Моноядерные координационные соединения никеля(II) и меди(II) с лигандами на основе S-метилизотиосемикарбазонов ацетил(бензоил)ацетона и 8-хинолинальдегида. Синтез и кристаллическая структура
- Авторы: Коку М.А.1, Боурош П.Н.1, Кравцов В.Х.1, Данилеску О.С.1,2, Булхак И.И.1
-
Учреждения:
- Государственный университет Молдовы
- Технический Университет Молдовы
- Выпуск: Том 50, № 3 (2024)
- Страницы: 209-219
- Раздел: Статьи
- URL: https://bakhtiniada.ru/0132-344X/article/view/262776
- DOI: https://doi.org/10.31857/S0132344X24030061
- EDN: https://elibrary.ru/NSHKZV
- ID: 262776
Цитировать
Полный текст
Аннотация
При темплатной конденсации S-метилизотиосемикарбазонов ацетил- или бензоилацетона с 8-хинолинальдегидом в присутствии ионов никеля(II) и меди(II) были получены четыре новых моноядерных координационных соединения [NiL1]I (I), [CuL1I] (II), [NiL2]I (III) и [CuL2I] (IV). Химический состав соединений подтвержден с помощью элементного анализа, ИК-спектроскопией, масс-спектрометрией, а кристаллическая структура соединений I и II определена методом рентгеноструктурного анализа (CCDC № 2266386, 2266387). Рентгеноструктурное исследование выявило квадратно-плоскостную структуру координационного окружения центрального иона катионного комплекса Ni(II) и квадратно-пирамидальную в молекулярном комплексе Cu(II).
Полный текст
Комплексные соединения переходных металлов с основаниями Шиффа c азометиновыми донорными атомами азота, содержащие гетероциклические заместители, привлекают значительное внимание исследователей из-за их уникальных свойств и универсального применения в различных областях [1].
В результате использования в качестве исходных блоков различных производных диамина или дикарбонильных соединений, у которых терминальные группы идентичны по функциональным свойствам, получаются разнообразные симметричные системы. При этом использование таких производных гидразина, как тио- и семикарбазид и его производные, тио- и семикарбазоны, а также и алкилированные по сере тиосемикарбазоны, позволяет получать асимметричные системы, относящиеся к открытым Шиффовым основаниям с незамкнутым циклом [2—11]. Эти соединения проявляют различную биологическую активность, включая противовирусные, цитостатические, антибактериальные, противораковые, противогрибковые свойства, а также каталитическую активность в отношении широкого круга соединений [2].
Также известно, что комплексы переходных металлов на основе производных хинолина (в частности, хинолинкарбальдегиды) проявляют бактерицидные, инсектицидные, фунгицидные и противоопухолевые свойства [12—15]. Сочетание двух активных фрагментов, тиосемикарбазонных или S-алкилизотиосемикарбазонных, с хинолинными в одном соединении представляется перспективным для получения биологически активных соединений. При этом комплексы 3d-металлов на основе семи- и тиосемикарбазонов 8-хинолинальдегида и его производных с различным строением известны [10, 11, 16—19], включая комплексы, способные подавлять рост раковых клеток, что позволит в перспективе применять их в качестве противоопухолевых препаратов [10, 19]. Исследование координационных соединений, содержащих тиосемикарбазон 8-хинолинальдегида [10, 16—18, 20—24], показало, что природа аниона и заместителей в халькогенсемикарбазидном фрагменте лигандов является влияющим фактором на их состав и строение. Таким образом, интерес представляют асимметричные системы координационных соединений переходных металлов на основе S-алкилизотиосемикарбазонов различных β-дикетонов и хинолинальдегидов, которые отличаются разнообразным строением и обладают полезными свойствами.
В настоящей работе описаны методики получения и результаты исследований четырех асимметричных новых моноядерных координационных соединений никеля(II) и меди(II): [NiL1]I (I), [CuL1I] (II), [NiL2]I (III) и [CuL2I] (IV) c лигандами, полученными при взаимодействии S-метилизотиосемикарбазона ацетил- или бензоилацетона иодгидрата с 8-хинолинальдегидом.
