Coordination Compounds of 3d Metals with 2,4-Dimethylpyrazolo[1,5-а]benzimidazole: Magnetic and Biological Properties
- Authors: Shakirova O.G.1,2, Kuz’menko T.A.3, Kurat’eva N.V.1, Klyushova L.S.4, Lavrov A.N.1, Lavrenova L.G.1
-
Affiliations:
- Nikolaev Institute of Inorganic Chemistry, Siberian Branch, Russian Academy of Sciences
- Komsomolsk-on-Amur State University
- Institute of Physical and Organic Chemistry, Southern Federal University
- Institute of Molecular Biology and Biophysics, Federal Research Center for Fundamental and Translational Medicine
- Issue: Vol 50, No 11 (2024)
- Pages: 773-786
- Section: Articles
- URL: https://bakhtiniada.ru/0132-344X/article/view/273433
- DOI: https://doi.org/10.31857/S0132344X24110033
- EDN: https://elibrary.ru/LMVCGZ
- ID: 273433
Cite item
Abstract
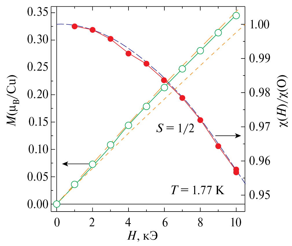
New coordination compounds of copper(I), copper(II), cobalt(II), and nickel(II) with 2,4-dimethylpyrazolo[1,5-а]benzimidazole (L) were synthesized and studied. The complexes [CuLCl] (I), [CuLBr] (II), [CuL2Cl2] (III), [CuL2(NO3)2] · H2O (IV), [CoL2Cl2] · 0,5H2O (V), [CoL2(NO3)2] · · 0,5H2O (VI), and [NiL2(NO3)2] · 0,5H2O (VII) were studied by IR spectroscopy and powder and single crystal X-ray diffraction (CCDC nos. 2321779 ([CuL2Cl2]), 2321780 ([CoL2(NO3)2])). The results indicate that the coordination polyhedron in 2,4-dimethylpyrazolo[1,5-a]benzimidazole complexes is formed by the nitrogen atoms of the monodentate ligand and the coordinated anion. The cytotoxic and cytostatic properties of L and complexes I–III were studied in relation to the HepG2 hepatocellular carcinoma cells.
Full Text
About the authors
O. G. Shakirova
Nikolaev Institute of Inorganic Chemistry, Siberian Branch, Russian Academy of Sciences; Komsomolsk-on-Amur State University
Author for correspondence.
Email: Shakirova_Olga@mail.ru
Russian Federation, Novosibirsk; Komsomolsk-on-Amur
T. A. Kuz’menko
Institute of Physical and Organic Chemistry, Southern Federal University
Email: Shakirova_Olga@mail.ru
Russian Federation, Rostov-on-Don
N. V. Kurat’eva
Nikolaev Institute of Inorganic Chemistry, Siberian Branch, Russian Academy of Sciences
Email: ludm@niic.nsc.ru
Russian Federation, Novosibirsk
L. S. Klyushova
Institute of Molecular Biology and Biophysics, Federal Research Center for Fundamental and Translational Medicine
Email: Shakirova_Olga@mail.ru
Russian Federation, Novosibirsk
A. N. Lavrov
Nikolaev Institute of Inorganic Chemistry, Siberian Branch, Russian Academy of Sciences
Email: ludm@niic.nsc.ru
Russian Federation, Novosibirsk
L. G. Lavrenova
Nikolaev Institute of Inorganic Chemistry, Siberian Branch, Russian Academy of Sciences
Email: ludm@niic.nsc.ru
Russian Federation, Novosibirsk
References
- Selivanova G.A., Tretyakov E.V. // Russ. Chem. Bull. 2020. V. 69. № 5. P. 838. https://doi.org/10.1007/s11172-020-2842-3
- Proshin A.N., Trofimova T.P., Zefirova O.N. et al. // Russ. Chem. Bull. 2021. V. 70. № 3. P. 51. https://doi.org/10.1007/s11172-021-3116-4]
- Kokorekin V.A., Khodonov V.M., S. V. Neverov S.V. et al. // Russ. Chem. Bull. 2021. V. 70. № 3. С. 600. https://doi.org/10.1007/s11172-021-3131-5
- Sadaf H., Fettouhi M., Fazal A. et al. // Polyhedron. 2019. V. 70. Р. 537. https://doi.org/10.1016/j.poly.2019.06.025
- Muñoz-Patiño N., Sanchez-Eguia B.N., Araiza-Olivera D. et al. // J. Inorg. Biochem. 2020. V. 211. Р. 111198). https://doi.org/10.1016/j.jinorgbio.2020.111198
- Chkirate K., Karrouchi K., Dede N. et al. // New J. Che m. 2020. V. 44. Р. 2210. https://doi.org/10.1039/C9NJ05913J
- Masaryk L., Tesarova B., Choquesillo-Lazarte D. et al. // J. Inorg. Biochem. 2021. V. 217. Р. 111395). https://doi.org/10.1016/j.jinorgbio.2021.111395
- Aragón-Muriel A., Liscano Y., Upegui Y. et al. // Antibiotics. 2021. V. 1. № 6. Р. 728). https://doi.org/10.3390/antibiotics10060728
- Alterhoni E., Tavman A., Hacioglu M. et al. // J. Mol. Struct. 2021. V. 1229. Р. 129498). https://doi.org/10.1016/j.molstruc.2020.129498
- Raducka A., Świątkowski M., Korona-Głowniak I. et al. // Int. J. Mol. Sci. 2022. V. 23. № 12. Р. 6595). https://doi.org/10.3390/ijms23126595
- Üstün E., Şahin N., Özdemir İ. et al. // Arch. Pharm. 2023. Art. e2300302). https://doi.org/10.1002/ardp.202300302
- Elkanzi N.A., Ali A.M., Albqmi M. et al. // J. Organomet. Chem. 2022. V. 36. № 11. Art. e6868). https://doi.org/10.1002/aoc.6868
- Šindelář Z., Kopel P. // Inorganics. 2023. V. 11. № 3. Р. 113. https://doi.org/10.3390/inorganics11030113
- Rogala P., Jabłońska-Wawrzycka A., Czerwonka G. et al. // Molecules. 2022. V. 28. № 1. Р. 40). https://doi.org/10.3390/molecules28010040
- Helaly A., Sahyon H., Kiwan H. et al. // Biointerface Res. Appl. Chem. 2023. V. 13. № 4. Р. 365). https://doi.org/10.33263/BRIAC134.365
- Sączewski F., Dziemidowicz-Borys E.J., Bednarski P.J. et al. // J. Inorg. Biochem. 2006. V. 100. № 8. Р. 1389). https://doi.org/10.1016/j.jinorgbio.2006.04.002
- Volykhina V.E., Shafranovskaya E.V. Vestn. Vitebsk. Gos. Med. Un-ta, 2009, vol. 8, no. 4, p. 6.
