3,6-дипиридил-1,2,4,5-тетразин в синтезе металл-органических координационных полимеров цинка и кадмия с лигандами анилатного типа
- Авторы: Трофимова О.Ю.1, Колеватов Д.С.1, Дружков Н.О.1, Малеева А.В.1, Якушев И.А.2, Дороватовский П.В.3, Пискунов А.В.1
-
Учреждения:
- Институт металлоорганической химии им. Г.А. Разуваева РАН
- Институт общей и неорганической химии им. Н.С. Курнакова РАН
- Национальный исследовательский центр “Курчатовский институт”
- Выпуск: Том 50, № 9 (2024)
- Страницы: 544-556
- Раздел: Статьи
- URL: https://bakhtiniada.ru/0132-344X/article/view/272421
- DOI: https://doi.org/10.31857/S0132344X24090023
- EDN: https://elibrary.ru/LXRVWE
- ID: 272421
Цитировать
Полный текст
Аннотация
Методом двуступенчатого синтеза получены новые гетеролептические металл-органические координационные полимеры (МОКП) цинка (3D-МОКП) и кадмия (2D-МОКП) состава: [[Zn(pQ)(DPT)] · 2DMF (I) и [Cd2(NO3)2(pQ)(DPT)3] · 2DMF · 2MeOH (II), где pQ — дианион 2,5-дигидрокси-3,6-ди-трет-бутил-пара-бензохинона, DPT — 3,6-ди(пиридин-4-ил)-1,2,4,5-тетразин, DMF — N,N-диметилформамид. Структура соединений изучена методом РСА (CCDC № 2332754 (I), 2332755 (II)). Термическая стабильность МОКП изучена термогравиметрическим анализом.
Полный текст
Металл-органические координационные полимеры являются объектами интенсивного изучения в последние несколько десятилетий (МОКП) [1–4]. С каждым годом количество полученных МОКП увеличивается на десятки тысяч. Высокий интерес к данной тематике обусловлен перспективами широкого применения МОКП в качестве различного рода функциональных материалов [5–9]. В частности, сами координационные полимеры и композиты на их основе могут быть использованы в качестве различного рода сорбентов [6, 10–13], гетерогенных катализаторов и фотокатализаторов [13–16], электрохимических или фотофизических сенсоров [7, 17–19], люминесцентных [20–23], электропроводных [24–26] и магнитных материалов [4, 27–31]. Природа ионов металлов и органических лигандов, участвующих в построении координационных полимеров, оказывает непосредственное влияние на структуру, топологию и свойства получаемых производных. В связи с этим перспективным направлением развития химии МОКП является создание и изучение свойств соединений, содержащих два и более лигандов различных типов в составе одного производного.
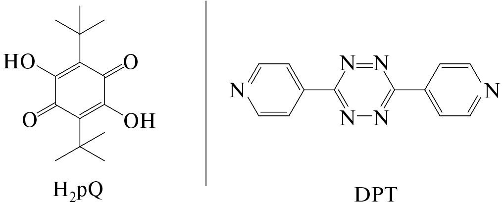
Редокс-активные координационные полимеры вынесены в отдельный подкласс МОКП [24, 32]. Одними из популярных лигандов, применяемых для создания редокс-активных систем, являются лиганды анилатного типа — производные 2,5-ди-гидрокси-пара-бензохинона с различными заместителями в положениях 3 и 6 хинонового фрагмента [3, 33, 34]. Применение 2,5-ди-гидрокси-3,6-ди-трет-бутил-пара-бензохинона (H2pQ) (схема 1) для построения координационных полимеров началось несколько лет назад [35–40], ранее на его основе были получены моноядерные производные трифенилсурьмы(V) [41] и биядерные комплексы олова, никеля, железа и кобальта [42–44]. Отличительной особенностью этого лиганда является наличие стерически затрудненной алкильной группы в положениях 3 и 6 кольца, что позволяет не только получать каркасные соединения новых топологий, но и стабилизировать продукты его окислительно-восстановительных превращений [45]. В качестве дополнительного N-донорного органического линкера в синтезе гетеролептических МОКП цинка и кадмия в настоящей работе был выбран 3,6-ди(пиридин-4-ил)-1,2,4,5-тетразин (DPT) (схема 1).
Схема 1. Органические лиганды, использованные для синтеза МОКП цинка и кадмия.
3,6-Ди(пиридин-4-ил)-1,2,4,5-тетразин является популярным редокс-активным лигандом в синтезе МОКП цинка и кадмия. На его основе получены как гомолептические координационные полимеры [46, 47], так и гетеролептические производные [48, 49], содержащие различные дикарбоксилатные линкеры в составе мономерного звена. Смешаннолигандные производные цинка и кадмия демонстрируют отличные сорбционные [50–55] и люминисцентные [56, 57] свойства, определяемые наличием в их составе DPT. Так, в работе [58] показано увеличение сорбционных свойств каркасного МОКП цинка на основе редокс-активного DPT и 2,6-нафталиндикарбоновой кислоты при его восстановлении нафталенидами щелочных металлов. Отметим, что на данный момент в литературе нет данных по синтезу и изучению свойств гетеролептических МОКП, включающих в состав звена одновременно лиганды тетразинового и анилатного типов.