Экспериментальная часть
Для синтеза использовали коммерчески доступные реагенты (в том числе растворители) из каталогов компании Sigma-Aldrich, без предварительной очистки: тиосемикарбазид (99%), иодистый метил (≥99.0% (GC)) 2,4-пентандион (ацетилацетон) (≥99%), 1-фенил-1,3-бутандион (бензоилацетон) (99%), 8-хинолин альдегид (≥97%), ацетат никеля(II) тетрагидрат (≥98%), ацетат меди(II) моногидрат (≥98%), метиловый спирт (99.8%), триэтиламин (≥99%). S-метилтиосемикарбазид иодгидрат получали согласно методике [25], а S-метилизотиосемикарбазоны ацетил- и бензоилацетона иодгидрата — согласно методике [26, 27].
Синтез [NiL1]I (I). К теплому раствору 55—60˚С 0.32 г (1 ммоль) S-метилизотиосемикарбазона ацетилацетона иодгидрата и 1.6 г (1 ммоль) 8-хинолинальдегида в 20 мл метилового спирта добавляли 0.25 г (1 ммоль) Ni(CH3COO)2 · 4H2O в 10 мл метилового спирта и 5 мл триэтиламина. Образовавшуюся коричневую реакционную смесь нагревали до 60–65˚С в течение 20 мин, используя обратный холодильник. При охлаждении выпадало кристаллическое вещество темно-коричневого цвета, которое отфильтровывали и промывали метанолом, а затем диэтиловым эфиром. Выход — ~77% (0.39 г). Тпл >360˚C. Молекулярный пик в pESI масс-спектре: m/z = 383 [M—I]+ (I, 100%).
Найдено, %: C 39.58; H 3.30; N 10.78.
Для C17H17N4SOINi (M = 510.99)
вычислено, %: C 39.92; H 3.32; N 10.96.
ИК-спектр (ν, см–1): 3468 cр, 3405 ср, 3107 ср, 3056 ср, 3032 ср, 2991 ср, 2909 ср, 2005 ср, 1871 ср, 1611 ср, 1585 с, 1571 с, 1550 с, 1520 ср, 1505 с, 1465 пл, 1449 с, 1423 с, 1400 сл, 1376 пл, 1364 о.с, 1320 ср, 1314 ср, 1294 ср, 1270 с, 1244 ср, 1223 ср, 1183 с, 1146 о.с, 1110 с, 1062 сл, 1042 сл, 1021 ср, 1001 ср, 979 сл, 971 ср, 957 сл, 941 ср, 923 ср, 862 ср, 843 с, 811 ср, 793 с, 776 о.с, 723 сл, 703 сл, 659 сл, 639 сл, 587 сл, 549 сл, 516 сл, 444 о.сл.
Синтез [СuL1I] (II). К теплому раствору 55—60˚С 0.32 г (1 ммоль) S-метилизотиосемикарбазона ацетилацетона иодгидрата и 1.6 г (1 ммоль) 8-хинолинальдегида в 20 мл метилового спирта добавляли 0.25 г (1 ммоль) Cu(CH3COO)2·H2O в 10 мл метилового спирта и 5 мл триэтиламина. Образовавшуюся коричневую реакционную смесь нагревали до 60—65˚С в течение 60 мин с обратным холодильником. При охлаждении выпадало кристаллическое вещество темно-коричневого цвета, которое отфильтровывали и промывали метанолом, а затем диэтиловым эфиром. Выход — ~67% (0.35 г). Тпл = 192—194˚C. Молекулярный пик в pESI масс-спектре: m/z = = 388 [M—I]+ (I, 100%).
Найдено, %: C 38.78; H 3.27; N 10.78.
Для C17H17N4SOICu (M = 515.85)
вычислено, %: C 39.58; H 3.32; N 10.86.
