Структурное разнообразие гетеролигандных 1,2,4-трифенилциклопентадиенил-бипиридиновых комплексов РЗЭ
- Авторы: Бардонов Д.А.1,2, Лысенко К.А.2,3, Дегтярева С.С.1,2, Нифантьев И.Э.1,3, Ройтерштейн Д.М.1,4
-
Учреждения:
- Институт нефтехимического синтеза им. А.В. Топчиева РАН
- Национальный исследовательский университет “Высшая школа экономики“
- Московский государственный университет им. М.В. Ломоносова
- Институт органической химии им. Н.Д. Зелинского РАН
- Выпуск: Том 50, № 6 (2024)
- Страницы: 385-393
- Раздел: Статьи
- URL: https://bakhtiniada.ru/0132-344X/article/view/269421
- DOI: https://doi.org/10.31857/S0132344X24060049
- EDN: https://elibrary.ru/MVGHFK
- ID: 269421
Цитировать
Полный текст
Аннотация
Взаимодействие трифенилциклопентадиенилкалия и бипиридина с тетрагидрофуранатами хлоридов лантана, празеодима, эрбия, лютеция и скандия приводит к образованию биядерных [CpPh3Ln(Bipy)Cl(μ2-Cl)]2 (Ln = La (I), Pr (II)) и моноядерных [CpPh3Ln(Bipy)Cl2(THF)] (Ln = Er (III), Lu (IV), [CpPh3Sc(Bipy)Cl2] (V) комплексов (CpPh3 = 1,2,4-трифенилциклопентадиенил, Bipy = бипиридин). Уменьшение ионного радиуса иона РЗЭ в ряду La…Sc ведет к образованию моноядерных комплексов вместо биядерных и уменьшению координационного числа центрального иона. Вследствие копланарного расположения двух различных p-систем наблюдается стэкинг-взаимодействие между трифенилциклопентадиенильным лигандом и бипиридином. Молекулярное строение комплексов I–V установлено методом рентгеноструктурного анализа (CCDC № 2308609 (I), 2308608 (II), 2308610 (III), 2308611 (IV), 2308607 (V)).
Ключевые слова
Полный текст
Арилзамещенные циклопентадиенильные лиганды играют важную роль в создании новых типов металлоорганических соединений 4f-элементов [1–6].
Ранее мы показали, что сочетание в координационной сфере иона редкоземельного элемента (РЗЭ) одновременно полифенилзамещенного циклопентадиенильного лиганда и полидентатного N-гетероциклического лиганда позволяет получать моноядерные моноциклопентадиенильные комплексы на основе три- и тетрафенилзамещенных циклопентадиенильных лигандов, чего не удается достичь без их использования [7–9]. Ранее мы сообщали о синтезе и изучении строения трифенилциклопентадиенильных и тетрафенилциклопентадиенильных комплексов середины 4f-ряда, а именно комплексов Nd, Tb, Gd с бипиридиновым лигандом [8]. Относительно более простое, по сравнению с полиядерными структурами, характерными для моноциклопентадиенильных соединений с полиарилзамещенными циклопентадиенильными лигандами, строение комплексов типа [(C5H5–nPhn)LnCl2(Bipy)(THF)n] позволяет более детально проанализировать особенности их молекулярного строения и упаковки в кристаллической решетке.
Цель настоящей работы — синтез циклопентадиенил-бипиридиновых комплексов РЗЭ: [CpPh3Ln(Bipy)Cl(μ2-Cl)]2 (Ln = La (I), Pr (II)), [CpPh3Ln(Bipy)Cl2(THF)] (Ln = Er (III), Lu (IV)), [CpPh3Sc(Bipy)Cl2] (V) (CpPh3 = 1,2,4-трифенилциклопентадиенил, Bipy = бипиридин) и установление различий в их строении в зависимости от величины ионного радиуса металла–комплексообразователя.
