Study of the Resistive Properties of Lead Silicate Glasses after Chemical Impact
- Autores: Ashkhotov O.G.1, Ashkhotova I.B.1, Magkoev T.T.2
-
Afiliações:
- Berbekov Kabardino-Balkarian State University
- Khetagurov North Ossetian State University
- Edição: Volume 49, Nº 3 (2023)
- Páginas: 287-293
- Seção: Articles
- URL: https://bakhtiniada.ru/0132-6651/article/view/139355
- DOI: https://doi.org/10.31857/S013266512360005X
- EDN: https://elibrary.ru/SQDODK
- ID: 139355
Citar
Texto integral
Resumo
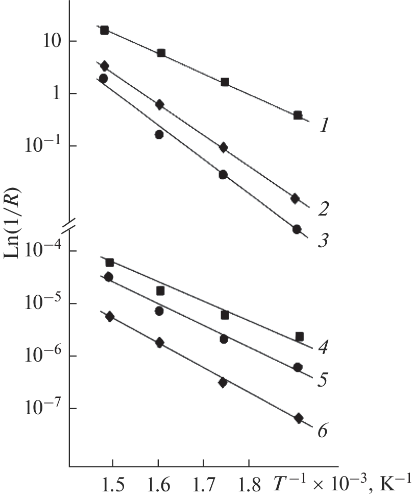
The change in the resistive characteristics of lead silicate glasses (LSGs) after treatment in alkaline and acid solutions is studied. It is established that the chemical treatment of glasses and, accordingly, blanks of microchannel plates (MCPs) affects the high-temperature ionic conductivity at a constant activation energy of electrical conductivity. It is shown that the treatment of glasses in NaOH and HF solutions can significantly change the electrical resistance.
Palavras-chave
Sobre autores
O. Ashkhotov
Berbekov Kabardino-Balkarian State University
Email: oandi@rambler.ru
360004, Nalchik, Kabardino-Balkarian Republic, Russia
I. Ashkhotova
Berbekov Kabardino-Balkarian State University
Email: oandi@rambler.ru
360004, Nalchik, Kabardino-Balkarian Republic, Russia
T. Magkoev
Khetagurov North Ossetian State University
Autor responsável pela correspondência
Email: oandi@rambler.ru
362025, Vladikavkaz, North Ossetia-Alania Republic, Russia
Bibliografia
- Кулов С.К. Микроканальные пластины. Владикавказ. СКГТУ. 2005 г.
- Арчегова О.Р., Ерёмина А.Ф., Эсенов Р.С. Донорно-акцепторная проводимость в свинцово-силикатных стеклах // Современные наукоемкие технологии. 2016. № 7-1. С. 15–20.
- Алкацева Т.Д. Закономерности формирования и минимизация дефектов электронного изображения микроканальных пластин: дис. … канд. техн. наук. Владикавказ, 1999. 236 с.
- Хатухов А.А., Ашхотов О.Г. Измерение сопротивления каналов микроканальных пластин с минимизацией токов утечки // Прикладная физика. 2003. № 4. С. 123–125.
- Ашхотова И.Б. Влияние физико-химических операций на процесс формирования исполнительной поверхности микроканальных пластин: дис. канд. техн. наук. Владикавказ, СКГТУ, 2003. 167 с.
- Хатухов А.А. Закономерности формирования резистивных свойств микроканальных пластин: дис. … канд. техн. наук. Владикавказ, СКГТУ, 2003. 137 с.
- Толмачев В.А., Окатов М.А., Пальчевский В.В., Константинова Г.В., Абакумова Р.А. Взаимодействие свинцовосиликатного стекла с разбавленными растворами плавиковой кислоты // Физика и химия стекла. 1990. Т. 16. № 1. С. 107–110.
Arquivos suplementares