ИК-спектр (ν, см–1): 3090 о.сл, 3063 ср, 3036 ср, 3000 ср, 2917 ср, 2841с л, 2390 сл, 2190 сл, 1985 сл, 1617 ср, 1588 с, 1576 с, 1551 с, 1528о.с, 1514 пл, 1483 с, 1444 пл, 1426 с, 1370 с, 1358 о.с, 1320 ср, 1302 с, 1272 ср, 1262 с, 1241 с, 1218 ср, 1205 ср, 1180 сл, 1157 о.с., 1107 пл, 1100 с. 1094 пл, 1052 ср, 1038 сл, 1014 пл, 1004 с, 990 пл, 969 ср, 954 сл, 945 ср, 923 ср, 917 с, 844 пл, 836 с, 812 ср, 788 с, 768 о.с, 646 ср, 614 ср, 564 ср, 540 сл, 506 сл, 496 ср, 469 сл, 431 сл.
Синтез [NiL2]I (III). К теплому раствору 55—60˚С 0.38 г (1 ммоль) S-метилизотиосемикарбазона бензоилацетона иодгидрата и 1.6 г (1 ммоль) 8-хинолинальдегида в 20 мл метилового спирта добавляли 0.25 г (1 ммоль) Ni(CH3COO)2 · 4H2O в 10 мл метилового спирта и 5 мл триэтиламина. Образовавшуюся коричневую реакционную смесь нагревали до 60—65˚С в течение 20 мин, используя обратный холодильник. При охлаждении выпадало кристаллическое вещество темно-коричневого цвета, которое отфильтровывали и промывали метанолом, а затем диэтиловым эфиром. Выход — ~ 50% (0.29 г). Тпл = 139—142˚C. Молекулярный пик в pESI масс-спектре: m/z = 445 [M—I]+ (I, 100%).
Найдено, %: C 45.98; H 3.50; N 10.79.
Для C22H19N4SOINi (M = 573.05)
вычислено, %: C 46.11; H 3.71; N 10.86.
ИК-спектр (ν, см–1): 3115 сл, 3087 сл, 3056 сл, 3028 сл, 2980 сл, 2923 ср, 2890 сл, 2873 сл, 2813 сл, 1672 с л.-шир., 1624 сл, 1598 ср, 1585 ср, 1565 ср, 1521 о.с, 1499 о.с, 1487 о.с, 1463 пл, 1453 ср, 1428 с, 1399 о.с, 1386 с, 1372 ср, 1312 ср, 1303 с, 1291 ср, 1250 ср, 1223 о.сл, 1207 сл, 1185 ср, 1177 ср, 1167 ср, 1140 ср, 1112 ср, 1097 ср, 1089 ср, 1079 ср, 1049 о.с, 1034 пл, 999 о.сл, 981 ср, 970 ср, 930 с, 918 ср, 897 ср, 876 с, 852 ср, 822 с, 799 ср, 776 о.с, 764 о.с, 720 сл, 708 сл, 690 о.с, 677 с, 659 ср, 650 ср, 641 ср, 630 о.сл, 611 ср, 586 ср, 559 о.сл, 530 ср, 523 сл, 507 сл, 463 ср, 432 ср, 420 ср.
Синтез [CuL2I] (IV). К теплому раствору 55—60˚С 0.38 г (1 ммоль) S-метилизотиосемикарбазона бензоилацетона иодгидрата и 1.6 г (1 ммоль) и 1.6 г (1 ммоль) 8-хинолинальдегида в 20 мл метилового спирта добавляли 0.25 г (1 ммоль) Cu(CH3COO)2 · H2O в 10 мл метилового спирта и 5 мл триэтиламина. Образовавшуюся коричневую реакционную смесь нагревали до 60—65˚С в течение 60 мин с обратным холодильником. При охлаждении выпадало кристаллическое вещество темно-коричневого цвета, которое отфильтровывали и промывали метанолом, а затем диэтиловым эфиром. Выход — ~50% (0.29 г). Тпл = 158—160˚C. Молекулярный пик в pESI масс-спектре: m/z = 450 [M—I]+ (I, 100%).
Найдено, %: C 45.72; H 3.31; N 9.69.