ЭКСПЕРИМЕНТАЛЬНАЯ ЧАСТЬ
Синтез соединений I–V проводили в атмосфере предварительно очищенного аргона в среде безводных растворителей с использованием перчаточного бокса СПЕКС-ГБ2. Тетрагидрофуран предварительно высушили над NaOH и перегоняли над калием/бензофеноном. Гексан перегоняли над калий-натриевой эвтектикой/бензофеноном. Толуол перегоняли над натрием/бензофеноном. LnCl3(THF)n (Ln = La, Pr, Er, Lu, Sc) получали в соответствии с методикой [10]. Бензилкалий получали по модифицированной литературной методике [11]. 1,2,4-Трифенилциклопентадиен получали по известной методике [12], перекристаллизовывали из абсолютного спирта и высушивали в динамическом вакууме, бипиридин возгоняли в вакууме перед использованием. Элементный анализ комплексов I и III выполняли на приборе Thermo Scientific FLASH 2000 CHNS/O Analyzer с добавкой оксида кобальта Co3O4 для полноты сгорания. Элементный анализ комплексов II, IV, V проводили на приборе Leco TruSpec Micro CHNS analyzer.
Синтез [CpPh3LaCl2(Вipy)]2 (I). Раствор бензилкалия (0.034 г, 0.26 ммоль) в 5 мл ТГФ медленно при перемешивании добавляли к 10 мл раствора CpPh3H в ТГФ (0.074 г, 0.25 ммоль). Реакционную смесь перемешивали в течение 15 мин, полученный раствор 1,2,4-трифенилциклопентадиенилкалия медленно прибавляли к перемешиваемой суспензии LaCl3(THF)2 (0.097 г, 0.25 ммоль) в 15 мл ТГФ. Реакционную смесь перемешивали 12 ч, затем прибавляли раствор Вipy (0.039 г, 0.25 ммоль) в 2 мл ТГФ. Реакционную смесь перемешивали 12 ч, выпавший осадок отделяли центрифугированием (4000 об/мин, 10 мин). Осадок экстрагировали ТГФ (2 × 5 мл ТГФ) для растворения остатка комплекса и снова центрифугировали. К объединенному раствору аккуратно добавляли 40 мл гексана, избегая смешения слоев. Через 3 сут образовались кристаллы комплекса I. Кристаллы сушили в динамическом вакууме. Выход I 0.098 г (0.074 ммоль, 59%) в виде оранжевого кристаллического порошка.
Найдено, %: C 59.66; H 4.23; N 4.16. Для C66H50N4Cl4La2 вычислено, %: C 60.11; H 3.83; N 4.25.
Пригодные для РСА кристаллы получали в результате медленной диффузии гексана в раствор I в ТГФ. По данным РСА, элементарная ячейка комплекса I содержит одну молекулу ТГФ. Эта молекула теряется при высушивании в вакууме.
Синтез [CpPh3PrCl2(Bipy)]2 (II) выполняли по описанной выше методике исходя из 0.068 г (0.52 ммоль) PhCH2K, 0.147 г (0.5 ммоль) CpPh3H, 0.196 г (0.5 ммоль) PrCl3(THF)2 и 0.078 г (0.5 ммоль) Вipy; объединенный раствор комплекса в ТГФ после центрифугирования реакционной смеси упаривали до объема 10 мл. К сконцентрированному раствору аккуратно добавляли 20 мл гексана. Выпавший через 2 сут желто-зеленый порошок растворяли в 50 мл ТГФ, к раствору аккуратно добавляли 50 мл гексана. Через 4 сут образовались кристаллы комплекса II. Кристаллы сушили в динамическом вакууме. Выход II 0.172 г (0.130 ммоль, 52%) в виде желто-зеленого кристаллического порошка.
Найдено, %: C 59.53; H 4.10; N 4.25. Для C66H50N4Cl4Pr2 вычислено, %: C 59.93; H 3.81; N 4.24.
Пригодные для РСА кристаллы получали в результате медленной диффузии гексана в раствор II в ТГФ. По данным РСА, элементарная ячейка комплекса II содержит одну молекулу ТГФ. Эта молекула теряется при высушивании в вакууме.
