Dynamic Magnetic Susceptibility Method in Studies of Coordination Compounds
- Authors: Efimov N.N.1, Babeshkin K.A.1, Rotov A.V.1
-
Affiliations:
- Kurnakov Institute of General and Inorganic Chemistry, Russian Academy of Sciences
- Issue: Vol 50, No 7 (2024)
- Pages: 413-428
- Section: Articles
- URL: https://bakhtiniada.ru/0132-344X/article/view/268505
- DOI: https://doi.org/10.31857/S0132344X24070011
- EDN: https://elibrary.ru/MUWNVD
- ID: 268505
Cite item
Full Text
Abstract
The measurement of the dynamic magnetic susceptibility is a universal method, which is used for the evaluation of magnetic properties of single molecule magnets by scientists all over the world. An information in the Russian scientific literature that can be useful for practical mastering of this method is presently insufficient. To fill this gap, in this work we present a detailed procedure of a magnetochemical experiment for observing slow magnetic relaxation in coordination compounds of 3d- and 4f-element ions and the complete characterization of the dynamics of the magnetic behavior. Special attention is given to usually omitted but important details related to all stages of studying the magnetic relaxation dynamics. The main variants of sample preparation are described, the logics of the construction of a measuring sequence and the procedure of experimental data processing are discussed, and advantages and drawbacks of some programs of the calculation of magnetic relaxation dynamics data are considered. The main concepts and equations used in experimental data analysis are presented, and the primary conclusions that can be made from the obtained results are proposed.
Full Text
Молекулярные магнетики исследуются достаточно подробно мировой научной общественностью с привлечением целого ряда методик характеризации веществ и материалов. С начала 1990-х гг., когда были обнаружены первые молекулярные магнетики [1], ученые всего мира активно используют измерения динамической магнитной восприимчивости (χас) как наиболее универсальный, доступный и объективный метод характеризации скорости перемагничивания молекул. В мировой научной литературе имеется большой пласт высококлассных публикаций, позволяющих получить полное представление об этой области знаний [2–25].
В отечественной литературе имеются прекрасные примеры книг, учебных пособий и учебников, посвященных магнетохимии [26–28], магнитным свойствам, магнетизму и магнитным материалам [29]. Однако следует отметить существенный недостаток в русскоязычной литературе информации по методикам проведения магнетохимического эксперимента в области характеризации динамики магнитного поведения. Так, великолепная книга «Современная магнетохимия» [30] Юрия Васильевича Ракитина и Владимира Трофимовича Калинникова вышла в печати в далеком 1994 году. Как указывают авторы в предисловии к этой книге, «за прошедшие годы магнетохимия как одно из направлений химической науки претерпела существенные изменения». Так, за 30 лет, прошедшие с даты опубликования книги «Современная магнетохимия», произошли изменения в магнетохимии, которые никак не были в ней затронуты. Одной из областей магнетохимии, не затронутой в вышеупомянутой книге является мономолекулярный магнетизм. Обзор Валентина Новикова [31] проливает свет на большинство основных пунктов мономолекулярного магнетизма для русскоязычных исследователей.
Решающий вклад в становление молекулярного магнетизма как крупного направления исследований в России внесли ученые, принадлежащие к научным школам В.И. Овчаренко, В.М. Новоторцева и С.М. Алдошина. На сегодняшний день системно значимые исследования различных аспектов молекулярного магнетизма в нашей стране проводятся достаточно большим количеством научных групп [32–43].
Как следует из названия, целью настоящей работы является восполнение пробела в области оптимальных с точки зрения затрат приборного времени методик проведения магнетохимического эксперимента, а также в знаниях, которые необходимы для первоначальной корректной интерпретации получаемых результатов.
Такая статья является все более актуальной в связи с появлением в лабораториях новых магнетометров, способных проводить измерения динамической магнитной восприимчивости, а также переориентацией на исследование молекулярного магнетизма имеющихся магнетометров в центрах коллективного пользования широкого спектра научных заведений.
Статья ориентирована в первую очередь на экспериментаторов, которые впервые соприкоснулись с измерениями и интерпретацией данных динамической магнитной восприимчивости координационных соединений анизотропных ионов 3d- и 4f-металлов, знакомых с обзором В. Новикова. В настоящей работе приводится информация, касающаяся теоретического аспекта данной области знания лишь в объеме, необходимом для обработки экспериментальных данных.
Методики проведения магнетохимического эксперимента в приложении к молекулярным магнитам, приведенные в настоящей статье складываются из опыта известного во всем мире магнетохимика, работающего в Центре исследований Поля Паскаля (Centre de Recherche Paul Pascal) (г. Бордо, Франция), — Родольфа Клерака (Rodolphe Clérac) [44–46], у которого один из авторов, Н.Н. Ефимов, проходил стажировку в январе 2015 и 2016 гг., а также — личном, более чем десятилетнем опыте работы Н.Н. Ефимова в области молекулярного магнетизма.
ОСНОВНЫЕ ПОНЯТИЯ
При работе в области молекулярного магнетизма необходимо иметь представление о следующих понятиях, специфичных для данной области магнетохимии.
Мономолекулярный магнетик — соединение, отдельная молекула которого способна намагничиваться и сохранять намагниченность достаточно продолжительное время в отсутствие внешнего магнитного поля, аналог классического ферромагнетика в масштабах одной молекулы.
Измерения динамической магнитной восприимчивости (ac-magnetic susceptibility) являются основным методом изучения динамики магнитных процессов в веществах и материалах различной природы [47]. Суть метода заключается в помещении исследуемого образца в переменное магнитное поле, направление которого изменяется по гармоническому закону Hac(t) = H0cos(ωt), и измерении намагниченности образца, которая также будет изменяться по гармоническому закону Мас = M0cos(ωt – φ), где t — время; Н0 — амплитуда модуляции магнитного поля; ω — циклическая частота изменения магнитного поля (ω = 2πν); М0 — намагниченность образца; φ — отставание по фазе. При этом динамическая магнитная восприимчивость записывается выражением χac = dM/dH, т.е. является углом наклона касательной к намагниченности M(H) при значении H, равном напряженности постоянного внешнего магнитного поля Hdc. Вспоминая выражение для косинуса суммы cos(α+β) = cos(α)cos(β) – – sin(α)sin(β) и косинуса разности углов cos(α–β) = cos(α)cos(β) + sin(α)sin(β), выражение для Мас можно переписать в виде формулы (1):
где (1)
Медленная магнитная релаксация — относительно медленное (характеризуется временем релаксации, τ) изменение направления намагниченности системы, по отношению к частоте ν приложенного переменного магнитного поля Hac. Если изменение намагниченности образца синфазно (отсутствует отставание по фазе, рис. 1а) изменению переменного магнитного поля, то релаксация считается быстрой; если измеряемая в эксперименте намагниченность образца отстает (по фазе на некий угол φ) от изменения переменного магнитного поля, то релаксация намагниченности считается медленной (рис. 1б).