В настоящей работе сообщается о синтезе и изучении структурных особенностей новых гетеролептических металл-органических координационных полимеров цинка и кадмия на основе анилатных лигандов и 3,6-ди(пиридин-4-ил)-1,2,4,5-тетразина. Получены и охарактеризованы производные состава: [Zn(pQ)(DPT)] · 2DMF (I) и [Cd2(NO3)2(pQ)(DPT)3] · · 2DMF · 2MeOH (II), где pQ — дианион 2,5-дигидрокси-3,6-ди-трет-бутил-пара-бензохинона, DPT — 3,6-дипиридил-1,2,4,5-тетразин, DMF — N,N-диметилформамид.
ЭКСПЕРИМЕНТАЛЬНАЯ ЧАСТЬ
ИК-спектры регистрировали на ИК Фурье-спектрометре ФСМ-1201 (суспензии в вазелиновом масле; кюветы KBr). Элементный анализ выполняли на приборе Elementar Vario El cube. Рентгенофазовый анализ выполняли на дифрактометре Tongda TD-3700. Исследование методом термогравиметрического анализа соединений проводили на приборе Mettler Toledo TGA/DSC3+ при температуре 30–700°C в атмосфере азота (тигель из поликристаллической окиси алюминия), скорость нагрева — 5°C/мин. В работе применяли коммерческие реактивы: DMF, MeOH, Zn(NO3)2 · 6H2O, Cd(NO3)2 · 4H2O. 2,5-Ди-гидрокси-3,6-ди-трет-бутил-пара-бензохинон (H2pQ) синтезировали согласно известной методике [42]. Лиганд DPT получали по методике, описанной в работе [59].
Синтез [Zn(pQ)(DPT)] · 2DMF (I) и [Cd2(NO3)2 (pQ)(DPT)3] · 2DMF · 2MeOH (II)
Zn(NO3)2 · 6H2O (0.0119 г, 0.04 ммоль) или Cd(NO3)2 · 4H2O (0.0123 г, 0.04 ммоль) приводили во взаимодействие с 3,6-дипиридил-1,2,4,5-тетразином (0.0095 г, 0.04 ммоль) при 60°С в 3 мл метанола при постоянном перемешивании. Далее к реакционной смеси добавляли раствор H2pQ (0.0101 г, 0.04 ммоль) в 3 мл DMF и нагревали в стеклянной виале при 50°С в течение 3 сут. Полученные ярко окрашенные розовые кристаллы [Zn(pQ)(DPT)] · 2DMF (I) и [Cd2(NO3)2(pQ)(DPT)3] · 2DMF · 2MeOH (II) собирали на фильтре Шотта, промывали 2 мл DMF и сушили на воздухе. Структура полученных МОКП исследована методом рентгеноструктурного анализа (РСА). Фазовая чистота производных подтверждена данными элементного анализа и рентгенофазового анализа. Согласно данным РСА, в порах соединений I и II содержится "гостевой" растворитель, который не покидает поры при высушивании образцов на воздухе.
Выход I 58%; выход II 61%. Найдено, %: C 55.52; H 5.63; N 15.40; Для C32H40N8O6Zn (I) вычислено, %: C 55.06; H 5.78; N 16.05.
ИК-спектр (ν, см–1): 1682 с, 1609 ср, 1468 с, 1433 с, 1385 ср, 1337 с, 1217 ср, 1202 ср, 1177 ср, 1088 ср, 1057 ср, 1018 ср, 991 сл, 972 с, 916 ср, 906 ср, 839 с, 804 сл, 791 сл, 659 с, 607 с, 519 с.
Найдено, %: C 45.90; H 4.38; N 20.21. Для C58H64N22O16Cd2 вычислено, %: C 45.89; H 4.25; N 20.30.
ИК-спектр (ν, см–1): 3450 ср. широкая, 1678 с, 1607 с, 1491 с, 1412 с, 1347 с, 1323 с, 1289 с, 1265 ср, 1223 ср, 1209 ср, 1117 ср, 1090 ср, 1057 с, 1032 ср, 1015 ср, 920 с, 906 ср, 887 сл, 864 сл, 845 с, 818 ср, 808 сл, 793 сл, 661 ср, 605 с, 549 сл, 505 сл, 491 сл.
