2015. Vol. 4. № 9. P. N103–N110. https://doi.org/10.1149/2.0021509jss
- Antropova T., Girsova M., Anfimova I., Drozdova I., Polyakova I., Vedishcheva N. Structure and spectral properties of the photochromic quartz-like glasses activated by silver halides // J. Non-Cryst. Solids. 2014. V. 401. P. 139–141.
- Патент 2605711. Способ изготовления люминесцентного висмут-содержащего кварцоидного материала на основе высококремнеземного пористого стекла / Антропова Т.В., Гирсова М.А., Анфимова И.Н., Головина Г.Ф., Куриленко Л.Н., Фирстов С.В.; заявитель и патентообладатель Институт химии силикатов им. И.В. Гребенщикова. – № 2015117713/05; заявл. 12.05.2015; опубл. 27.12.2016, Бюл. № 36. – 17 с.
- Гирсова М.А., Головина Г.Ф., Анфимова И.Н., Куриленко Л.Н., Антропова Т.В. Влияние соотношения Bi/Y на спектральные свойства висмутсодержащих композиционных материалов на основе силикатных пористых стекол // Физика и химия стекла. 2022. Т. 48. № 5. С. 555–567. https://doi.org/10.31857/S0132665122600145
- Гирсова М.А., Головина Г.Ф., Куриленко Л.Н. Инфракрасная спектроскопия композиционных материалов на основе высококремнеземных пористых стекол, активированных ионами висмута и иттрия // Физика и химия стекла. 2022. Т. 48. № 6. С. 746–752. https://doi.org/10.31857/S0132665122600418
- Husung R.D., Doremus R.H. The infrared transmission spectra of four silicate glasses before and after exposure to water // Journal of Materials Research. 1990. V. 5. № 10. P. 2209–2217.
- Reddy D.V.K., Taherunnisa Sk., Prasanna A.L., Rao T.S., Veeraiah N., Reddy M.R. Enhancement of the red emission of Eu3+ by Bi3+ sensitizers in yttrium alumino bismuth borosilicate glasses // Journal of Molecular Structure. 2019. V. 1176. P. 133–148.
- Hammad A.H., Abdelghany A.M., ElBatal H.A. Thermal, Structural, and Morphological Investigations of Modified Bismuth Silicate Glass-Ceramics // Silicon. 2017. V. 9. P. 239–248.
- Kundu R.S., Dult M., Punia R., Parmar R., Kishore N. Titanium induced structural modifications in bismuth silicate glasses // Journal of Molecular Structure. 2014. V. 1063. P. 77–82.
- Fuss T., Moguš-Milanković A., Ray C.S., Lesher C.E., Youngman R., Day D.E. Ex situ XRD, TEM, IR, Raman and NMR spectroscopy of crystallization of lithium disilicate glass at high pressure // Journal of Non-Crystalline Solids. 2006. V. 352. P. 4101–4111.
- Kumar G.R., Srikumar T., Krishna G.M., Baskaran G.S., Reddy A.S.S., Kumar V.R., Rao Ch.S. The role of Ni2+ ions on structural and spectroscopic properties of Li2O–ZrO2 –Y2O3–SiO2 glass system // Journal of Non-Crystalline Solids. 2018. V. 498. P. 372–379. https://doi.org/10.1016/j.jnoncrysol.2018.03.025
- Borgohain K., Singh J.B., Rao M.V.R., Shripathi T., Mahamuni S. Quantum size effects in CuO nanoparticles // Physical Review B. 2000. V. 61. № 16. P. 11093–11096. https://doi.org/10.1103/physrevb.61.11093
- Romo F.C., Murillo A.G., Torres D.L., Castro N.C., Romero V.H., de la Rosa E., Febles V. G., Hernández M.G. Structural and luminescence characterization of silica coated Y2O3:Eu3+ nanopowders // Opt. Mater. 2010. V. 32. P. 1471–1479.
- Haritha A.H., Rao R.R. Sol-Gel synthesis and phase evolution studies of yttrium silicates // Ceramics International. 2019. V. 45. P. 24957–24964. https://doi.org/10.1016/j.ceramint.2019.03.157
- Luna-López J.A., Carrillo-López J., Aceves-Mijares M., Morales-Sánchez A., Falcony C. FTIR and photoluminescence of annealed silicon rich oxide films // Superficies y Vacío. 2009. V. 22. № 1. P. 11–14.