Синтез [CpPh3ErCl2(Bipy)(THF)] (III) выполняли по описанной выше для I методике исходя из 0.034 г (0.26 ммоль) PhCH2K, 0.074 г (0.25 ммоль) CpPh3H, 0.122 г (0.25 ммоль) ErCl3(THF)3 и 0.039 г (0.25 ммоль) Вipy. Выход III 0.114 г (0.150 ммоль, 60%) в виде оранжевого кристаллического порошка.
Найдено, %: C 58.60; H 4.39; N 3.76. Для C37H33N2OCl2Er вычислено, %: C 58.49; H 4.38; N 3.69.
Пригодные для РСА кристаллы получали в результате медленной диффузии гексана в раствор III в ТГФ.
Синтез [CpPh3LuCl2(Bipy)(THF)] (IV) выполняли по описанной выше для I методике исходя из 0.034 г (0.26 ммоль) PhCH2K, 0.074 г (0.25 ммоль) CpPh3H, 0.124 г (0.25 ммоль) LuCl3(THF)3 и 0.039 г (0.25 ммоль) Bipy; полученный при центрифугировании реакционной смеси осадок экстрагировали 4 × 15 мл ТГФ. Выход IV 0.078 г (0.102 ммоль, 41%) в виде оранжевого кристаллического порошка.
Найдено, %: C 57.67; H 4.27; N 3.53. Для C37H33N2OCl2Lu вычислено, %: C 57.90; H 4.34; N 3.65.
Пригодные для РСА кристаллы получали в результате медленной диффузии гексана в раствор IV в ТГФ.
Синтез [CpPh3ScCl2(Bipy)] (V) выполняли по описанной выше для I методике исходя из 0.034 г (0.26 ммоль) PhCH2K, 0.074 г (0.25 ммоль) CpPh3H, 0.092 г (0.25 ммоль) ScCl3(THF)3 и 0.039 г (0.25 ммоль) Bipy; объединенный раствор комплекса в ТГФ после центрифугирования реакционной смеси упаривали досуха. Полученный темный порошок промывали 10 мл толуола и снова растворяли в 7 мл ТГФ. К раствору аккуратно добавляли 20 мл гексана. Через несколько дней образовались кристаллы комплекса V. Кристаллы сушили в динамическом вакууме. Выход V 0.117 г (0.207 ммоль, 83%) в виде желтого кристаллического порошка.
Найдено, %: C 69.77; H 5.09; N 4.44. Для C33H25N2Cl2Sc вычислено, %: C 70.11; H 4.46; N 4.96.
Пригодные для РСА кристаллы получали в результате медленной диффузии гексана в раствор V в ТГФ. Судя по данным РСА, элементарная ячейка комплекса V содержит одну молекулу ТГФ. Эта молекула теряется при высушивании в вакууме.
РCA комплексов I–V проведен на дифрактометре Bruker Quest D8 (детектор Photon-III, MoKα-излучение, w-сканирования). Интенсивности отражений получены в программе SAINT [13]. Учет поглощения кристаллом проведен полуэмпирически по эквивалентным отражениям в программе SADABS [14]. Структуры расшифрованы прямым методом в программе SHELXT [15] и уточнены МНК в анизотропном полноматричном приближении по F2hkl в программе SHELXL-2018 [16]. При уточнении разупорядоченных фрагментов использованы ограничения для параметров атомных смещений и позиционных параметров (DFIX и EADP). Анализ разностных синтезов электронной плотности и параметров атомных смещений показал, что в кристаллах I, II и V наблюдается сильное разупорядочение растворителя (по-видимому, преимущественно ТГФ). Вклад данных разупорядоченных молекулы исключен из структурных факторов при помощи программы SQUEEZE [17]. Атомы водорода во всех структурах рассчитаны по модели жесткого тела (расстояние C–H = 0.980 Å для метильных, 0.990 Å для метиленовых и 1.000 Å для циклопентадиенильных атомов водорода) и уточнены в относительном изотропном приближении Uiso(H) = 1.2Ueq(C). Основные кристаллографические данные и параметры уточнения для соединений I–V приведены в табл. 1.