Время релаксации намагниченности (τ, c) — промежуток времени, в течение которого величина намагниченности уменьшается в e раз (e — основание натурального логарифма). Время релаксации намагниченности является ключевой характеристикой молекулярных магнетиков и дает представление о возможном времени хранения информации в материале.
В результате измерений намагниченности в переменном магнитном поле получают два значения: величину амплитуды намагниченности и сдвиг по фазе измеряемого сигнала относительно переменного магнитного поля φ. По этим данным возможно вычислить значения действительной χ´ (дисперсии, синфазной, реальной, in-phase) и мнимой χ˝ (соответствующей поглощению, противофазной, несинфазной, антифазной, диссипативной, out-of-phase) компоненты магнитной восприимчивости. Магнитная восприимчивость в таком случае является комплексной величиной, компоненты которой, χ´ и χ˝, зависят от частоты приложенного магнитного поля. Мнимая часть восприимчивости описывает процессы диссипации энергии. Если частота мала (ωτ << 1), намагниченность достаточно быстро реагирует на изменения внешнего поля, а значит, низкочастотный предел будет соответствовать изотермической восприимчивости χ´0 (другой вариант обозначения — χT). По мере повышения частоты система недостаточно быстро реагирует на изменение поля, восприимчивость будет падать, и противоположный предел будет соответствовать адиабатической восприимчивости χ´∞ (другой вариант обозначения — χS).
ПРОБОПОДГОТОВКА
Измерения следует проводить для образцов, ориентационное вращение отдельных кристаллитов которых под действием внешнего магнитного поля предотвращено тем или иным способом. Такими способами могут являться: прессование поликристаллических образцов в таблетки (минусы: требует достаточно большого количества вещества, в процессе прессования могут испариться сольватные молекулы, возможна аморфизация образца); иммобилизация в эйкозане (минусы: необходимость нагревания эйкозана выше температуры его плавления, что может привести к потере сольватных молекул), вазелине или в минеральном масле (минусы: жидкое состояние при относительно высоких температурах, что накладывает ограничения на величину напряженности магнитного поля при этих температурах). В случае координационных соединений предпочтение следует отдавать герметичной упаковке исследуемого образца, смоченного фторированным (минимально подверженным негативному влиянию окружающей среды и максимально инертным по отношению к образцам) минеральным маслом. При измерениях магнитных свойств образец находится в камере, в которой создаeтся разреженная гелиевая атмосфера (давление ~1–10 мм рт. ст.), именно по этой причине герметичность упаковки предпочтительна для соединений, содержащих в своем составе сольватные молекулы растворителя. В то же время следует помнить, что при исследовании ферромагнитных веществ и материалов (притягиваются к магниту при комнатной температуре) следует использовать более надежные методы фиксации образца.
После проведения измерений необходимо учесть вклад используемых в пробоподготовке компонентов, вычитая их магнитный вклад из общих значений намагниченности образца и компонентов пробоподготовки, получаемых при измерении. Обычно упаковочный материал (полиэтилен) и смачивающий агент (минеральное масло, эйкозан, вазелин и др.) не содержат сигналов в переменном магнитном поле, и их вклад можно не учитывать. Однако необходимо проверять каждую новую партию используемых в пробоподготовке компонентов на отсутствие сигналов в переменном поле при температурах планируемых экспериментов с целью их учета, а лучше — отказа от использования подобных компонентов и заменой на «чистые» аналоги.
МЕТОДИКА ПРОВЕДЕНИЯ ЭКСПЕРИМЕНТА
Рис. 1. Изменение намагниченности образца (красная линия) относительно изменения амплитуды переменного магнитного поля (синяя линия). Быстрая магнитная релаксация (намагниченность образца изменяется синфазно изменению напряженности внешнего магнитного поля) (а); медленная магнитная релаксация (наблюдается отставание по фазе измеряемого сигнала от приложенного переменного магнитного поля) (б).
При исследовании динамики магнитного поведения с целью получения информации о наличии и параметрах магнитной релаксации в исследуемом комплексном соединении, в первую очередь, следует производить измерения частотных зависимостей динамической магнитной восприимчивости (действительной χ´(ν) и мнимой χ˝(ν) компонент) в нулевом магнитном поле, а также магнитных полях различной напряженности при минимально возможной температуре эксперимента. Наиболее характерными значениями напряженности магнитного поля Hdc, при которых проводят измерения χас: 0, 500, 1000, 1500, 2000, 2500, 5000 Э. Минимальная достаточно стабильная температура эксперимента на оборудовании фирмы Quantum Design — 2 К (температуры ниже температуры кипения жидкого гелия 4.2 K получают методом откачки паров гелия). На первом этапе с целью оптимизации времени эксперимента измерения проводят при напряженностях магнитного поля, кратных 1000 Э. При отсутствии отличных от нулевых значений χ˝ эксперимент прекращают. Следует иметь в виду, что критерием отличия от нулевых значений χ˝ следует считать χ˝ ≥ χ´/10 в одинаковых единицах измерения, т.е. величины χ˝, которые были не более чем в 10 раз меньше значений χ´ при той же частоте, температуре, амплитуде модуляции и напряженности внешнего магнитного поля (для примера см. далее рисунки, на которых представлены χ´ и χ˝).