Для C22H19N4SOICu (M = 577.92)
вычислено, %: C 45.11; H 3.01; N 9.46.
ИК-спектр (ν, см–1): 3600—3200 ш.сл, 3055 ср, 2925 ср, 2587 ш.сл, 2315 ср, 2030 ш.сл, 1972 ш.сл, 1622 с, 1586 с, 1567 с, 1534 ср, 1509 с, 1482 о.с, 1449 с, 1427 с, 1395 пл, 1379 о.с, 1364 о.с, 1334 пл, 1303 о.с, 1288 пл, 1243 ср, 1202 ср, 1172 ср, 1158 с, 1139 ср, 1110 ср, 1084 ср, 1047 с, 1028 ср, 1022 сл, 985 сл, 971 ср, 929 ср, 916 ср, 896 ср, 870 ср, 837 ср, 823 ср, 799 ср, 781 ср, 771 с, 761 ср, 716 ср, 694 с, 652 ср, 641 ср, 581 сл, 578 сл, 539 сл, 522 о.сл, 485 сл, 472 сл, 456 сл, 424 сл, 417 сл.
Состав комплексных соединений устанавливали на основе элементного анализа, ИК-спектроскопии и РСА, строение комплексов — массспектрометрии, ИК-спектроскопии и РСА.
ИК-спектры снимали на FT-IR Perkin-Elmer Spectrum 100 в вазелиновом масле в области 4000—400 см–1 и ATР — в области 4000—650 cм–1.
Масс-спектрометрический анализ проводили на масс-спектрометре Finningan LTQ с линейной ионной ловушкой с ионизацией электрораспылением (режим положительных ионов). Растворы вводили в источник ионов электрораспыления (ESI) с помощью шприцевого насоса со скоростью потока 0.01 мл/мин. Данные были собраны и обработаны с использованием ПО MassHunter Workstation Data Acquisition для серии 6200/6500, версия B.01.03.
Температуру плавления измеряли методом Кофлера на микроскопе с нагревательным столиком и реостатом.
РСА комплексов I и II проведен при комнатной температуре на дифрактометре Xcalibur Е (MoKα-излучение, λ = 0.71073 Å, графитовый монохроматор и ω-сканирование). Параметры элементарных ячеек уточнены c учетом полного массива экспериментальных данных. Экспериментальные данные для II проинтегрированы с учетом немероэдрического двухблочного двойникования образца и уточнены c вкладом компонентов 0.5639(6) и 0.4361(6). Хотя дифракционная картина для I не выявила наличия явного двойникования кристалла, два наиболее высоких пика на разностном синтезе электронной плотности соответствуют возможной второй позиция наиболее “тяжелых” атомов Ni и S комплексного катиона в соотношении к основному 0.08 : 0.92, а все остальные пики имеют фоновые значения. Кристаллические структуры соединений решены прямыми методами и уточнены МНК в анизотропном полноматричном варианте для неводородных атомов в рамках программ SHELXS-97, SHELXL14 [28, 29]. Позиции атомов водорода рассчитаны геометрически и уточнены изотропно в модели “жесткого тела”. Кристаллографические данные и характеристики эксперимента для соединений I и II приведены в табл. 1, некоторые межатомные расстояния и валентные углы — в табл. 2, геометрические параметры водородных связей (ВС) — в табл. 3.