- Ananthamohan C., Hogarth C.A., Theocharis C.R., Yeates D. Investigation of infrared absorption spectra of copper phosphate glasses containing some rare earth oxides // Journal of Materials Science. 1990. V. 25. P. 3956–3959. https://doi.org/10.1007/bf00582466
- Shanmugapriya T., Balavijayalakshmi J. Role of graphene oxide/yttrium oxide nanocomposites as a cathode material for natural dye-sensitized solar cell applications // Asia-Pacific Journal of Chemical Engineering. 2021. V. 16. № 2. P. e2598. https://doi.org/10.1002/apj.2598
- Stefan R., Culea E., Pascuta P. The effect of copper ions addition on structural and optical properties of zinc borate glasses // Journal of Non-Crystalline Solids. 2012. V. 358. № 4. P. 839–846. https://doi.org/10.1016/j.jnoncrysol.2011.12.079
- Sable P., Thabet N., Yaseen J., Dharne G. Effects on Structural Morphological and Optical Properties Pure and CuO/ZnO Nanocomposite // Trends in Science. 2022. V. 19. № 24. P. 3092/1–3092/10. https://doi.org/10.48048/tis.2022.3092
- Khlifi N., Mnif S., Nasr F.B., Fourati N., Zerrouki C., Chehimi M.M., Guermazi H., Aifa S., Guermazi S. Non-doped and transition metal-doped CuO nanopowders: structure-physical properties and antiadhesion activity relationship // RSC Advances. 2022. V. 12. P. 23527–23543. https://doi.org/10.1039/d2ra02433k
- Rachna, Aghamkar P. Morphological and optical investigation of Y2O3:SiO2 powder by wet chemical process // Optical Materials. 2013. V. 36. № 2. P. 337–341. https://doi.org/10.1016/j.optmat.2013.09.019
- Liu T., Xu W., Bai X., Song H. Tunable silica shell and its modification on photoluminescent properties of Y2O3:Eu3+@SiO2 nanocomposites // Journal of Applied Physics. 2012. V. 111. № 6. P. 064312. https://doi.org/10.1063/1.3694767
- Iordanescu C.R., Tenciu D., Feraru I.D., Kiss A., Bercu M., Savastru D., Notonier R., Grigorescu C.E.A. Structure and morphology of Cu-oxides films derived from PLD processes // Digest Journal of Nanomaterials and Biostructures. 2011. V. 6. № 2. P. 863–868.
- Aghazadeh M., Ghaemi M., Golikand A.N., Yousefi T., Jangju E. Yttrium Oxide Nanoparticles Prepared by Heat Treatment of Cathodically Grown Yttrium Hydroxide // International Scholarly Research Notices. 2011. V. 2011. P. 542 104/1–54 2104/6. https://doi.org/10.5402/2011/542104
- Gavrilko T., Gnatyuk I., Puchkovska G., Baran J., Marchewka M., Morawska-Kowal T. Application of NIR spectroscopic method to the study of porous glasses filled with liquid crystals // Optica Applicata. 2003. V. 33. № 1. P. 23–32.
- Davis K.M., Tomozawa M. An infrared spectroscopic study of water-related species in silica glasses // Journal of Non-Crystalline Solids. 1996. V. 201. P. 177–198.
- Humbach O., Fabian H., Grzesik U., Haken U., Heitmann W. Analysis of OH absorption bands in synthetic silica // Journal of Non-Crystalline Solids. 1996. V. 203. P. 19–26.
- Никитин В.А., Сидоров А.Н., Карякин А.В. Исследование адсорбции обычной и тяжелой воды на микропоистом стекле по инфракрасным спектрам поглощения // Журн. физической химии. 1956. Т. 30. Вып. 1. С. 117–128.
- Nigara Y. Measurement of the Optical Constants of Yttrium Oxide // Japanese Journal of Applied Physics. 1968. V. 7. № 4. P. 404–408.
- Peng M., Zollfrank C., Wondraczek L. Origin of broad NIR photoluminescence in bismuthate glass and Bi-doped glasses at room temperature // J. Phys.: Condens. Matter. 2009. V. 21, article 285106. P. 1–6.
- Plotnichenko V.G., Philippovskiy D.V., Sokolov V.O., Golovanov V.F., Polyakova G.V., Lisitsky I.S., Dianov E.M. Infrared luminescence in bismuth-doped AgCl crystals // Optics Letters. 2013. V. 38. № 16. P. 2965–2968.
- Bae B.-S., Weinberg M.C. Optical absorption of copper phosphate glasses in the visible spectrum // Journal of Non-Crystalline Solids. 1994. V. 168. № 3. P. 223–231. https://doi.org/10.1016/0022-3093(94)90333-6
- Zotov N., Keppler H. The influence of water on the structure of hydrous sodium tetrasilicate glasses // American Mineralogist. 1998. V. 83. № 7–8. P. 823–834.