Координаты атомов и другие параметры структур I–V депонированы в Кембриджском банке структурных данных (CCDC № 2308607–2308611) deposit@ccdc.cam.ac.uk или http://www.ccdc.cam.ac.uk/data_request/cif).
РЕЗУЛЬТАТЫ И ИХ ОБСУЖДЕНИЕ
Взаимодействие тетрагидрофуранатов хлоридов РЗЭ LnCl3(THF)x (Ln = La, Pr, Er, Lu, Sc; ТГФ = тетрагидрофуран) с трифенилциклопентадиенилкалием, а затем с бипиридином в тетрагидрофуране приводит к образованию гетеролигандных комплексов, содержащих в координационной сфере металла трифенилциклопентадиенильный и бипиридиновый лиганды.
Интересно, что подобное лигандное окружение иона РЗЭ — трифенилциклопентадиенильный и бипиридиновый лиганды в сочетании с двумя хлоридными лигандами — приводит к весьма разнообразной геометрии координационной сферы металла и, как следствие, к широкому разнообразию структур комплексов, одинаковых с точки зрения набора лигандов. В случае лантана и празеодима образуются биядерные комплексы [CpPh3Ln(Bipy)Cl(μ2-Cl)]2 (Ln = La (I), Pr(II); схема 1). Комплексы I и II были получены перекристаллизацией из смесей ТГФ–гексан в соотношении 1 : 1 в виде оранжево-желтых (I) и желто-зеленых (II) кристаллов мало растворимых в THF и не растворимых в толуоле.
Схема 1. Получение трифенилциклопентадиенил-бипиридиновых комплексов лантана и празеодима.
Строение I и II было установлено методом рентгеноструктурного анализа (рис. 1, табл. 1, 2). В биядерных изоструктурных комплексах I и II, молекулы которых расположены на центрах инверсии, фрагменты [CpPh3Ln(Вipy)Cl] соединены двумя мостиковыми хлоридными лигандами. Таким образом, каждый из катионов Ln3+ координирован трифенилциклопентадиенил-анионом, двумя мостиковыми и одним терминальным хлоридными лигандами и двумя атомами азота бипиридинового лиганда (координационное число металла равно 8). Лиганды образуют вокруг металлов псевдооктаэдрическое окружение, считая, что циклопентадиенильный лиганд занимает одну из вершин октаэдра. Расстояния Ln–Clтерм заметно короче расстояний Ln–Clмост (см. табл. 2), а значения углов CpцентроидLnClтерм в I и II составляют 105.4° и 104.7° соответственно.
Рис. 1. Строение комплекса I в представлении атомов эллипсоидами тепловых колебаний (ρ = 50%). Здесь и далее атомы водорода не показаны для упрощения рисунка.