Таблица 1. Кристаллографические данные и характеристики эксперимента для структуры I и II
Параметр | Значение | |
I | II | |
Брутто-формула | C17H17N4OSINi | C17H17N4OSICu |
М | 510.01 | 515.84 |
Сингония | Триклинная | Моноклинная |
Пространственная группа | P¯1 | P21 / n |
а, Å | 7.2706(6) | 8.6354(15) |
b, Å | 9.970(2) | 16.137(3) |
с, Å | 11.7873(11) | 13.623(2) |
α, град | 116.960(10) | 90 |
β, град | 92.475(8) | 97.928(17) |
γ, град | 93.467(7) | 90 |
V, Å3 | 930.06(17) | 1880.3(6) |
Z | 2 | 4 |
ρ (выч.), г/см3 | 1.825 | 1.822 |
μ, мм–1 | 2.828 | 2.927 |
F(000) | 504 | 1012 |
Размеры кристалла, мм | 0.12 × 0.06 × 0.02 | 0.26 × 0.15 × 0.02 |
Область θ, град | 3.256—25.049 | 2.925—25.003 |
Интервалы индексов отражений | –8 ≤ h ≤ 8, –14 ≤ k ≤ 10, –14 ≤ l ≤ 14 | –10 ≤ h ≤ 9, –19 ≤ k ≤ 19, –15 ≤ l ≤ 16 |
Число измеренных/независимых рефлексов (Rint) | 5480 / 3277 (0.0737) | 5899 / 5899 (twin) |
Заполнение, % | 99.7 | 99.9 |
Число рефлексов с I > 2σ(I) | 1382 | 2415 |
Число уточняемых параметров | 238 | 230 |
GOOF | 0.913 | 0.801 |
R-фактор (I > 2s(I)) | R1 = 0.0773, wR2 = 0.0925 | R1 = 0.0473, wR2 = 0.0474 |
R-фактор (по всему массиву) | R1 = 0.1950, wR2 = 0.1197 | R1 = 0.1345, wR2 = 0.0516 |
Δρmax / ρmin, e Å–3 | 0.689 / –0.754 | 1.181 / –0.756 |
Таблица 2. Основные межатомные расстояния и валентные углы в соединениях [NiL1]I (I), [CuL1I] (II)
Связь | d, Ǻ | Угол | ω, град | ||
I | II | I | II | ||
M(1)—N(1) | 1.928(9) | 2.045(6) | N(1)MN(2) | 94.8(5) | 92.0(3) |
M(1)—N(2) | 1.849(12) | 1.924(6) | N(1)MN(4) | 175.5(4) | 164.9(2) |
M(1)—N(4) | 1.781(9) | 1.931(6) | N(1)MO(1) | 89.3(4) | 93.1(3) |
M(1)—O(1) | 1.770(9) | 1.907(5) | N(1)MI(1) | – | 94.25(16) |
M(1)—I(1) | — | 2.906(1) | N(2)MN(4) | 82.8(5) | 80.7(3) |
N(2)MO(1) | 174.8(4) | 168.3(3) | |||
N(2)MI(1) | – | 89.63(17) | |||
N(4)MO(1) | 93.3(4) | 91.9(3) | |||
N(4)MI(1) | – | 98.84(17) | |||
O(1)MI(1) | – | 100.52(16) | |||
Таблица 3. Геометрические параметры водородных связей в соединениях I и II
Контакт D—H∙∙∙A | Расстояние, Å | Угол DHA, град | Координаты атомов А | ||
D—H | H∙∙∙A | D∙∙∙A | |||
I | |||||
C(1)—H(1)∙∙∙O(1) | 0.93 | 2.03 | 2.627(12) | 120 | x, y, z |
C(2)—H(2)∙∙∙I(1) | 0.93 | 3.30 | 3.906(13) | 125 | x, y – 1, z |
C(3)—H(3)∙∙∙I(1) | 0.93 | 3.23 | 3.879(12) | 129 | x, y – 1, z |
C(7)—H(7)∙∙∙I(1) | 0.93 | 3.00 | 3.897(13) | 162 | x, y, z |
C(10)—H(10)∙∙∙I(1) | 0.93 | 3.27 | 4.118(12) | 153 | x, y, z |
C(10)—H(10)∙∙∙S(1) | 0.93 | 2.50 | 2.981(13) | 112 | x, y, z |
C(16)—H(16C)∙∙∙I(1) | 0.96 | 3.18 | 4.130(10) | 171 | –x + 2, –y, –z + 1 |
II | |||||
C(1)—H(1)∙∙∙O(1) | 0.93 | 2.17 | 2.799(11) | 124 | x, y, z |
C(10)—H(10)∙∙∙S(1) | 0.93 | 2.50 | 2.995(10) | 113 | x, y, z |
C(7)—H(7)∙∙∙I(1) | 0.93 | 3.11 | 3.869(10) | 140 | –x + 3/2, y – 1/2, –z + 1/2 |
C(17)—H(17A)∙∙∙I(1) | 0.96 | 3.22 | 4.057(7) | 146 | –x + 2, –y, –z |
C(17)—H(17B)∙∙∙I(1) | 0.96 | 3.06 | 4.014(7) | 174 | x + 1, y, z |
Позиционные и тепловые параметры для комплексов I и II и детали эксперимента и уточнения структур депонированы в Кембриджском банке структурных данных (CCDC № 2266386, 2266387) deposit@ccdc.cam.ac.uk или http://www.ccdc.cam.ac.uk/data_request/cif.
