Анизотропия термического расширения оксобората варвикита
- Авторы: Бирюков Я.П.1, Бубнова Р.С.1, Филатов С.К.2
-
Учреждения:
- Институт химии силикатов им. И.В. Гребенщикова РАН
- Санкт-Петербургский государственный университет
- Выпуск: Том 49, № 5 (2023)
- Страницы: 538-545
- Раздел: Статьи
- URL: https://bakhtiniada.ru/0132-6651/article/view/139347
- DOI: https://doi.org/10.31857/S0132665123600231
- EDN: https://elibrary.ru/OMVJEZ
- ID: 139347
Цитировать
Полный текст
Аннотация
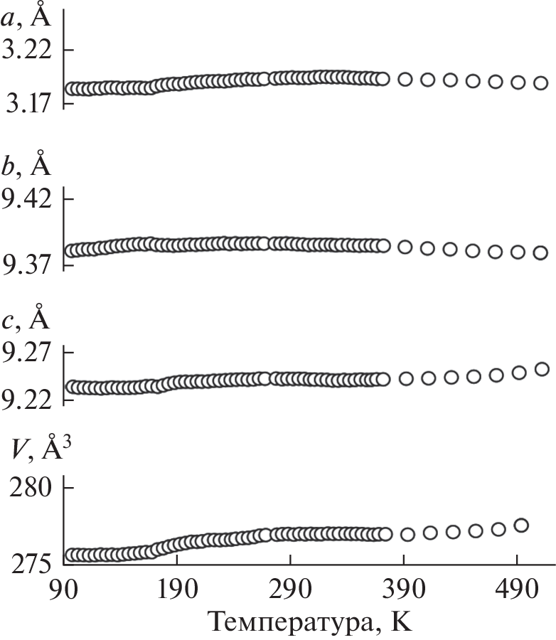
В настоящей работе оксоборат переходных металлов варвикит (Fe2+,Mg)Fe3+(BO3)O впервые исследован методом порошковой терморентгенографии в интервале температур от 93 до 513 K. Выявлен резко анизотропный характер термического расширения. Приводится структурная трактовка механизма расширения как с позиций вклада катионных, так и оксоцентрированных полиэдров.
Ключевые слова
Об авторах
Я. П. Бирюков
Институт химии силикатов им. И.В. Гребенщикова РАН
Email: y.p.biryukov@gmail.com
Россия, 199034, наб. Макарова, 2, Санкт-Петербург
Р. С. Бубнова
Институт химии силикатов им. И.В. Гребенщикова РАН
Email: rimma_bubnova@mail.ru
Россия, 199034, Санкт-Петербург, наб. Макарова, 2
С. К. Филатов
Санкт-Петербургский государственный университет
Автор, ответственный за переписку.
Email: filatov.stanislav@gmail.com
Россия, 199034, Санкт-Петербург, Университетская наб., 7/9
Список литературы
- Balaev A.D., Bayukov O.A., Vasil’ev A.D., Velikanov D.A., Ivanova N.B., Kazak N.V., Ovchinnikov S.G., Abd-Elmeguid M., Rudenko V.V. Magnetic and electrical properties of Fe1.91V0.09BO4 warwickite // J. of Experimental and Theoretical Physics. 2003. V. 97. P. 989–995.
- Platunov M.S., Kazak N.V., Knyazev Yu.V., Bezmaternykh L.N., Moshkina E.M., Trigub A.L., Veligzhanin A.A., Zubavichus Y.V., Solovyov L.A., Velikanov D.A., Ovchinnikov S.G. Effect of Fe-substitution on the structure and magnetism of single crystals Mn2–xFexBO4 // Journal of Crystal Growth. 2017. V. 475. P. 239–246.
- Kazak N.V., Belskaya N.A., Moshkina E.M., Bezmaternykh L.N., Vasiliev A.D., Sofronova S.N., Eremina R.M., Eremin E.V., Muftakhutdinov A.R., Cherosov M.A., Ovchinnikov S.G. Antiferromagnetism of the cation-ordered warwickite system Mn2–xMgxBO4 (x = 0.5, 0.6 and 0.7) // Journal of Magnetism and Magnetic Materials. 2020. V. 507. P. 166820.
- Attfield J. Paul, Clarke John F., Perkins David A. Magnetic and crystal structures of iron borates // Physica B: Condensed Matter. 1992. V. 180–181. № 2. P. 581–584.
- Shimomura S., Nakamura S., Ikeda N., Kaneko E., Kato K., Kohn K. Structural properties of a mixed valence compound Fe2BO4 // Journal of Magnetism and Magnetic Materials. 2017. V. 310. № 2. P. 793–795.