Таблица 1. Основные кристаллографические данные и параметры уточнения для соединений I–V
Параметр | Значение | ||||
I | II | III | IV | V | |
Брутто формула | C66H50N4Cl4La2, C4H8O | C66H50N4Cl4Pr2, C4H8O | C37H33N2OCl2Er | C37H33N2OCl2Lu | C33H25N2OCl2Sc, C4H8O |
М | 1390.82 | 1394.79 | 759.81 | 767.52 | 637.51 |
T, K | 110(2) | 120(2) | 100(2) | 110(2) | 110(2) |
Кристаллическая система | Моноклинная | Моноклинная | Ромбическая | Ромбическая | Моноклинная |
Пр. группа | P21/n | P21/n | Pbca | Pbca | P21/c |
Z (Z´) | 2 (1) | 2 (1) | 8 (1) | 8 (1) | 4 (1) |
a, Å | 17.852(2) | 17.794(4) | 16.4730(5) | 16.4684(14) | 14.746(3) |
b, Å | 10.1669(16) | 10.134(2) | 16.5182(5) | 16.4320(18) | 14.701(3) |
c, Å | 18.544(3) | 18.503(4) | 23.365(1) | 23.306(2) | 15.749(3) |
β, град | 109.348(4) | 108.982(7) | 90 | 90 | 109.49(3) |
V, Å3 | 3175.6(8) | 3155.0(12) | 6357.7(4) | 16.4684(14) | 3218.4(13) |
ρ(выч.), г см–3 | 1.445 | 1.454 | 1.588 | 1.617 | 0.427 |
μ, мм–1 | 1.541 | 1.735 | 2.840 | 3.333 | 0.689 |
F(000) | 1392 | 1400 | 3032 | 3056 | 1328 |
2θmax, град (полнота) | 52 (0.998) | 54 | 58 (1.000) | 48 (0.994) | 58 (0.993) |
Число измеренных отражений | 21938 | 16280 | 46953 | 47223 | 22946 |
Число независимых отражений | 6230 | 6800 | 6258 | 6208 | 8494 |
Число отражений с I > 2σ(I) | 4416 | 3791 | 5019 | 4291 | 4514 |
Количество уточняемых параметров | 202 | 344 | 388 | 388 | 343 |
R1 (I > 2σ(I)) | 0.0678 | 0.0863 | 0.0338 | 0.0393 | 0.0597 |
wR2 (все данные) | 0.1668 | 0.2242 | 0.0843 | 0.0894 | 0.1596 |
GOOF | 1.049 | 1.001 | 0.929 | 1.019 | 0.939 |
Остаточная электронная плотность (min/max), e Å–3 | –1.745/1.882 | –1.445/1.465 | –0.719/0.984 | –1.037/0.573 | –0.354/0.342 |
Таблица 2. Основные структурные параметры трифенилциклопентадиенил-бипиридиновых комплексов
Комплекс | Длины связей Ln–Cl, Å | Длины связей Ln–N, Å | Длина связи Ln–O, Å | Расстояние Ln–Cpцентроид, Å | Угол разворота фенильного кольца в положении 4, град | Углы разворота фенильных колец в положениях 1 и 2, град | Угол NLnN, град |
I | 2.739(3) (терм.); 2.928(2), 2.830(2) (мост.) | 2.59(1)–2.69(1) | 2.60 | 5.9 | 41.4, 34.0 | 58.6(4)–62.3(4) | |
II | 2.689(3) (терм.); 2.793(3), 2.886(3) (мост.) | 2.59(1) | 2.542 | 12.0 | 34.0, 38.1 | 62.6(3) | |
III | 2.5715(9), 2.5774(9) | 2.451(3)–2.456(3) | 2.452(2) | 2.409 | 7.2 | 22.1, 50.5 | 66.8(1) |
IV | 2.539(1), 2.546(1) | 2.411–2.412 (5) | 2.437(4) | 2.384 | 6.3 | 21.8, 51.5 | 67.92(15) |
V | 2.315(1), 2.324 (1) | 2.315(3)–2.324(2) | 2.209 | 6.8 | 43.3, 39.9 | 69.7(1) |
Аналогичные реакции тетрагидрофуранатов эрбия, лютеция и скандия с трифенилциклопентадиенилкалием и бипиридином приводят к образованию моноядерных комплексов [CpPh3Ln(Вipy)Cl2(THF)] (Ln = Er, (III) Lu (IV)), [CpPh3Sc(Вipy)Cl2] (V) (схема 2).
Схема 2. Синтез комплексов III–V.
В отличие от лантана и празеодима, ионы которых имеют сравнительно большие ионные радиусы, остальные члены 4f-ряда дают моноядерные комплексы [CpPh3Ln(Вipy)Cl2(THF)] (III, IV) (КЧ 8) (Ln = Er, Lu), подобные описанным нами ранее [8] аналогичным три- и тетрафенилциклопентадиенильным комплексам Nd, Gd, Tb. Для скандия же, имеющего наименьший из всех РЗЭ ионный радиус, образуется комплекс [CpPh3Ln(Вipy)Cl2] (V) (КЧ 7). Как и в описанных ранее комплексах, в полученных соединениях присутствуют стэкинг-взаимодействия между фенильными заместителями циклопентадиенильных колец и бипиридиновыми лигандами. Особенности данных взаимодействий будут рассмотрены нами далее.