РСА. МОКП I и II проведен на рентгеновском пучке станции "Белок" [60] Курчатовского центра синхротронного излучения в Национальном исследовательском центре “Курчатовский институт” (Москва, Россия) при 100 K (λ = 0.74500 Å). Первичное определение параметров элементарной ячейки, их уточнение, интегрирование интенсивностей экспериментальных отражений и учет поправки на поглощение выполнены с использованием программного комплекса XDS [61]. Структуры решены прямыми методами [62] и уточнены полноматричным методом наименьших квадратов по F2 [63] в анизотропном приближении для всех неводородных атомов. В уточнении разупорядоченной трет-бутильной группы в структуре I использованы ограничения на геометрические (SADI) и тепловые смещения атомов углерода (RIGU, SIMU), а в структуре II для моделирования разупорядочения атомов углерода молекул кристаллизационного DMF также использовано ограничение на изменение тепловых параметров (EADP). Атомы водорода помещены в расчетные положения и уточнены в изотропном приближении в модели "наездника" с Uизо(H) = 1.5Uэкв(C) для атомов водорода метильных групп и Uизо(H) = 1.2Uэкв(C) для остальных атомов водорода. Расчеты выполнены в среде визуализации и обработки структурных данных OLEX2 [64]. Кристаллографические данные, параметры рентгеноструктурных экспериментов и уточнения структур приведены в табл. 1, значения избранных длин связей DMF — в табл. 2.
Таблица 1. Кристаллографические данные, параметры рентгеноструктурного эксперимента и уточнения структур I–II
Параметр | Значение | |
I | II | |
Брутто формула | C32H40N8O6Zn | C29H32N11O7Cd |
Размеры кристалла, мм | 0.340 × 0.120 × 0.090 | 0.120 × 0.060 × 0.030 |
Кристаллическая система | Моноклинная | Триклинная |
Пр. группа | P21/c | P¯1 |
а, Å | 10.4424(12) | 11.4169(13) |
b, Å | 23.2270(17) | 12.3656(7) |
c, Å | 13.9828(13) | 13.318(2) |
α, град | 90 | 104.989(5) |
β, град | 94.218(7) | 110.630(14) |
γ, град | 90 | 107.299(5) |
V, Å3 | 3382.3(6) | 1534.8(3) |
Z | 4 | 2 |
ρ(выч.), г/см3 | 1.371 | 0.876 |
µ, мм–1 | 0.879 | 1.642 |
θmin–θmax, град | 1.785–31.079 | 1.979–1.106 |
Число наблюдаемых отражений | 34320 | 32467 |
Число независимых отражений (I > 2σ(I)) | 9402 | 8463 |
Rint | 0.0458 | 0.0277 |
S(F2) | 1.039 | 1.052 |
R1/wR2 (F2 > 2σ(F2)) | 0.0486/0.1237 | 0.0468/0.1273 |
R1/wR2 (по всем отражениям) | 0.0849/0.1420 | 0.0523/0.1323 |
Δρmax / Δρmin, e/Å3 | 0.688/–1.002 | 1.037/–1.790 |
Таблица 2. Избранные длины связей (Å) в комплексах I–II*
Связь | d, Å | Связь | d, Å |
I | II | ||
Zn(1)-O(1) | 2.0464(16) | Cd(1)-O(1) | 2.397(2) |
Zn(1)-O(3) | 2.0491(16) | Cd(1)-O(3) | 2.608(3) |
Zn(1)-O(2A) | 2.0747(15) | Cd(1)-O(4) | 2.289(2) |
Zn(1)-O(4B) | 2.0946(15) | Cd(1)-O(5A) | 2.289(2) |
Zn(1)-N(1) | 2.1478(18) | Cd(1)-N(2) | 2.317(3) |
Zn(1)-N(6C) | 2.169(2) | Cd(1)-N(7B) | 2.337(3) |
O(1)-C(1) | 1.269(3) | Cd(1)-N(8) | 2.472(3) |
O(2A)-C(3A) | 1.253(3) | O(4)-C(1) | 1.258(3) |
O(3)-C(8) | 1.266(3) | O(5A)-C(3A) | 1.271(3) |
O(4B)-C(10B) | 1.256(3) | C(1)-C(2) | 1.413(4) |
C(1)-C(2) | 1.387(3) | C(1)-C(3A) | 1.544(4) |
C(1)-C(3A) | 1.556(3) | C(2)-C(3) | 1.402(4) |
C(2)-C(3) | 1.411(3) | ||
C(8)-C(9) | 1.389(3) | ||
C(8)-C(10B) | 1.553(3) | ||
C(9)-C(10) | 1.408(3) | ||
*Преобразования симметрии, используемые для создания эквивалентных атомов:
(A) –x + 2, –y + 1, –z; (B) –x + 2, –y + 1, –z + 1; (C) x + 1, –y + 3/2, z — 1/2 (I).
(A) –x, –y + 1, –z + 2; (B) x, y + 1, z + 1 (II).
Структуры зарегистрированы в Кембриджском банке структурных данных (CCDC № 2332754 (I), 2332755 (II) и доступны по адресу: ccdc.cam.ac.uk/structures).