Результаты и их обсуждение
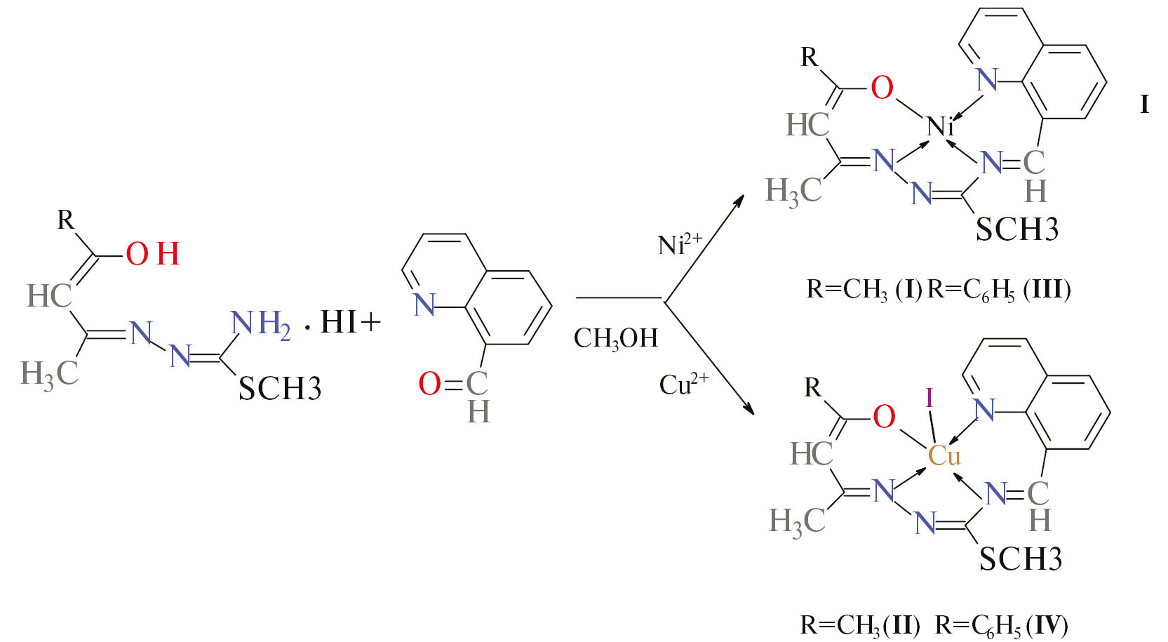
В целях расширения ряда координационных соединений на основе производных тиосемикарбазида и 8-хинолинальдегида были получены и исследованы четыре новых моноядерных координационных соединения никеля(II) и меди(II) с асимметричными тетрадентатными [N3O] лигандами (HL1 и HL2), образующиеся при взаимодействии S-метилизотиосемикарбазона ацетил(бензоил)ацетона иодгидрата с 8-хинолинальдегидом — [NiL1]I (I), [CuL1I] (II), [NiL2] I (III) и [CuL2I] (IV) соответственно (схема 1). В отличие от ранее исследованных соединений в I—IV хинолинальдегидный фрагмент конденсирован не к гидразидному атому, а к амидному атому азота изотиосемикарбазидного фрагмента лиганда.
Схема 1. Синтез комплексов I—IV.