- Farmer K.J., Sohal R.S. // Free Radic. Biol. Med. 1989. V. 7. № 1. Р. 23. https://doi.org/10.1016/0891-5849(89)90096-8
- Rusting R.L. // Sci. Am. 1992. V. 2 67. № 6. Р. 130. https://www.jstor.org/stable/24939339
- Lavrenova L.G., Kuz’menko T.A., Ivanova A.D. et al. // New J. Chem. 2017. 41. № 11. Р. 4341. https://doi.org/10.1039/c7nj00533d
- Dyukova I.I., Lavrenova L.G., Kuz’menko T.A. et al. // Inorg. Chim. Acta. 2019. V. 486. Р. 406. https://doi.org/10.1016/j.ica.2018.10.064
- Dyukova I.I., Kuz’menko T.A., Komarov V.Yu. et al. // Russ. J. Coord. Chem. 2018. V. 44. № 12. Р. 755. https://doi.org/10.1134/s107032841812014x
- Ivanova A.D., Kuz’menko T.A., Smolentsev A.I. et al. // Russ. J. Coord. Chem. 2021. V. 47. № 11. Р. 751. https://doi.org/10.1134/S1070328421110026
- Ivanova A.D., Komarov V.Y., Glinskaya L.A. еt al. // Russ. Chem. Bull. 2021. V. 70. № 8. Р. 1550. https://doi.org/10.1007/s11172-021-3251-y
- Kuz’menko V.V., Komissarov V.N., Simonov A.M. // Chem. Heterocycl. Comp. 1980. V. 16. № 6. Р. 34. https://doi.org/10.1007/pl00020455
- APEX2 (version 2012.2–0), SAINT (version 8.18c), and SADABS (version 2008/1) In Bruker Advanced X-ray Solutions. Madison (WI, USA): Bruker AXS Inc., 2000–2012.
- Sheldrick G.M. // Acta Crystallogr. C. 2015. V. 71. P. 3. https://doi.org/10.1107/S2053229614024218
- Klyushova L.S., Golubeva Yu.A., Vavilin V.A., Grishanova A.Yu. Acta Biomed. Sci., 2022, vol. 7, no. 5–2, p. 31. https://doi.org/10.29413/ABS.2022-7.5-2.4
- Nakamoto K. Infrared and Raman Spectra of Inorganic and Coordination Compounds. New York (NY, USA): J. Wiley & Sons Inc., 1986.
- Lever A.B.P. Inorganic Electronic Spectroscopy. Amsterdam (The Netherlands): Elsevier, 1985.
- Lavrenova L.G., Ivanova A.I., Glinskaya L.A. et al. // Chem. Asian J. 2023. V. 18. Art. e202201200. https://doi.org/10.1002/asia.202201200
- Bonner J.C., Fisher M.E. // Phys. Rev. 1964. V. 135. № 3A. A640. https://doi.org/10.1103/PhysRev.135.A640
- Wilkening S., Stahl F., Bader A. // Drug. Metab. Dispos. 2003. V. 31. № 8. Р. 1035. https://doi.org/10.1124/dmd.31.8.1035
- Donato M.T., Tolosa L., Gómez-Lechó M.J. // Methods Mol. Biol. 2015. № 1250. Р. 77. https://doi.org/10.1007/978-1-4939-2074-7_5
- Nekvindova J., Mrkvicova A., Zubanova V. et al. // Biochem. Pharmacol. 2020. V. 177. No 113912. https://doi.org/10.1016/j.bcp.2020.113912
- Shen H., Wu H., Sun F. et al. // Bioengineered. 2021. V. 12. № 1. Р. 240. https://doi.org/10.1080/21655979.2020.1866303
- Donato M.T., Jover R., Gómez-Lechón M.J. // Curr. Drug. Metab. 2013. V. 14. № 9. P. 946. https://doi.org/10.2174/1389200211314090002
- LiverTox: Clinical and Research Information on Drug-Induced Liver Injury [Internet]. Carboplatin. Bethesda (MD): National Institute of Diabetes and Digestive and Kidney Diseases, 2012. https://www.ncbi.nlm.nih.gov/books/NBK548565/
- LiverTox: Clinical and Research Information on Drug-Induced Liver Injury [Internet]. Cisplatin. Bethesda (MD): National Institute of Diabetes and Digestive and Kidney Diseases, 2012. https://www.ncbi.nlm.nih.gov/books/NBK548160/
Supplementary files