РЕЗУЛЬТАТЫ И ИХ ОБСУЖДЕНИЕ
Методом двуступенчатого термального синтеза получены два новых гетеролептических металл-органических координационных полимера цинка и кадмия состава: [Zn(pQ)(DPT)] · 2DMF (I) и [Cd2(NO3)2(pQ)(DPT)3] · 2DMF · 2MeOH (II) (схема 2). На первой стадии синтеза в среде метанола происходит координация нейтральных N-донорных лигандов на ион металла. Далее в реакционную смесь вводится растворенный в среде DMF анилатный лиганд H2pQ. Нагревание полученной реакционной смеси в стеклянной виале проводили при 50°С в течение 3 суток.
Схема 2. Синтез гетеролептических МОКП I и II.
Гетеролептические производные цинка и кадмия выделены из реакционной смеси в виде ярко-розовых кристаллов. Структура полученных соединений определена методом РСА монокристаллических образцов. Фазовая чистота подтверждена данными элементного и рентгенофазового анализов.
МОКП I и II, полученные по одинаковой методике, существенно различаются как по составу, так и по топологии построения МОКП. Если в случае производного цинка происходит полное замещение нитрат-ионов дианионами ди-гидрокси-пара-хинона, то при образовании координационного полимера кадмия вытесняется лишь один из двух неорганических анионов. Молекулярное строение звеньев МОКП I и II представлено на рис. 1 и 2. Согласно данным РСА-анализа, соединение I кристаллизуется в моноклинной группе симметрии P21/c и является каркасным производным с топологией решетки — dia. МОКП II кристаллизуется в триклинной группе симметрии P¯1 и представляет собой сетчатый полимер с топологией сети — sql. Анализ топологии полученных МОКП произведен с использованием программного обеспечения (www.topcryst.com), разработанного группой под руководством В.А. Блатова [65–67].
Рис. 1. Молекулярное строение звена и полиэдр МОКП I. Тепловые эллипсоиды приведены с 50%-ной вероятностью. Атомы водорода и "гостевые" молекулы DMF не изображены.
Рис. 2. Молекулярное строение звена и полиэдр МОКП II. Тепловые эллипсоиды приведены с 50%-ной вероятностью. Атомы водорода и "гостевые" молекулы DMF и MeOH не изображены.
Цинк в [Zn(pQ)(DPT)] · 2DMF имеет шестикоординационное октаэдрическое окружение, образованное четырьмя атомами кислорода двух анилатных лигандов и двумя атомами азота двух тетразиновых линкеров (рис. 1). Кадмий в [Cd2(NO3)2(pQ)(DPT)3] · 2DMF · 2MeOH имеет координационное число, равное семи (рис. 2). Элементарное звено формируется путем связывания двух катионов кадмия депротонированным мостиковым дигидрокси-пара-хиноновым лигандом. При этом на атомах металла сохраняется по одной нитратной группе, а дополняют координационную сферу металла три мостиковых бис(пиридил)тетразина. Координация дополнительного нейтрального линкера на ион кадмия хорошо согласуется с увеличением ковалентного радиуса металла в сравнении с цинком (r(Cd) = 1.44 Å, r(Zn) = 1.22 Å [68]). Координационное окружение кадмия представляет собой искаженную пентагональную бипирамиду, экваториальную плоскость которой формируют кислородные атомы одного анилатного лиганда, два кислорода бидентатно связанного нитрат-аниона и один атом азота тетразинового лиганда. В вершинах пирамиды расположены атомы азота двух других тетразиновых линкеров.
Дианионы дигидрокси-пара-хинонов pQ2– в МОКП цинка и кадмия состоят из двух делокализованных π-электронных систем, соединенных одиночными связями C–C. Такая делокализация электронной плотности характерна для мостиковой природы связывания анилатных лигандов. Интервал расстояний для одиночных связей С–С в анилатных дианионах для I и II составляет 1.553–1.556 Å (табл. 2). Другие расстояния C–C шестичленных циклов анилатных линкеров лежат в узком диапазоне 1.387–1.413 Å. Межатомные расстояния C–O имеют промежуточные значения между таковыми для двойных и одинарных связей кислород–углерод и находятся в интервале расстояний 1.253–1.271 Å. Длины связей Zn–O в I с анилатными лигандами практически выравнены и находятся в интервале 2.04–2.09 Å. Длины связей Cd–O в II также выравнены и составляют 2.289(2) Å. Такое строение координационного узла характерно для большинства МОКП, построенных на основе лигандов анилатного типа и лишь в редких случаях [34, 35] наблюдается хиноидное альтернирование с неравнозначными связями углерод–кислород и металл–кислород.
Координация нейтральных N-донорных лигандов DPT на ион цинка в I характеризуется длинами связей цинк–азот, не превышающими по значению сумму ковалентных радиусов соответствующих элементов (2.24Å) [69], что свидетельствует об образовании прочных координационных связей. В производном II наблюдается некоторое различие в длинах связей кадмий–азот. Так, длины связей Cd(1)–N(2) и Cd(1)–N(7B) составляют 2.317(3) Å и 2.337(3) Å соответственно, а длина связи Cd(1)–N(8) значительно больше и равна 2.472(3)Å. Данное различие наблюдается из-за неравноценного расположения атомов азота в координационной сфере металла, так атомы N(2) и N(7B) занимают апикальные положения в пентагональной бипирамиде вокруг катиона кадмия, а атом N(8) лежит в ее экваториальной плоскости.