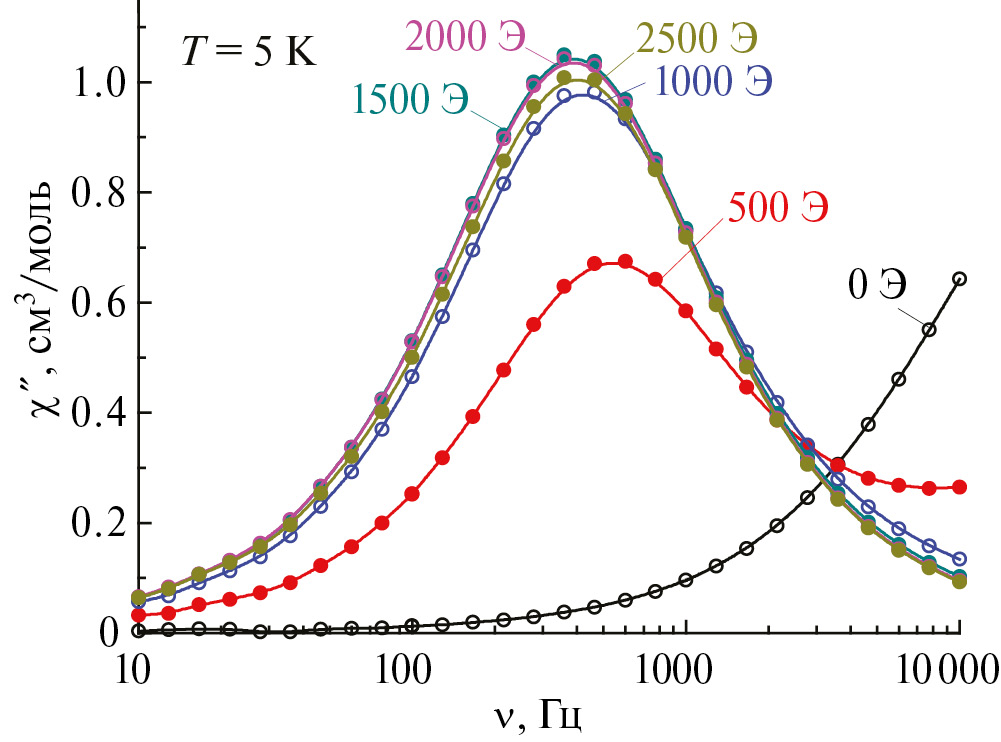
В случае обнаружения ненулевых значений χ˝(ν) следует продолжить измерения при промежуточных значениях напряженности магнитного поля (напряженностью, кратной 500 Э: 500, 1500, 2500 Э). Цель данных измерений — поиск оптимального значения напряженности внешнего магнитного поля, которое наиболее эффективно подавляет эффект квантового туннелирования намагниченности (КТН). Критерием оптимального значения напряженности внешнего магнитного поля Hdc является такое значение, при котором максимум на зависимости χ˝(ν) наблюдается при минимальном значении частоты, что соответствует максимальному значению времени релаксации системы (рис. 2). Другими словами, оптимальным является магнитное поле, которое наиболее сильно замедляет релаксацию намагниченности. В случае наличия приборного времени измерения можно проводить с меньшим шагом по магнитному полю, что особенно актуально при задействовании прямого механизма релаксации и необходимости аппроксимации зависимости времени релаксации от напряженности магнитного поля для поиска значений параметров прямого механизма релаксации и КТН (см. раздел «Обработка и интерпретация данных»). Если наименьшая скорость релаксации зарегистрирована для напряженности магнитного поля 500 Э, необходимо продолжить поиски оптимального значения напряженности магнитного поля в области меньших полей, и, аналогично, если оптимальное магнитное поле — 5000 Э, следует проверить магнитные поля более высокой напряженности.
Рис. 2. Поиск оптимального значения напряженности магнитного поля. Зависимость χ˝(ν) комплекса [Dy(H₂O)₄(Terpy)Cl]Cl₂ · 3H₂O при температуре 5 К в магнитных полях различной напряженности. Построено с изменениями по данным работы [48].
На рис. 2 приведен пример поиска оптимального значения напряженности внешнего магнитного поля для комплекса [Dy(H₂O)₄(Terpy)Cl]Cl₂ · 3H₂O [48]. Из рисунка видно, что максимумы на зависимостях χ˝(ν) наблюдаются при минимальной частоте (~390 Гц) для магнитных полей, напряженностью 1500 и 2000 Э. При точном, в пределах погрешности, совпадении значений частоты, при которой наблюдается максимум на χ˝(ν), в качестве оптимального Hdc следует выбирать меньшее значение. В данном примере в качестве оптимального значения Hdc выбрано 1500 Э.
В случае выхода максимума на зависимости χ˝(ν) при варьировании напряженности магнитного поля ниже низкочастотного предела (рис. 3), доступного на используемом оборудовании (например, в случае оборудования фирмы Quantum Design, PPMS-9 — 10 Гц; для MPMS-XL — 0.1 Гц), следует производить поиск оптимального значения Hdc при более высокой температуре (например — 5 K, рис. 2), для которой имеющиеся максимумы на χ˝(ν) возможно наблюдать в интервале рабочих частот используемого оборудования (для PPMS-9 — 10–10000 Гц; для MPMS-XL — 0.1–1500 Гц).
Далее проводят измерения изотерм χ˝(ν) в магнитном поле оптимальной напряженности при более высоких температурах (Т > 2 K, рис. 4) до температур, при которых максимум на зависимости χ˝(ν) выходит за высокочастотный предел ν (в случае PPMS-9 — 10000 Гц; для MPMS-XL — 1500 Гц) с шагом 1 K. Если максимум на χ˝(ν) выходит за высокочастотный предел используемого оборудования уже на первом (при 3 K) или втором (4 K) шаге изменения температуры, следует проводить измерения с меньшим шагом (методом деления пополам — 0.5, 0.25 или 0.1 K) в интервале температур, когда максимум на χ˝(ν) еще находится в доступной области частот. Критерием выбора шага по температуре является наличие как минимум трех-четырех изотерм частотных зависимостей с явно выраженным максимумом на χ˝(ν), что необходимо для построения зависимости времени релаксации от температуры и ее дальнейшей обработки (см. раздел «Обработка и интерпретация данных»). Для случаев, когда максимум на χ˝(ν) не выходит за пределы доступного частотного диапазона при температурах более 10 K, шаг изменения температуры может быть увеличен до 2 K и более.
Рис. 3. Выход максимума на зависимости χ˝(ν) за пределы низкочастотного предела. Зависимость χ˝(ν) комплекса [Yb(H₂O)₄(Terpy)Cl]Cl₂ · 3H₂O при температуре 2 К в магнитных полях различной напряженности. Построено с изменениями по данным работы [48].
В связи с тем фактом, что положение максимума на зависимости χ˝(ν) чрезвычайно чувствительно к малейшему изменению температуры, каждый раз после изменения и стабилизации температуры необходимо проводить дополнительную выдержку при температуре измерений от одной до трех минут с целью нивелировать влияние теплоемкостей образца и упаковочных материалов на вид исследуемых зависимостей. В связи с этим фактом необходима чрезвычайно точная стабилизация температуры как при выдержке образца, так и при измерениях.
Достаточно большое количество комплексов 3d-, 4f- и 5f-элементов при низкой температуре и приложении внешнего магнитного поля может демонстрировать медленную релаксацию намагниченности. Такие вещества называются молекулярными магнетиками, индуцированными полем. Однако истинные мономолекулярные магнетики тем и уникальны, что для них медленную релаксацию намагниченности возможно наблюдать в отсутствии магнитного поля. Вышеописанная методика измерений динамической магнитной восприимчивости создавалась, в первую очередь, для характеризации магнитного поведения истинных мономолекулярных магнетиков и продолжает оставаться наиболее удобной для получения данных о магнитной релаксации подобных соединений.
Измерения зависимостей χ˝(ν) проводят при величинах амплитуд модуляции Hac, равных 5, 3 и 1 Э в интервале частот 10–100, 100–1000 и 1000–10000 Гц соответственно. Такой выбор значений Hac способствует наилучшему соотношению сигнал/шум в области низких частот и предотвращает возможный нагрев образца при высоких частотах переменного магнитного поля.