Комплексы I—IV выделены в виде устойчивых на воздухе темно-коричневых кристаллов, растворимых в хлороформе, ДМФА, ДМС и нерастворимых в спиртах, ацетоне, гексане, эфире и воде.
В ИК-спектрах исследованных соединений в области 3400—2700 см–1 наблюдается 7—9 полос поглощения слабой и средней интенсивности, которые можно отнести к колебаниям ν(С—Н) ароматического и алифатического (включительно в C—CН3 и S—CH3) происхождения [30]. В случае полициклических систем, какими являются исследованные комплексы, количество полос поглощения в этой области увеличивается [30].
В ИК-спектрах комплексов Ni(II) и Cu(II) с L1 (I, II) и L2 (III, IV) полоса поглощения, отвечающая колебаниям ν(C···O), смещается в область более низких частот: 1550 (I), 1521(II), 1528 (III), 1482 см–1 (IV), [31]. Такое сильное смещение частот полос поглощения карбонильной группы в спектрах комплексов I—IV в сторону низких частот по сравнению с β-дикетонами (1720 см–1 в кето-форме и 1650—1600 см–1 в енольной форме [31] можно объяснить наряду с координацией карбонильной группы к металлу и резонансом между C—O—M и C=O → M при координации [30].
Полосы поглощения ν(С=С) ароматических колец наблюдаются при: 1611, 1585, 1505, 1449 (I); 1598, 1585, 1499, 1453 (II); 1617, 1588, 1514, 1444 (III) и 1622, 1586, 1509, 1449 см–1 (IV). Полосы поглощения метильных групп δas / δs (в С—СН3) / δs (в S—CH3) были обнаружены при 1465 / 1376 / 1320 (I), 1463 / 1386 / 1312 (II), 1453 / 1370 / 1320 (III), 1449 / 1379 / 1334 (IV) cм–1 [30]. Полосы поглощения δпл(СН)аром для 1,2,3-замещения: 1146, 1110, 1021 (I); 1140, 1112, 1034 (II); 1180, 1107 пл, 1014 (III); 1139, 1110, 1028 (IV) см–1. Полосы поглощения δнепл(СН)аром (три смежных незамещенных атома водорода): 776 (I), 776 (II), 768 (III), 761 (IV) см–1 [32, 33]. Полоса поглощения, отвечающая колебанию C—S—C: 657 (I), 659 (II), 646 (III), 652 (IV) см–1 [30].
Полосы поглощения, обусловленные колебаниями ν(М—О) + δ(С—СН3), проявляются для М=Ni при 444 (I) и 432 (III) см–1, а для М=Сu — при 469 (II) и 456 (IV) см–1 [34].
Химический состав комплексов I—IV установлен на основе данных элементного анализа и масс-спектров электронного удара хлороформ-метанольного раствора, которые показали наличие интенсивных пиков [M—I]+ (100%) при m/z = 383, 445, 388 и 450, соответственно, что свидетельствует о наличии иода в комплексах. Отсутствие дальнейшей фрагментации ионов в масс-спектрах исследованных соединений подчеркивает их высокую стабильность.
Структурное исследование выявило образование ионного соединения, состоящего из моноядерного комплексного катиона и внешнесферного аниона [NiL1]I (I) и молекулярного комплекса [CuL1I] (II).
Cоединение I кристализуется в триклинной пространственной группе P¯1 (см. табл. 1) и состоит из комплексного катиона [NiL]+ с квадратно-плоскостным окружением центрального атома и внешнесферного иодид-аниона. В катионе монодепротонированный тетрадентатный открытый лиганд координирован к центральному атому через набор донорных атомов N3O, образуя три сочлененных металлоцикла, два из которых шестичленные и один пятичленный (рис. 1). Расстояния Ni—N находятся в пределах 1.781(9)—1.928(9) Å, Ni—O 1.770(9) Å (см. табл. 2). Комплексный катион дополнительно стабилизирован слабыми внутримолекулярными ВС С(1)—H(1)∙∙∙O(1) и С(10)—H(10)∙∙∙S(1) (см. табл. 3).