Комплексы III и IV изоструктурны, катион лантанида в них координирован циклопентадиенильным анионом, двумя хлоридными лигандами, двумя атомами азота бипиридина и атомом кислорода молекулы ТГФ (рис. 2). От комплексов более легких лантанидов комплексы III и IV отличаются, в первую очередь, геометрией бипиридинового лиганда: атом лантанида практически не выходит из плоскости бипиридинового лиганда.
Рис. 2. Строение комплекса IV в представлении атомов эллипсоидами тепловых колебаний (ρ = 50%).
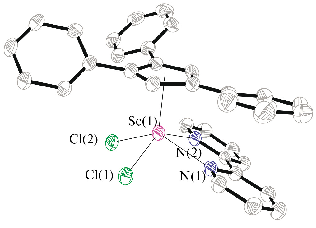
Комплекс V от комплексов III и IV отличается отсутствием координированного с катионом металла тетрагидрофурана, КЧ(Sc) 7 (рис. 3). Координационный полиэдр металла можно описать как искаженную тетрагональную пирамиду, в вершине которой лежит циклопентадиенильный лиганд. Расстояние от скандия до плоскости ClClNN составляет 0.896 Å. Отсутствие в координационной сфере сольватной молекулы ТГФ, которая экранирует π-систему бипиридина, приводит к несколько другой межмолекулярной упаковке. Если во всех рассмотренных выше соединениях межмолекулярные взаимодействия преимущественно являются взаимодействиями Н…Н и С…Н, то в V реализуется стэкинг-взаимодействие с расстоянием С…С 3.45 Å (рис. 4).
Рис. 3. Строение комплекса V в представлении атомов эллипсоидами тепловых колебаний (ρ = 50%).
Рис. 4. Центросимметричные стэкинг-димеры в кристаллической структуре V.
Как нами отмечалось выше, в кристаллах I–V во всех случаях можно предположить наличие внутримолекулярного стэкинг-взаимодействия (рис. 5). Данный факт обусловлен тем, что в исследуемых комплексах хлорид-анионы и атомы азота располагаются приблизительно в одной плоскости (среднеквадратическое отклонение не более 0.05 Å). Указанная плоскость оказывается копланарной циклопентадиенильному лиганду, что, в свою очередь, способствует перекрыванию p-систем фенильных заместителей и бипиридинового лиганда. Учитывая, что фенильные заместители в положениях 1 и 2 всегда развернуты по отношению к циклопентадиенильному лиганду, единственной возможной парой циклов, которые могут образовывать стэкинг-взаимодействия, являются фенильный фрагмент в положении 4 циклопентадие нильного лиганда и бипиридин. Эффективность стэкинг-взаимодействия регулируется и ионным радиусом иона редкоземельного элемента.
Рис. 5. Характер наложения -систем, вовлеченных во внутримолекулярные стэкинг-взаимодействия.
Следует отметить, что в трех различных типах комплексов (с точки зрения кристаллической симметрии) характер перекрывания p-систем фактически не меняется, а углы между фенильным заместителем в положении 4 и пиридиновым кольцом составляют 8.6° в комплексах I и II, 17° в III и IV и 19° в V. Кратчайшие расстояния между атомами углерода разных ароматических колец лежат в интервале 3.1–3.3 Å.
В результате данной работы были получены и структурно охарактеризованы моно- и биядерные гетеролигандные трифенилциклопентадиенилбипиридиновые комплексы РЗЭ, общей характеристикой которых является копланарное расположение двух различных p-систем (трифенилциклопентадиенильный лиганд и бипиридин), которые могут реализовывать стэкинг-взаимодействие. Интересно, что эта закономерность наблюдается как для моноядерных, так и для биядерных комплексов. Учитывая, что указанные p-системы могут выступать в качестве лигандов-антенн p-типа (трифенилциклопентадиенильный лиганд) и s-типа (бипиридин), это открывает возможность получения, с использованием данного набора лигандов, также и гетерометаллических комплексов, перспективных с точки зрения фотофизических свойств.