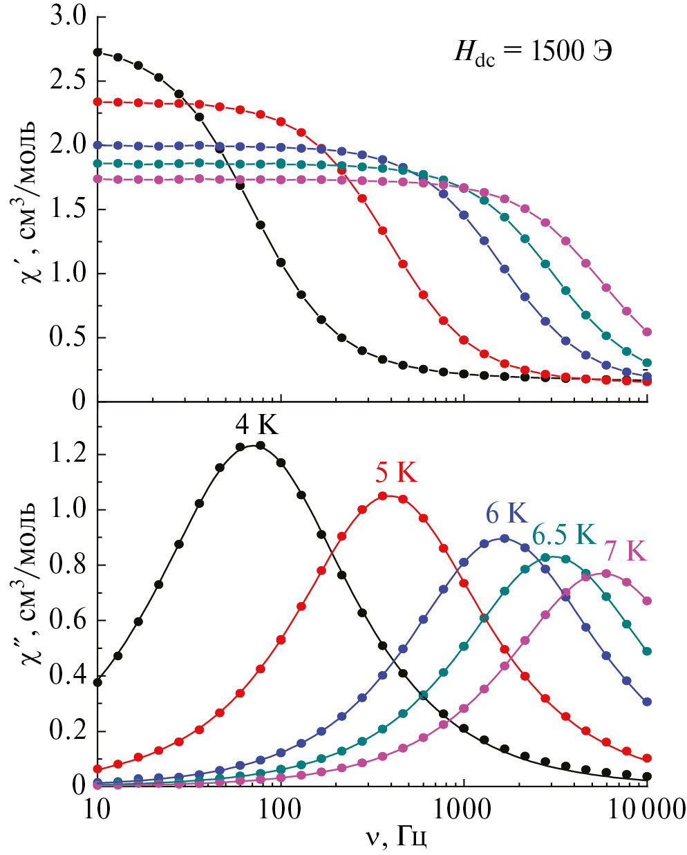
Рис. 4. Частотные зависимости действительной χ´(ν) и мнимой χ˝(ν) компонент динамической магнитной восприимчивости комплекса [Dy(H₂O)₄(Terpy)Cl]Cl₂ · 3H₂O в магнитном поле оптимальной напряженности 1500 Э. Построено с изменениями по данным работы [48].
Для качественной визуализации особенностей зависимостей χ´(ν) и χ˝(ν) и их последующей аппроксимации обобщенной моделью Дебая необходимо производить по 10 измерений, равномерно распределенных в логарифмической шкале на каждый из диапазонов частот 10–100, 100–1000 и 1000–10000 Гц (рис. 2–5). Ориентировочное время измерения одной изотермы зависимости χ´(ν)/χ˝(ν) при таком количестве и положении точек на оси частот с использованием PPMS-9 составляет ~1 ч.
ОБРАБОТКА И ИНТЕРПРЕТАЦИЯ ДАННЫХ
Следует иметь в виду, что для приборов фирмы Quantum Design значения в файле-выдаче приведены в действительной M´ и мнимой M˝ компонентах намагниченности. Для получения значений компонент динамической магнитной восприимчивости необходимо соответствующее значение динамической намагниченности разделить на амплитуду модуляции: χ´(ν) = M´(ν)/Hac или χ˝(ν) = M˝(ν)/Hac.
Рис. 5. Увеличение амплитуды сигнала χ˝(ν) с ростом температуры от 2 до 3 K указывает на наличие магнитных взаимодействий между парамагнитными центрами. Частотные зависимости действительной χ´(ν) и мнимой χ˝(ν) компонент динамической магнитной восприимчивости комплекса [Dy(H₂O)6Cl₂]Cl в магнитном поле оптимальной напряженности 1000 Э. Построено с изменениями по данным работы [48].
Если наблюдается рост амплитуды сигнала χ˝(ν) при увеличении температуры (рис. 5), на этот факт следует обратить внимание. Такой эффект может быть связан с коллективным поведением вследствие слабых диполь-дипольных или обменных взаимодействий между парамагнитными ионами [48–52].
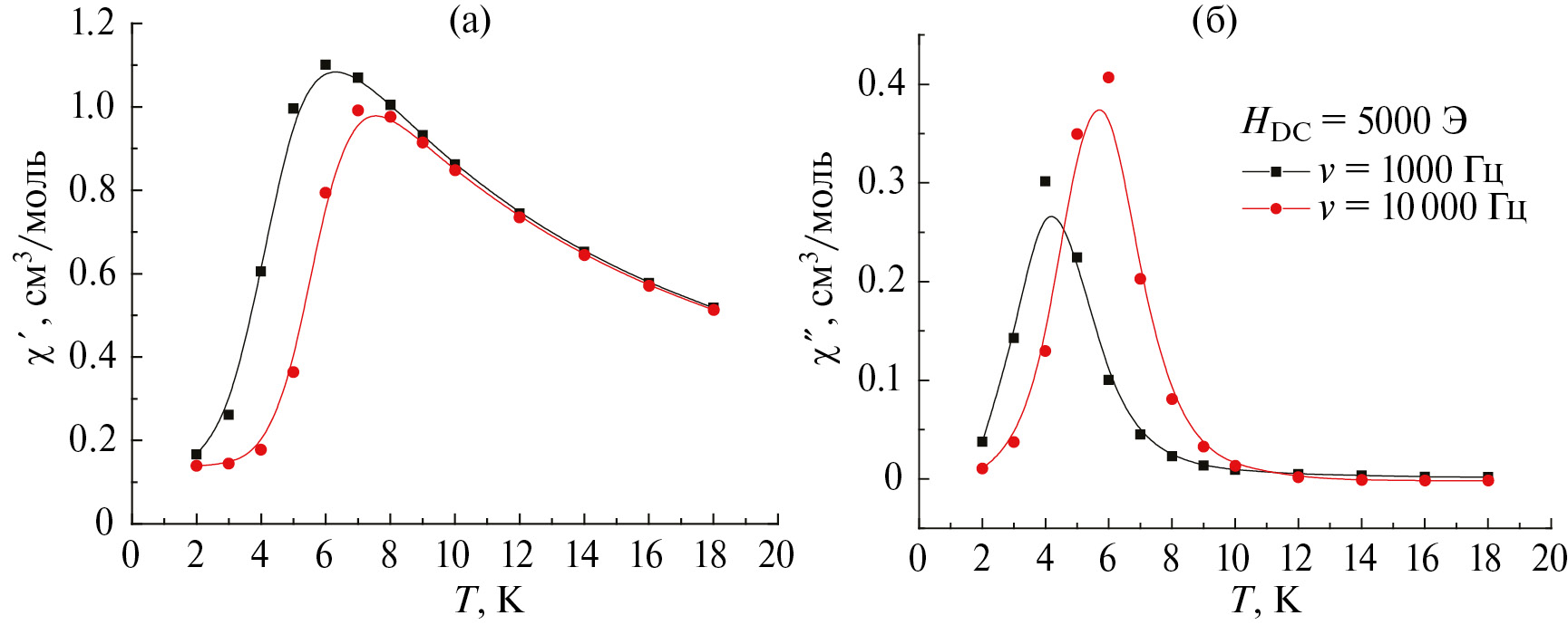
При проведении анализа экспериментальных данных измерений динамической магнитной восприимчивости необходимо получить значения времен релаксации системы при различных температурах, что можно сделать, определив частоту, при которой наблюдается перегиб на изотерме зависимости χ´(ν) или максимум на зависимости χ˝(ν). Аналогичную информацию можно получить из анализа температурных зависимостей χ´(T) и χ˝(T), измеренных при постоянных частотах (рис. 6). Так как положение максимума на зависимости χ˝(ν) определить с достаточной точностью возможно без привлечения специального математического аппарата, то зачастую время релаксации при данной температуре определяют по частоте, при которой наблюдается максимум νmax. Время релаксации системы при постоянной температуре вычисляется по формуле: τ = 1/2πνmax. При оценке времени релаксации системы по температурным зависимостям χ˝(T) при фиксированных частотах определяют положение максимума на этой зависимости, что соответствует температуре, при которой время релаксации пропорционально обратной величине измерительной частоты τ = 1/2πνmax.