- Руднев В.В. Моноклинные железо-магниевые оксибораты гулситовой изоморфной серии // ЗВМО. 1996. № 1. С. 89–109.
- Кривовичев С.В., Филатов С.К., Семенова Т.Ф. Типы катионных комплексов на основе оксоцентрированных тетраэдров [OM4] в кристаллических структурах неорганических соединений // Усп. хим. 1998. Т. 67. № 2. С. 155–174.
- Бирюков Я.П., Бубнова Р.С., Филатов С.К., Гончаров А.Г. Синтез и термическое поведение оксобората Fe3O2(BO4) // Физика и химия стекла. 2016. Т. 42. С. 284–290.
- Бирюков Я.П., Филатов С.К., Вагизов Ф.Г., Зинатуллин А.Л., Бубнова Р.С. Термическое расширение антиферромагнетиков FeBO3 и Fe3BO6 вблизи температуры Нееля // Журн. структурной химии. 2018. Т. 59. С. 2041–2048.
- Бирюков Я.П., Бубнова Р.С., Дмитриева Н.В., Филатов С.К. Термическое поведение антиферромагнетиков FeBO3 и Fe3BO6 при отрицательных температурах // Физика и химия стекла. 2019. Т. 45. С. 184–188.
- Ehrenfest P. Phasenumwandlungen im weblichen und erweiterten Sinn, classifiziert nach den entsprechenden Singullaritaeten des thermodynamischen Potentiales // Proceedings Royal Acad. Amsterdam. 1933. V. 36. P. 153–157.
- Biryukov Y.P., Zinnatullin A.L., Bubnova R.S., Vagizov F.G., Shablinskii A.P, Filatov S.K., Shilovskikh V.V., Pekov I.V. Investigation of thermal behavior of mixed-valent iron borates vonsenite and hulsite containing [OM4]n+ and [OM5]n+ oxocentred polyhedra by in situ high-temperature Mossbauer spectroscopy, X-ray diffraction and thermal analysis // Acta Cryst. B. 2020. B76. № 4. P. 543–553.
- Biryukov Y.P., Zinnatullin A.L., Cherosov M.A., Shablinskii A.P., Yusupov R.V., Bubnova R.S., Vagizov F.G., Filatov S.K., Avdontceva M.S., Pekov I.V. Low-temperature investigation of natural iron-rich oxoborates vonsenite and hulsite: thermal deformations of crystal structure, strong negative thermal expansion and cascades of magnetic transitions // Acta Cryst. B. 2021. B77. P. 1021–1034.
- Biryukov Y.P., Zinnatullin A.L., Levashova I.O., Shablinskii A.P., Cherosov M.A., Bubnova R.S., Vagizov F.G., Krzhizhanovskaya M.G., Filatov S.K., Shilovskikh V.V., Pekov I.V. X-ray diffraction and Mossbauer spectroscopy study of oxoborate azoproite (Mg,Fe2+)2(Fe3+,Ti,Mg,Al)O2(BO3): an in situ temperature-dependent investigation (5 ≤ T ≤ 1650 K) // Acta Cryst. B. 2022. B78. P. 809–816.
- Bubnova R.S., Firsova V.A., Volkov S.N., Filatov S.K. RietveldToTensor: Program for Processing Powder X-Ray Diffraction Data under Variable Conditions // Glass Phys. Chem. 2018. V. 44. P. 33–40.
- Momma K., Izumi F. VESTA 3 for three-dimensional visualization of crystal, volumetric and morphology data // J. Appl. Crystallogr. 2011. V. 44. P. 1272–1276.
- Chezhina N., Korolev D., Bubnova R., Biryukov Y., Glumov O., Semenov V. Electronic structure of diluted SrFexTi1–xO3–δ solid solutions / J. of Solid State Chemistry. 2019. V. 274. P. 259–264.
- Bubnova R.S., Filatov S.K. High-Temperature borate crystal chemistry // Zeitschrift Fur Krist. 2013. V. 228. P. 395–428.
- Shannon R.D. Revised effective ionic radii and systematic studies of interatomic distances in halides and chalcogenides // Acta Cryst. A. 1976. V. 32. № 5. P. 751–767.
- Bubnova R., Volkov S., Albert B., Filatov S. Borates – crystal structures of prospective nonlinear optical materials: high anisotropy of the thermal expansion caused by anharmonic atomic vibrations // Crystals. 2017. V. 7. P. 1–32.
Дополнительные файлы