- Sokolov V.O., Plotnichenko V.G., Dianov E.M. Centers of near-IR luminescence in bismuth-doped TlCl and CsI crystals // Optics Express. 2013. V. 21. № 8. P. 9324–9332.
- Соломонов В.И., Осипов В.В., Шитов В.А., Лукьяшин К.Е., Бубнова А.С. Собственные центры люминесценции керамических иттрий-алюминиевого граната и оксида иттрия // Оптика и спектроскопия. 2020. Т. 128. Вып. 1. С. 5–9. https://doi.org/10.21883/OS.2020.01.48831.117-19
- Осипов В.В., Расулева А.В., Соломонов В.И. Люминесценция оксида иттрия // Оптика и спектроскопия. 2008. Т. 105. № 4. С. 578–584.
- Boutinaud P. On the luminescence of Bi3+ pairs in oxidic compounds // Journal of Luminescence. 2018. V. 197. P. 228–232. https://doi.org/10.1016/j.jlumin.2018.01.052
- Boutinaud P. Revisiting the Spectroscopy of the Bi3+ Ion in Oxide Compounds // Inorganic Chemistry. 2013. Vol. 52. P. 6028–6038. https://doi.org/10.1021/ic400382k
- Zhou S., Jiang N., Zhu B., Yang H., Ye S., Lakshminarayana G., Hao J., Qiu J. Multifunctional Bismuth-Doped Nanoporous Silica Glass: From Blue-Green, Orange, Red, and White Light Sources to Ultra-Broadband Infrared Amplifiers // Advanced Functional Materials. 2008. V. 18. № 9. P. 1407–1413.
- Krishnan M.L., Neethish M.M., Kumar V.V.R.K. Structural and optical studies of rare earth-free bismuth silicate glasses for white light generation // Journal of Luminescence. 2018. V. 201. P. 442–450.
- Dan H.K., Phan A.-L., Ty N.M., Zhou D., Qiu J. Optical bandgaps and visible/near-infrared emissions of Bin+-doped (n = 1, 2, and 3) fluoroaluminosilicate glasses via Ag+-K+ ions exchange process // Optical Materials. 2021. Vol. 112. P. 110762/1–110762/8.
- Swart H.C., Kroon R.E. Ultraviolet and visible luminescence from bismuth doped materials // Optical Materials: X. 2019. V. 2. P. 100025. https://doi.org/10.1016/j.omx.2019.100025
- Skuja L. Optically active oxygen-deficiency-related centers in amorphous silicon dioxide // Journal of Non-Crystalline Solids. 1998. V. 239. № 1–3. P. 16–48. https://doi.org/10.1016/s0022-3093(98)00720-0
- Зацепин А.Ф. Статика и динамика возбужденных состояний кислородно-дефицитных центров в SiO2 // Физика твердого тела. 2010. Т. 52. Вып. 6. С. 1104–1114. [Zatsepin A.F. Statics and dynamics of excited states of oxygen-deficient centers in SiO2 // Physics of the Solid State. 2010. V. 52. № 6. P. 1176–1187. doi: 10.1134/s1063783410060107].
- Hamzaoui H.El., Ouerdane Y., Bigot L., Bouwmans G., Capoen B., Boukenter A., Girard S., Bouazaoui M. Sol-gel derived ionic copper-doped microstructured optical fiber: a potential selective ultraviolet radiation dosimeter // Optics Express. 2012. V. 20. № 28. P. 29751–29760. https://doi.org/10.1364/oe.20.029751
- Borsella E., Vecchio A.D., Garcìa M.A., Sada C., Gonella F., Polloni R., Quaranta A., van Wilderen L.J.G.W. Copper doping of silicate glasses by the ion-exchange technique: A photoluminescence spectroscopy study // Journal of Applied Physics. 2002. V. 91. № 1. P. 90–98. https://doi.org/10.1063/1.1421241
- Švecová B., Vařák P., Vytykáčová S., Nekvindová P., Macková A., Malinský P., Böttger R. A study of the behaviour of copper in different types of silicate glasses implanted with Cu+ and O+ ions // Nuclear Instruments and Methods in Physics Research Section B: Beam Interactions with Materials and Atoms. 2017. V. 406. Part A. P. 193–198. https://doi.org/10.1016/j.nimb.2017.03.042
Қосымша файлдар