Для более подробного анализа экспериментальных зависимостей χ´(ν) и χ˝(ν) используют обобщенную (на случай некоторого набора путей релаксации системы, что обычно и наблюдается для реальных систем) модель Дебая:
(2)
(3)
где χ´∞ – адиабатическая восприимчивость при ντ ≫ 1 (высокая частота); χ´0 – изотермическое значение восприимчивости при ντ << 1 (низкая частота); ν — частота; τ –время релаксации, α – параметр распределения времен релаксации (α = 0 – идеально узкое распределение; 1 – бесконечно широкое). Примеры аппроксимации экспериментальных данных уравнениями обобщенной модели Дебая приведены на рис. 4 и 5.
Возможен как отдельный анализ данных χ´ и χ˝, так и одновременная аппроксимация обеих зависимостей с одинаковыми значениями параметров, например в программе Origin1 [53]. При необходимости это уравнение несложно преобразовать для использования в других программах анализа, которые позволяют проводить аппроксимацию данных, например, таких как KaleidaGraph [54] и др.
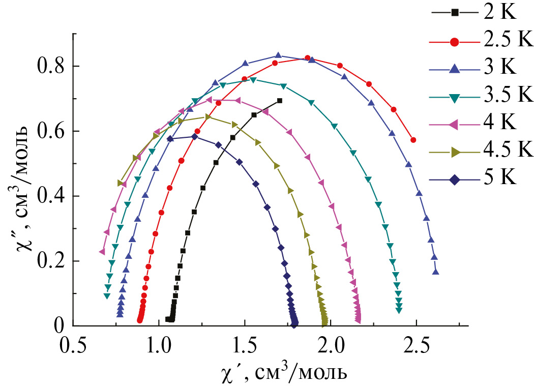
При анализе экспериментальных данных производят построение диаграмм Арганда (Argand diagram), аналог диаграммы Коула–Коула (Cole-Cole plot) – зависимости мнимой компоненты динамической магнитной восприимчивости от действительной χ˝(χ´), пример представлен на рис. 7 [55, 56]. Построение таких зависимостей позволяет визуально оценить наличие двух путей прохождения релаксации в исследуемом образце. В работе Ливиу Чиботару (Liviu F. Chibotaru) [57] авторы рассматривают возможность появления двух пиков на зависимости мнимой части динамической магнитной восприимчивости с теоретической точки зрения. На основании теоретических выкладок для системы трех уровней построена модель, адекватно описывающая появление двух максимумов на указанных зависимостях. Показано, что в системе, содержащей n уровней, возможно появление n–1 максимума на зависимости χ˝(ν). Зачастую наличие двух путей релаксации связано с наличием двух неэквивалентных парамагнитных центров с близким координационным окружением [58], при этом неэквивалентность может быть связана с разупорядочением в структуре. Разупорядочение, в свою очередь, приводит к незначительному изменению релаксационных характеристик, а как следствие — наблюдению двух максимумов на частотных зависимостях χ˝. В частности, в работах [59–61] сделано небезосновательное предположение, что наличие двух максимумов на частотной зависимости χ˝ наиболее вероятно связано с разупорядочением одного протона координированной молекулы воды.
Рис. 6. Температурные зависимости χ´ (а) и χ˝ (б) для комплекса [Er(H₂O)₆Cl₂]Cl [48].
В случае обнаружения двух максимумов на зависимостях χ˝(ν), аппроксимацию экспериментальных данных следует производить с помощью суммы двух вышеприведенных формул (2) и (3) (см. приложение к статье [62]).
Для обработки экспериментальных данных, в частности зависимостей χ˝(χ´) группой ученых под руководством Николаса Чилтона (Nicholas F. Chilton) из Манчестерского университета [63] разработана программа CC-FIT2 [64, 65]. Данная программа позволяет в автоматическом режиме обрабатывать файлы данных АС-измерений, выдаваемые приборами фирмы Quantum Design. В программе CC-FIT2 возможно проведение аппроксимации экспериментальных данных с использованием модели Дебая, обобщенной модели Дебая или суммы двух обобщенных моделей Дебая. По результатам работы для зависимостей χ˝(χ´), у которых наблюдаются максимумы, программа выдаeт времена релаксации τ при каждой температуре, а также погрешность их определения. Также программа CC-FIT2 позволяет проводить аппроксимации с использованием различных наборов механизмов релаксации.
Еще одной программой, которая позволяет проводить обработку данных АС-эксперимента, является программа MagSuite [66], разработанная Мэтью Розирэсом (Rouzières Mathieu), работающим в группе Родольфа Клерака в Центре исследований Поля Паскаля [67]. Программа MagSuite обладает всем функционалом программы CC-FIT2 и в дополнение позволяет производить манипуляции с данными: сортировать, вводить поправки, делать нормировку данных, экспортировать данные в различные форматы.
К минусам программы CC-FIT2 на момент написания данной статьи можно отнести неудобство ее интерфейса, что может быть изменено разработчиками в ходе дальнейших модификаций программы.
Бесспорным плюсом программ CC-FIT2 и MagSuite является существенная автоматизация процесса обработки, что приводит к увеличению скорости обработки экспериментальных данных.
МЕХАНИЗМЫ РЕЛАКСАЦИИ
При интерпретации результатов измерений динамической магнитной восприимчивости проводят аппроксимацию экспериментальных данных τ(T) математическими выражениями, описывающими различные пути релаксации системы или суммой нескольких возможных путей релаксации. Обычно рассматривают следующие механизмы релаксации: механизм Орбаха, механизм Рамана, прямой механизм релаксации и КТН. Упрощенные математические выражения для этих механизмов релаксации, схематическое изображение механизма и параметры с указанием размерностей, используемые при аппроксимации, приведены в табл. 1.