МОКП I имеет взаимопроникающий алмазный мотив — dia (рис. 3), т.е. состоит из двух взаимопроникающих каркасов (рис. 3б). Стоит отметить, что формирование взаимопроникающих каркасов происходит из-за наличия больших пустот в решетке, что позволяет второму каркасу "прорастать" сквозь первый. В сформированном кристалле полимера I имеются каналы, заполненные молекулами растворителя, объем которых составляет 27% от объема элементарной кристаллической ячейки. Объем каналов рассчитан с радиусом зонда 1.2 Å и шагом 0.7 Å. Каналы заняты двумя "гостевыми" молекулами DMF в расчете на ион цинка (рис. 3в).
Рис. 3. Вид каркаса МОКП I вдоль вектора (001) (а); расположение взаимопроникающих каркасов МОКП I в кристалле вдоль вектора (001) (б); вид каналов в I вдоль вектора (001) (в). Внешняя сторона каналов — розовая; внутренняя сторона — голубая. "Гостевые" молекулы DMF не изображены.
МОКП II представляет собой слои попарно взаимопроникающих сеток (рис. 4а), при этом вся совокупность переплетающихся сетей остается двухпериодической (рис. 4б). В МОКП II имеются изолированные поры, заполненные молекулами растворителя, объем которых составляет 20% от объема элементарной кристаллической ячейки. Объем пор рассчитан с радиусом зонда 1.2 Å и шагом 0.7 Å. Каналы заняты "гостевыми" молекулами DMF и MeOH в расчете на ион кадмия (рис. 4в).
Рис. 4. Вид пары взаимопроникающих сетей МОКП II вдоль вектора (100) (а); слои, образованные попарно взаимопроникающими сетями в кристалле вдоль вектора (010) (б); вид пор в II вдоль вектора (010) (в). Внешняя сторона пор — розовая; внутренняя сторона — голубая. "Гостевые" молекулы DMF и MeOH не изображены.
В отличие от описанных ранее [56, 57] карбоксилатных МОКП цинка и кадмия, содержащих DPT-лиганды, полученные в данной работе кристаллические образцы координационных полимеров I и II не проявляют люминесценции.
Термическая стабильность МОКП I и II была изучена методом термогравиметрического анализа. Кривые ТГА обоих образцов представлены на рис. 5. По данным рентгеноструктурного анализа, оба соединения содержат "гостевой" растворитель. Согласно результатам элементного анализа, данный растворитель остается в составе соединений при их высушивании на воздухе, что также подтверждено данными ТГА. Для МОКП I в температурном интервале 60–175°С потеря массы составляет 11%, что соответствует потере одной гостевой молекулы DMF (73.09 г/моль) в расчете на звено [Zn(pQ)(DPT)] · 2DMF (M = 698.09 г/моль). При дальнейшем нагревании в интервале температур 210–240°С наблюдается следующая ступень потери массы (Δm = 12%), отвечающая выходу оставшегося гостевого растворителя (1 молекула DMF) из каналов координационного полимера. Последующее повышение температуры приводит к химической деструкции соединения. Для МОКП II выход всех "гостевых" молекул растворителя — две метанола (M = 32.04 г/моль) и две DMF (M = 73.09 г/моль)), содержащихся в порах производного [Cd2(NO3)2(pQ)(DPT)3] · 2DMF · 2MeOH (М = 1518.10 г/моль), происходит в температурном интервале 90–240°С, потеря массы образца при этом составляет 14%. Дальнейшее повышение температуры приводит к разрушению полимера. Таким образом, оба координационных полимера обладают системой закрытых пор и каналов, что приводит к высокой температуре освобождения полостей каркасов от "гостевых" растворителей, которое достигается, согласно данным ТГА, только при температуре 240°С при атмосферном давлении.
Рис. 5. Термогравиметрические кривые для МОК I (красная линия) и II (синяя линия).
Таким образом, в ходе выполненной работы впервые получены гетеролептические, содержащие одновременно анилатные и тетразиновые лиганды МОКП цинка и кадмия состава [Zn(pQ)(DPT)] · 2DMF (I) и [Cd2(NO3)2(pQ)(DPT)3] · 2DMF · 2MeOH (II). МОКП I является каркасным производным с топологией решетки — dia, МОКП II — сетчатый полимер с топологией сети sql. Оба производных содержат гостевой растворитель, который занимает свободный объем в кристаллической ячейке производных. По данным ТГА, гостевой растворитель удерживается в закрытых порах МОКП до температуры 240°С.
Авторы заявляют, что у них нет конфликта интересов.
БЛАГОДАРНОСТИ
Работа выполнена с использованием оборудования центра коллективного пользования "Аналитический центр ИМХ РАН".
ФИНАНСИРОВАНИЕ
Работа выполнена в рамках государственного задания ИМХ РАН.