Авторы сообщают, что у них нет конфликта интересов.
ФИНАНСИРОВАНИЕ
Работа выполнена при поддержке Российского научного фонда (грант № 22-13-00312).
Об авторах
Д. А. Бардонов
Институт нефтехимического синтеза им. А.В. Топчиева РАН; Национальный исследовательский университет “Высшая школа экономики“
Email: roiter@yandex.ru
Россия, Москва; Москва
К. А. Лысенко
Национальный исследовательский университет “Высшая школа экономики“; Московский государственный университет им. М.В. Ломоносова
Email: roiter@yandex.ru
Россия, Москва; Москва
С. С. Дегтярева
Институт нефтехимического синтеза им. А.В. Топчиева РАН; Национальный исследовательский университет “Высшая школа экономики“
Email: roiter@yandex.ru
Россия, Москва; Москва
И. Э. Нифантьев
Институт нефтехимического синтеза им. А.В. Топчиева РАН; Московский государственный университет им. М.В. Ломоносова
Email: roiter@yandex.ru
Россия, Москва; Москва
Д. М. Ройтерштейн
Институт нефтехимического синтеза им. А.В. Топчиева РАН; Институт органической химии им. Н.Д. Зелинского РАН
Автор, ответственный за переписку.
Email: roiter@yandex.ru
Россия, Москва; Москва
Список литературы
- Arndt S., Okuda J. // Chem. Rev. 2002. V. 102. № 6. P. 1953.
- Edelmann F.T. // Comprehensive Organometallic Chemistry III, Elsevier, 2007. 190 p.
- Day B. M., Guo F. S., Layfield R.A. //Acc. Chem. Res. 2018. V. 51. № 8. P. 1880.
- Evans W.J., Davis B.L. // Chem. Rev. 2002. V. 102. № 6. P. 2119.
- Harder S., Naglav D., Ruspic C. et al. // Chem. Eur. J. 2013. V. 19. № 37. P. 12272.
- Kelly R.P., Bell T.D.M., Cox R.P. et al. // Organometallics. 2015. V. 34. № 23. P. 5624.
- Bardonov D.., Komarov P.D., Ovchinnikova V.I. et al. // Organometallics. 2021. V. 40. № 9. P. 1235.
- Bardonov D.A., Puntus L.N., Taidakov I.V. et al. // Mendeleev Commun. V. 32. № 2. P. 198.
- Roitershtein D.M., Puntus L.N., Vinogradov A.A. et al. // Inorg. Chem. 2018. V. 57. № 16. P. 10199.
- Edelmann F.T., Poremba P. // Synthetic Methods of Organometallic and Inorganic Chemistry (Herrman/Brauer) / Eds Edelmann F.T., Herrmann W.A., Stuttgart (Germany): Verlag, 1997. P. 34.
- Lochmann L., Trekoval J. // J. Organomet. Chem. 1987. V. 326. № 1. P. 1.
- Hirsch S.S., Bailey W.J.J. // Org. Chem. 1978. V. 43 № 21. P. 4090.
- Bruker. APEX-III. Madison (WI, USA): Bruker AXS Inc., 2019.
- Krause L., Herbst-Irmer R., Sheldrick G.M., Stalke D. // J. Appl. Crystallogr. 2015. V. 48. P. 3.
- Sheldrick G.M. // Acta Crystallogr. A. 2015. V. 71. P. 3.
- Sheldrick G.M. // Acta Crystallogr. C. 2013. V. 71. P. 3.
- Spek A.L. // Acta Crystallogr. C. 2015. V. 71 № 1. P. 9.
Дополнительные файлы