Рис. 7. Зависимости Коула–Коула для комплекса [Er(H₂O)₆Cl₂]Cl в магнитном поле 1000 Э и диапазоне температур 2–5 K. Построено с изменениями по данным работы [48].
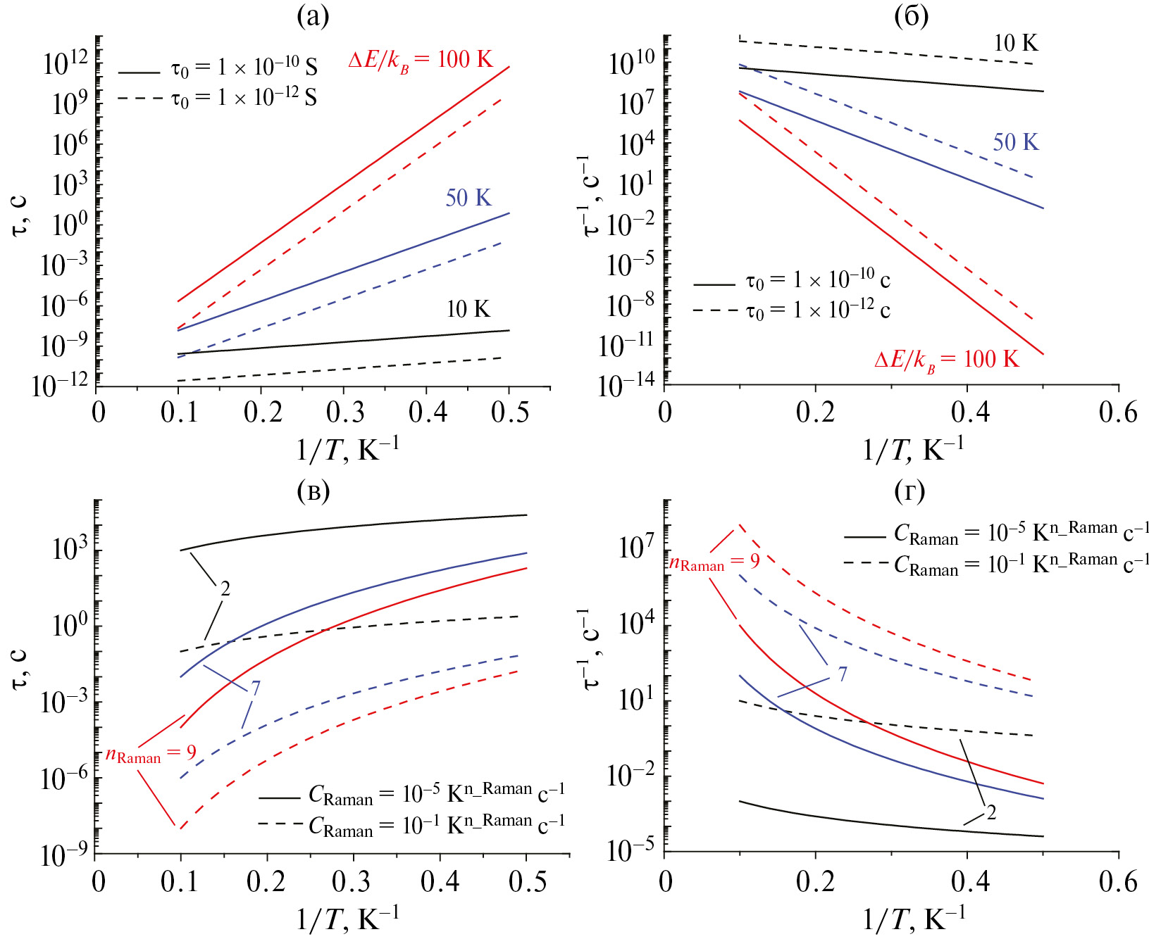
Изображение зависимости времени релаксации от температуры возможно в различном виде: τ(T), τ(1/T), 1/τ(T), 1/τ(1/T), logτ(1/T), logτ(logT) и др. Приоритетным считается изображение данной зависимости в виде τ(1/T) с использованием логарифмической шкалы по оси времени релаксации. Такое построение позволяет выявить наиболее интересующий исследователей Орбаховский механизм релаксации, который в данной системе координат будет выглядеть как прямая линия. Аналогичный вид будет и для зависимости в виде logτ(1/T), однако преимуществом построения зависимости в виде τ(1/T) в полулогарифмической системе координат является возможность определения параметра τ0 мысленным продлением линейного участка зависимости до пересечения с осью времени релаксации (предел бесконечно большой температуры) – точка пересечения будет соответствовать времени наискорейшей релаксации системы по механизму Орбаха, т.е. параметру τ0. При решающем влиянии механизма Рамана линейная зависимость времени релаксации от температуры будет наблюдаться для построения графика времени релаксации от температуры с логарифмическими шкалами по обеим осям. Виды зависимостей времени релаксации от температуры для механизмов Орбаха и Рамана с разным набором параметров релаксации приведены на рис. 8 и S1.
Рис. 8. Зависимости времени релаксации от температуры при различном построении по осям координат для механизмов Орбаха (а, б) и Рамана (в, г) с параметрами, представленными на графиках.
Следует отметить, что с точки зрения температурных зависимостей прямой механизм выглядит как механизм Рамана с nRaman= 1, и поэтому на рис. 8 и рис. S1 его температурная зависимость не приведена. Если в системе ведущую роль играет КТН, то зависимость времени релаксации от температуры будет идти параллельно оси температур вне зависимости от того, в каком виде изображена эта зависимость (τ(T), τ(1/T) или др.).
Релаксация Орбаха, Рамана и по прямому механизму происходит посредством фононного взаимодействия. Фононы представляют собой кванты энергии согласованного колебательного движения атомов твердого тела. В релаксации по механизму Орбаха и Рамана задействованы два фонона: в первом случае релаксация намагниченности происходит через реальный уровень энергии; во втором — через виртуальный. В нулевом магнитном поле энергии ħω поглощенного и испущенного фононов совпадают. Прямой механизм релаксации является однофононным, сопровождается переходом системы с более высокого энергетического уровня на более низкий с испусканием фонона. При релаксации по механизму КТН фононы не задействованы.
В мировой научной литературе иногда используются и более специфические механизмы релаксации, а также несколько более сложная запись математических выражений (с бόльшим числом параметров) указанных выше механизмов. Более подробно с механизмами релаксации намагниченности можно ознакомиться в работах Романа Бочи (Roman Boča; например, [47]).
Зачастую параметры в математических выражениях для некоторых механизмов релаксации фиксируют при значениях, характерных для тех или иных систем, например для Крамерсовых (содержащих нечетное число неспаренных электронов) и не Крамерсовых (четное число электронов) ионов. Наиболее часто используемые или характерные значения параметров приведены в графе «Параметры» в табл. 1.