Об авторах
О. Ю. Трофимова
Институт металлоорганической химии им. Г.А. Разуваева РАН
Автор, ответственный за переписку.
Email: olesya@iomc.ras.ru
Россия, Нижний Новгород
Д. С. Колеватов
Институт металлоорганической химии им. Г.А. Разуваева РАН
Email: olesya@iomc.ras.ru
Россия, Нижний Новгород
Н. О. Дружков
Институт металлоорганической химии им. Г.А. Разуваева РАН
Email: olesya@iomc.ras.ru
Россия, Нижний Новгород
А. В. Малеева
Институт металлоорганической химии им. Г.А. Разуваева РАН
Email: olesya@iomc.ras.ru
Россия, Нижний Новгород
И. А. Якушев
Институт общей и неорганической химии им. Н.С. Курнакова РАН
Email: olesya@iomc.ras.ru
Россия, Москва
П. В. Дороватовский
Национальный исследовательский центр “Курчатовский институт”
Email: olesya@iomc.ras.ru
Россия, Москва
А. В. Пискунов
Институт металлоорганической химии им. Г.А. Разуваева РАН
Email: olesya@iomc.ras.ru
Россия, Нижний Новгород
Список литературы
- Коваленко К.А., Потапов А.С., Федин В.П. // Успехи химии. 2022. Т. 91. № 4. C. RCR5026 (Kovalenko K.A., Potapov A.S., Fedin V.P. // Russ. Chem. Rev. 2022. V. 91. P. RCR5026.) https://doi.org/10.1070/RCR5026
- Агафонов М.А., Александров Е.В., Артюхова Н.А. и др. // Журн. структур. химии. 2022. Т. 63. № 5. С. 535 (Agafonov M.A., Alexandrov E.V., Artyukhova N.A. et al. // J. Struct. Сhem. 2022. V. 63. P. 671), https://doi.org/10.26902/JSC_id93211
- Monni N., Oggianu M., Sahadevan S.A. et al. // Magnetochemistry. 2021. V. 7. P. 109. https://doi.org/10.3390/magnetochemistry7080109
- Benmansour S., Gómez-García C.J. // Magnetochemistry. 2020. V. 6. P. 71. https://doi.org/10.3390/magnetochemistry6040071
- Liu K.-G., Sharifzadeh Z., Rouhani F. et al. // Coord. Chem. Rev. 2021. V. 436. P. 213827. https://doi.org/10.1016/j.ccr.2021.213827
- Wang C., Liao K. // ACS Appl. Mater. Interfaces. 2021. V. 13. P. 56752. https://doi.org/10.1021/acsami.1c13408
- Fasna F., Sasi S. // ChemistrySelect. 2021. V. 6. P. 6365. https://doi.org/doi.org/10.1002/slct.202101533
- Антипин И.С., Алфимов М.В., Арсланов В.В. и др. // Успехи химии. 2021. Т. 90. № 8. С. 895 (Antipin I.S., Burilov V.A., Gorbatchuk V.V. et al. // Russ. Chem. Rev. 2021. V. 90. P. 895.) https://doi.org/10.1070/RCR5011
- Kitagawa S., Matsuda R. // Coord. Chem. Rev. 2007. V. 251. P. 2490. https://doi.org/10.1016/j.ccr.2007.07.009
- Kingsbury C.J., Abrahams B.F., Auckett J.E. et al. // Chem. Eur. J. 2019. V. 25. P. 5222. https://doi.org/10.1002/chem.201805600
- Abrahams B.F., Dharma A.D., Dyett B. et al. // Dalton Trans. 2016. V. 45. P. 1339. https://doi.org/10.1039/c5dt04095g
- Adil K., Belmabkhout Y., Pillai R.S. et al. // Chem. Soc. Rev. 2017. V. 46. P. 3402. https://doi.org/10.1039/c7cs00153c
- Ezugwu C.I., Liu S., Li C., et al. // Coord. Chem. Rev. 2021. V. 450. P. 214245. https://doi.org/10.1016/j.ccr.2021.214245
- Hu Z., Zhao D. // CrystEngComm. 2017. V. 19. P. 4066. https://doi.org/10.1039/c6ce02660e
- Zhang X., Wang C., Wang L.Y. et al. // Appl Organomet Chem. 2022. V. e6603. P. 1. https://doi.org/10.1002/aoc.6603
- Artem′ev A.V., Fedin V.P. // Russian Journal of Organic Chemistry. 2019. V. 55. P. 800. https://doi.org/10.1134/S1070428019060101
- Wang Y., Liu X., Li X. et al. // J. Am. Chem. Soc. 2019. V. 141. P. 8030. 10.1021/jacs.9b01270
- Chang C.-H., Li A.-C., Popovs I. et al. // J. Mater. Chem. A. 2019. V. 7. P. 23770. https://doi.org/10.1039/c9ta05244e