Таблица 1. Основные механизмы релаксации намагниченности
Математическое выражение | Параметры | Схематическое представление |
Механизм релаксации Орбаха τOrbach−1 = τ0−1exp{–ΔE/kBT} зависит от температуры не зависит от напряженности внешнего магнитного поля | τ0 [с]; ΔE/kB [K] или ΔE [см−1] kB — постоянная Больцмана τ0 ~ 10−10–10−12 c 1 см−1 = 1.439 K 1 K = 0.695 см−1 | |
Механизм релаксации Рамана τRaman−1 = CRaman Tn_Raman зависит от температуры не зависит от напряженности внешнего магнитного поля | CRaman [K-n_Ramanс–1]; nRaman [-] CRaman ~10–5–10–1 K–n_Ramanс–1 nRaman = 2 (фононное бутылочное горло) 5 (близко расположенные дублеты) 7 (для не Крамерсовых) 9 (для Крамерсовых) | |
Прямой механизм релаксации τdirect−1 = AdirectHn_directT зависит от температуры и напряженности внешнего магнитного поля | Adirect [K−1Э−n_directс−1]; ndirect [-] ndirect = 2 (для не Крамерсовых) 4 (для Крамерсовых) | |
Квантовое туннелирование намагниченности τКТН−1 = B1/(1+B2H2) зависит от напряженности внешнего магнитного поля не зависит от температуры | B1 [c−1]; B2 [Э−2] |
* Дополнительные материалы доступны по DOI статьи: 10.31857/S0132344X24070011
При аппроксимации экспериментальных зависимостей времени релаксации от температуры комбинацией нескольких релаксационных механизмов необходимо помнить, что аддитивной величиной являются значения, обратные времени релаксации, а число экспериментальных точек должно быть равно или больше числа параметров аппроксимирующей функции. В большинстве случаев экспериментальные данные удовлетворительно описываются суммой не более чем двух механизмов релаксации.
Для механизмов релаксации, которые зависят от напряженности внешнего магнитного поля (прямой механизм и КТН), имеет смысл проводить одновременно аппроксимацию зависимостей времени релаксации от температуры и от напряженности внешнего магнитного поля с целью увеличения точности значений параметров модели. По своей сути это эквивалентно аппроксимации точек в трехмерном пространстве температура–поле–время релаксации.
При анализе экспериментальных данных фактически производят их аппроксимацию отдельными механизмами релаксации или их суммами. Пример таблицы с перебором механизмов см. в приложении к английской версии (табл. S1).
Интересный пример рассуждений на тему реализации различных механизмов релаксации в исследуемых комплексных соединениях приведен в сопроводительных материалах работы [68].
Следует отметить, что для адекватного выбора механизма или суммы механизмов релаксации необходимо иметь результаты теоретических расчетов, чтобы можно было сравнить полученные экспериментальные данные, например по барьеру перемагничивания, с теоретическими значениями положения уровней энергии парамагнитного иона.
ЗАКЛЮЧЕНИЕ
Технические детали и особенности проведения эксперимента, зачастую опускаемые как в отечественной, так и в мировой научной литературе, в ряде случаев препятствуют эффективному освоению метода динамической магнитной восприимчивости. Исследование методом динамической магнитной восприимчивости является высокочувствительным и информативным, но для его освоения требуются специфические знания, которые освещены в данной работе. В целом данный метод является достаточно времязатратным, но, благодаря пониманию алгоритмов построения эксперимента, длительность проведения измерений возможно существенно сократить. Приведенные в настоящей статье данные помогут как начинающим исследователям-экспериментаторам понять основы составления измерительных последовательностей, так и более опытным коллегам обратиться к данной статье как к справочному материалу по обработке и первичной интерпретации полученных экспериментальных данных.
Авторы заявляют, что у них нет конфликта интересов.
БЛАГОДАРНОСТИ
Графики экспериментальных зависимостей, приведенные в статье, были получены с использованием оборудования ЦКП ФМИ ИОНХ РАН. Авторы благодарят Родольфа Клерака за возможность получить бесценный опыт магнитных исследований.
ФИНАНСИРОВАНИЕ
Работа выполнена при поддержке Российского научного фонда (грант № 22-73-10189; https://rscf.ru/project/22-73-10189/).
1 Пример записи уравнений для Origin 8.5 см. в Приложении.
About the authors
N. N. Efimov
Kurnakov Institute of General and Inorganic Chemistry, Russian Academy of Sciences
Author for correspondence.
Email: nnefimov@narod.ru
Russian Federation, Moscow
K. A. Babeshkin
Kurnakov Institute of General and Inorganic Chemistry, Russian Academy of Sciences
Email: nnefimov@narod.ru
Russian Federation, Moscow
A. V. Rotov
Kurnakov Institute of General and Inorganic Chemistry, Russian Academy of Sciences
Email: nnefimov@narod.ru
Russian Federation, Moscow
References
- Sessoli R., Gatteschi D., Caneschi A., et al. // Nature. 1993. V. 365. P. 141.
- Ali J., Kumar P., Chandrasekhar V. // Chem. An Asi. J. 2023. V. 19. Art. e202300812
- Aravena D., Ruiz E. // Dalton Trans. 2020. V 49. P. 9916.
- Bernot K. // Eur. J. Inorg. Chem. 2023. V. 26. Art e202300336.
- Edelmann F.T., Farnaby J.H., Jaroschik F., et al. // Coord. Chem. Rev. 2019. V. 398. P. 113005.
- Harriman K.L.M., Errulat D., Murugesu M. // Trends in Chem. 2019. V 1. P. 425.
- Kragskow J.G.C., Mattioni A., Staab J.K. et al. // Chem. Soc. Rev. 2023. V. 52. P. 4567
- Liddle S.T., Van Slageren J. // Chem. Soc. Rev. 2015. V. 44, P. 6655.
- Marin R., Brunet G., Murugesu M. // Angew. Chem. Int. Ed. 2021. V. 60. P. 1728.
- Matheson B.E., Dais T.N., Donaldson M.E. et al. // Inorg. Chem. Front. 2023. V. 10. P. 6427.
- Pointillart F., Bernot K., Le Guennic B., et al. // Chem. Commun. 2023. V. 59. P. 8520.
- Pointillart F., Cador O., Le Guennic B., et al. // Coord. Chem. Rev. 2017. V. 346. P. 150.
- Raza A., Perfetti M. // Coord. Chem. Rev. 2023. V. 490. P. 215213.
- Sekine Y., Nakamura R., Akiyoshi R., et al. // Chem. Plus Chem. 2023. V. 88. Art e202200463
- Shao D., Wang X. // Chin. J. Chem. 2020. V. 38, P. 1005.