- Chen H.-J., Chen L.-Q., Lin L.-R. et al. // Inorg. Chem. 2021. V. 60. P. 6986−6990. https://doi.org/10.1021/acs.inorgchem.1c00740
- Huangfu M., Wang M., Lin C. et al. // Dalton Trans. 2021. V. 50. P. 3429. https://doi.org/10.1039/D0DT04276E
- Li P., Zhou Z., Zhao Y.S. et al. // Chem. Commun. 2021. V. 57. P. 13678. https://doi.org/10.1039/d1cc05541k
- Gorai T., Schmitt W., Gunnlaugsson T. // Dalton Trans. 2021. V. 50. P. 770. https://doi.org/10.1039/d0dt03684f
- Rogovoy M.I., Frolova T.S., Samsonenko D.G. et al. // Eur. J. Inorg. Chem.. 2020. V. 2020. P. 1635. https://doi.org/10.1002/ejic.202000109
- Calbo J., Golomb M.J., Walsh A. // J. Mater. Chem. A. 2019. V. 7. P. 16571. https://doi.org/10.1039/c9ta04680a
- Wang M., Dong R. and Feng X. // Chem. Soc. Rev. 2021. V. 50. P. 2764. https://doi.org/10.1039/d0cs01160f
- Dong R., Feng X. // Nature Materials. 2021. V. 20. P. 122. https://doi.org/10.1038/s41563-020-00912-1
- Benmansour S., Gómez-García C.J. // Gen. Chem. 2020. V. 6. P. 190033. https://doi.org/10.21127/yaoyigc20190033
- Espallargas G.M., Coronado E. // Chem. Soc. Rev. 2018. V. 47. P. 533. https://doi.org/10.1039/c7cs00653e
- Gou X., Wu Y., Wang M. et al. // Dalton Trans. 2024. V. 53. P. 148. https://doi.org/10.1039/D3DT02714G
- Monni N., Baldoví J.J., García-López V. et al. // Chemical Science. 2022. V. 13. P. 7419. https://doi.org/10.1039/D2SC00769J
- Ovcharenko V., Fursova E., Letyagin G. et al. // CrystEngComm. 2023. V. 25. P. 6194. https://doi.org/10.1039/D3CE00912B
- Huang Z., Yu H., Wang L. et al. // Coord. Chem. Rev. 2021. V. 430. P. 213737. https://doi.org/10.1016/j.ccr.2020.213737
- Monni N., Angotzi M.S., Oggianu M. et al. // J. Mater. Chem. C. 2022. V. 10. P. 1548. https://doi.org/10.1039/d1tc05335c
- Kitagawa S., Kawata S. // Coord. Chem. Rev. 2002. V. 224. P. 11. https://doi.org/10.1016/S0010-8545(01)00369-1
- Kharitonov A.D., Trofimova O.Yu., Meshcheryakova .N. et al. // CrystEngComm. 2020. V. 22. P. 4675. https://doi.org/10.1039/d0ce00767f
- Трофимова О.Ю., Ершова И.В., Малеева А.В. и др. // Коорд. химия. 2021. T. 47. № 9. С. 552 (Trofimova O.Yu., Ershova I.V., Maleeva A.V. et al. // Russ. J. Coord. Chem. 2021. V. 47. P. 610). https://doi.org/10.1134/S1070328421090086
- Trofimova O.Yu., Maleeva A.V., Ershova I.V. et al. // Molecules. 2021. V. 26. P. 2486. https://doi.org/10.3390/molecules26092486
- Trofimova O.Yu., Maleeva A.V., Arsenyeva K.V. et al. // Crystals. 2022. V. 12. P. 370. https://doi.org/10.3390/cryst12030370
- Трофимова О.Ю., Малеева А.В., Арсеньева К.В. et al. // Журн. структур. химии. 2023. Т. 64. С. 112229 (Trofimova O.Yu., Maleeva A.V., Arsenyeva K.V., et al. // J. Struct. Сhem. 2023. Vol. 64. P. 1070). https://doi.org/10.1134/S0022476623060100
- Трофимова О.Ю., Малеева А.В., Арсеньева К.В. et al. // Коорд. химия. 2023. Т. 49. P. 278 (Trofimova O.Yu., Maleeva A.V., Arsen′eva K.V., et al. // Russ. J. Coord. Chem. 2023. V. 49. P. 276). https://doi.org/10.1134/S1070328423600183
- Охлопкова Л.С., Поддельский А.И., Смолянинов И.В. и др. // Коорд. химия. Т. 46. № 6. С. 340 (Okhlopkova L.S., Poddel′sky A.I., Fukin G.K., et al. // Russ. J. Coord. Chem. 2020. V. 46. P. 386). https://doi.org/10.31857/S0132344X20050059
- Хамалетдинова Н.М., Мещерякова И.Н., Пискунов А.В. и др. // Журн. cтруктур. химии. 2015. Т. 56. № 2. С. 249 (Khamaletdinova N.M., Meshcheryakova I.N., Piskunov A.V., et al. // J. Struct. Сhem. 2015. V. 56. P. 233). https://doi.org/10.1134/S0022476615020055
- Min K.S., DiPasquale A.G., Rheingold A.L. et al. // J. Am. Chem. Soc. 2009. V. 131. P. 6229. https://doi.org/10.1021/ja900909u
- Min K.S., DiPasquale A., Rheingold A.L. et al. // Inorg. Chem. Com. 2007. V. 46. P. 1048. https://doi.org/10.1021/ic062400e
- Trofimova O.Y., Ershova I.V., Maleeva A.V. et al. // J. Inorg. Organomet. Polym. Materials. 2024. V.P. https://doi.org/10.1007/s10904-024-03013-7
- Withersby M.A., Blake A.J., Champness N.R. et al. // J. Am. Chem. Soc. 2000. V. 122. P. 4044. https://doi.org/10.1021/ja991698n
- Liu K., Han X., Zou Y. et al. // Inorg. Chem. Comm. 2014. V. 39. P. 131. https://doi.org/10.1016/j.inoche.2013.11.011
- Cepeda J., Pérez-Yáñez S., García J.Á. et al. // Dalton Trans. 2021. V. 50. P. 9269. https://doi.org/10.1039/D1DT01204E
- Li J., Peng Y., Liang H. et al. // Eur. J. Inorg. Chem. 2011. V. 2011. P. 2712. https://doi.org/10.1002/ejic.201100227
- Xue M., Ma S., Jin Z. et al. // Inorg. Chem. 2008. V. 47. P. 6825. https://pubs.acs.org/doi/10.1021/ic800854y
- Hijikata Y., Horike S., Sugimoto M. et al. // Chem. Eur. J. 2011. V. 17. P. 5138. https://doi.org/10.1002/chem.201003734
- Lee L.-W., Luo T.-T., Lo S.-H. et al. // CrystEngComm. 2015. V. 17. P. 6320. https://doi.org/10.1039/C5CE00923E
- Razavi S.A.A., Masoomi M.Y., Islamoglu T. et al. // Inorg. Chem. 2017. V. 56. P. 2581. https://doi.org/10.1021/acs.inorgchem.6b02758
- Zhang R., Huang J.-H., Meng D.-X. et al. // Dalton Trans. 2020. V. 49. P. 5618. https://doi.org/10.1039/D0DT00793E
- Hijikata Y., Horike S., Sugimoto M. et al. // Inorg. Chem. 2013. V. 52. P. 3634. https://doi.org/10.1021/ic302006x
- Fernández B., Seco J.M., Cepeda J. et al. // CrystEngComm. 2015. V. 17. P. 7636. https://doi.org/10.1039/C5CE01521A
- Seco J.M., Pérez-Yáñez S., Briones D., et al. // Cryst. Growth Des. 2017. V. 17. P. 3893. https://doi.org/10.1021/acs.cgd.7b00522
- Mulfort K.L., Wilson T.M., Wasielewski M.R. et al. // Langmuir. 2009. V. 25. P. 503. https://doi.org/10.1021/la803014k
- Dinolfo P.H., Williams M.E., Stern C.L. et al. // J. Am. Chem. Soc. 2004. V. 126. P. 12989. https://doi.org/10.1021/ja0473182
- Svetogorov R.D., Dorovatovskii P.V., Lazarenko V.A. // Cryst. Res. Technol. 2020. V. 55. P. 1900184. https://doi.org/10.1002/crat.201900184
- Kabsch W. // Acta Crystallogr. D. 2010. V. 66. P. 125. https://doi.org/10.1107/S0907444909047337
- Sheldrick G.M. // Acta Crystallogr. A. 2015. V. 71. P. 3. https://doi.org/10.1107/S2053273314026370
- Sheldrick G.M. // Acta Crystallogr. C. 2015. V. 71. P. 3. https://doi.org/10.1107/S2053229614024218
- Dolomanov O.V., Bourhis L.J., Gildea R.J. et al. // J. Appl. Cryst. 2009. V. 42. P. 339. https://doi.org/10.1107/S0021889808042726
- Blatov V.A., Shevchenko A.P., Proserpio D.M. // Cryst. Growth Des. 2014. V. 14. P. 3576. https://doi.org/10.1021/cg500498k
- Alexandrov E.V., Blatov V.A., Kochetkov A.V. et al. // CrystEngComm. 2011. V. 13. P. 3947. https://doi.org/10.1039/c0ce00636j
- Александров Е.В., Шевченко А.П., Некрасова Н.А. et al. // Успехи химии. 2022. V. 91. RCR5032 (Aleksandrov E.V., Shevchenko A.P., Nekrasova N.A. et al. // Russ. Chem. Rev. 2022. V. 91. P. Art. RCR5032). https://doi.org/10.1070/RCR5032
- Cordero B., Gomez V., Platero-Prats A.E. et al. // Dalton Trans. 2008. V.P. 2832. https://doi.org/10.1039/b801115j
- Batsanov S.S. // Russ. J. Inorg. Chem. 1991. V. 36. P. 1694.
Дополнительные файлы