- Swain A., Sharma T., Rajaraman G. // Chem. Commun. 2023. V. 59. P. 3206.
- Titiš J., Rajnák C., Boča R. // Inorganics. 2023. V. 11. P. 452.
- Vieru V., Gómez‐Coca S., Ruiz E. et al. // Ang. Chem. 2024. V. 136. Art e202303146.
- Vostrikova K.E. // Inorganics. 2023. V. 11. P. 307.
- Wang C., Meng Y.-S., Jiang S.-D. et al. // Sci. China Chem. 2023. V. 66. P. 683–702.
- Wang J., Sun C., Zheng Q. et al. // Chem. An Asi. J. 2023. V. 18. Art e202201297.
- Yin X., Deng L., Ruan L. et al. // Materials. 2023. V. 16. P. 3568.
- Zabala-Lekuona A., Seco J.M., Colacio E. // Coord. Chem. Rev. 2021. V. 441. P. 213984.
- Zhu Z., Li X.-L., Liu S. et al. // Inorg. Chem. Front. 2020. V. 7. P. 3315.
- Zhu Z., Tang J. // Chem. Soc. Rev. 2022. V. 51, P. 9469.
- Kalinnikov, V.T. and Rakitin, Yu.V., Vvedenie v magnetokhimiyu: Metod staticheskoi magnitnoi vospriimchivosti v khimii (Introduction to Magnetochemistry: Static Magnetic Susceptibility Method in Chemistry), Moscow: Nauka, 1980, p. 302.
- Carlin, R.L., Magnetochemistry, Berlin: Springer, 1986.
- Kahn O. Molecular Magnetism. Weinheim: VCH Publishers. 1993. P. 408
- Вонсовский С.В. Магнетизм. М.: Наука, 1971. С. 1032
- Rakitin, Yu.V. and Kalinnikov, V.T., Sovremennaya magnetokhimiya (Modern Magnetochemistry), St. Petersburg: Nauka, 1994, p. 272.
- Novikov V.V., Nelyubina Yu.V. // Russ. Chem. Rev. 2021 V. 90 P. 1330.
- Long J., Lyubov D.M., Kissel´ A.A. et al. // CrystEngComm. 2022. V. 24. P. 6953.
- Long J., Tolpygin A.O., Lyubov D.M. et al. // 2021. Dalton Trans. V. 50. P. 8487.
- Long J., Tolpygin A.O., Mamontova E. et al. // Inorg. Chem. Front. 2021. V. 8. P. 1166.
- Kazin P.E., Zykin M.A., Trusov L.A. et al. // Dalton Trans. 2020. V. 49. P. 2014.
- Sharifullin T.Z., Vasiliev A.V., Eliseev A.A. et al. // Mendel. Commun. 2023. V. 33. P. 866.
- Zykin M.A., Kazin P.E., Jansen M. // Chem. A Eur. J. 2020. V. 26. P. 8834.
- Lutsenko I.A., Kiskin M.A., Nikolaevskii S.A. et al. // ChemistrySelect. 2019. V. 4. P. 14261.
- Nehrkorn J., Valuev I.A., Kiskin M.A. et al. // J. Mater. Chem. 2021. V 9. P. 9446.
- Krotkii I.I., Shcherbakova E. Yu., Lyubchenko S.N. et al. // Polyhedron. 2024. V. 251. P. 116876.
- Tupolova Y.P., Korchagin D.V., Andreeva A.S. et al. // Magnetochemistry. 2022. V. 8. P. 153.
- Aldoshin S.M., Antipin I.S., Kniazeva M.V. et al. // Israel J. Chem. 2020. V. 60. P. 600.
- Korchagin D.V., Ivakhnenko E.P., Demidov O.P. et al. // New J. Chem. 2023. V. 47. P. 21353.
- Bonnenfant C., Vadra N., Rouzières M. et al. // Dalton Trans. 2024. V. 53. P. 2815.
- Dhers S., Wilson R.K., Rouzières M. et al. // Cryst. Growth Des. 2020. V. 20. P. 1538.
- Liu J., Nodaraki L.E., Martins D.O. et al. // Eur. J. Inorg. Chem. 2023. V. 26. Art. e202300552.
- Rajnák C.; Titiš J.; Boča R. // Magnetochemistry 2021. V. 7. 76.
- Petrosyants S.P., Babeshkin K.A., Ilyukhin A.B. et al. // Magnetochemistry. 2023. V. 9. P. 31.
- Babeshkin K.A., Gavrikov A.V., Petrosyants S.P. et al. // Eur. J. Inorg. Chem. 2000 V. 46. P. 4380
- Feng M., Tong M.L. // Chem. Eur. J. 2018 V. 24. P. 7574.
- Mamontova E., Long J., Ferreira R. et al. // Magnetochemistry. 2016. V. 2. P. 41.
- Habib F., Lin P.-H., Long J. et al. // J. Am. Chem. Soc. 2011. V. 133. P. 8830.
- Origin and OriginPro 2024. https://www.originlab.com/
- KaleidaGraph v5 for Mac and Windows. https://www.synergy.com/
- Argand J. R. Essai sur une manière de représenter les quantités imaginaires dans les constructions géométriques. Paris: Gauthier-Villars, 1874.
- Cole K.S., Cole R.H. // J. Chem. Phys. 1941. V. 9. P. 341.
- Ho L.T.A., Chibotaru L.F. // Phys. Rev. B. 2016. V. 94. P. 104422.
- Pavlov A.A., Nelyubina Y.V., Kats S.V. et al. // J. Phys. Chem. Lett. 2016. V. 7. P. 4111.
- Gavrikov A.V., Koroteev P.S., Efimov N.N. et al. // Dalton Trans. 2017. V. 46. P. 3369.
- Gavrikov A.V., Efimov N.N., Dobrokhotova Zh.V. et al. // Dalton Trans. 2017. V. 46. P. 11806.
- Petrosyants S.P., Babeshkin K.A., Ilyukhin A.B. et al. // Russ. J. Coord. Chem. 2021. V. 47. P. 165.
- Novitchi G., Jiang S., Shova S. et al. // Inorg. Chem. 2017. V. 56 P. 14809.
- The Chilton Group. Magnetism, Spectroscopy, Theory. https://www.nfchilton.com/
- Reta D., Chilton N.F. // Phys. Chem. Chem. Phys. 2019. V. 21. P. 23567.
- Blackmore W.J.A., Gransbury G.K., Evans P. et al. // Phys. Chem. Chem. Phys. 2023 V. 25. P. 16735.
- Rouzières M. MagSuite. Zenodo, 2020. https://doi.org/10.5281/zenodo.4030310
- The Molecular Materials & Magnetism. https://m3.crpp.cnrs.fr/magsuite/
- Polyzou C.D., Koumousi E.S., Lada Z.G. et al. // Dalton Trans. 2017. V. 46. P. 14812.
Supplementary files