Рис. 1. Молекулярная структура ионного комплекса I.
В кристалле иодид-анионы связаны с катионами межмолекулярными ВС С—H∙∙∙I (рис. 2), а сами комплексные катионы посредством слабых взаимодействий Ni(1)∙∙∙N(2)* (межатомное расстояние 3.429 Å) объединяются в димеры.
Рис. 2. Фрагмент упаковки компонентов в I.
Соединение II кристаллизуется в моноклинной пространственной группе P21/n и представляет собой молекулярный комплекс [CuLI] (рис. 3). В формирование квадратно-пирамидального окружения центрального атома металла вовлечены донорные атомы N3O тетрадентатного открытого лиганда, подобного лиганду в I, расположенные в базисной плоскости, a иодид-анион занимает позицию в вершине пирамиды. Расстояния Cu—N: 1.924(6)—2.045(6); Cu—O: 1.907(5); Cu—I: 2.906(1) Å. Атом Cu(1) смещается из плоскости четырех донорных атомов лиганда на 0.203 Å в сторону координированного иодид-аниона. Комплекс Cu(II), так же как и Ni(II), стабилизирован внутримолекулярными ВС С(1)—H(1)∙∙∙O(1) и С(10)—H(10)∙∙∙S(1) (см. табл. 3). В кристалле комплексы связаны между собой лишь слабыми межмолекулярными ВС С—H∙∙∙I (рис. 4).
Рис. 3. Молекулярная структура комплекса II.
Рис. 4. Фрагмент кристаллической структуры II.
В обоих комплексных соединениях органический лиганд депротонирован по гидроксильной группе, при этом этот атом кислорода вовлечен в координирование к атомам металла. В результате в этих металлоциклах достигается “частичное выравнивание” длин химических связей из-за делокализации электронов атомов циклов [35], а заряд –1 становится общим для всего цикла.
Таким образом, методом темплатной конденсации S-метилизотиосемикарбазона ацетил(бензоил)ацетона и 8-хинолинальдегида на матрице Ni(II) и Cu(II) были получены моноядерные соединения с новыми тетрадентатными открытыми лигандами, координированными через набор донорных атомов N3O. Отличительной чертой этих лигандов является конденсация хинолинальдегидного фрагмента не к гидразидному фрагменту, а к концевому амидному атому азота изотиосемикарбазидного фрагмента лиганда. При этом комплексы Ni(II) ионные c иодид-анионом во внешней сфере, а комплексы Cu(II) — молекулярные, так как иодид-анион координируется к атому металла. Склонность атомов данных металлов к проявлению такого характерного координационного окружения, а именно квадратно-плоскостного для Ni(II) и квадратно-пирамидального для Cu(II), повлияла на подобное строение этих комплексов.
Авторы заявляют об отсутствии конфликта интересов.
Финансирование
Работа выполнена в рамках двух проектов Государственной программы (2020—2023): № 20.80009.5007.28 и 20.80009.5007.15, финансируемых Национальным агентством исследований и развития Республики Молдова и субпрограмм 011202 и 010602 Министерства образования и исследований Республики Молдова.
Об авторах
М. А. Коку
Государственный университет Молдовы
Email: pavlina.bourosh@ifa.md
Институт химии
Молдавия, КишиневП. Н. Боурош
Государственный университет Молдовы
Автор, ответственный за переписку.
Email: pavlina.bourosh@ifa.md
Институт прикладной физики
Молдавия, КишиневВ. Х. Кравцов
Государственный университет Молдовы
Email: pavlina.bourosh@ifa.md
Институт прикладной физики
Молдавия, КишиневО. С. Данилеску
Государственный университет Молдовы; Технический Университет Молдовы
Email: pavlina.bourosh@ifa.md
Институт химии
Молдавия, Кишинев; КишиневИ. И. Булхак
Государственный университет Молдовы
Email: pavlina.bourosh@ifa.md
Институт химии
Молдавия, КишиневСписок литературы
- Boulechfar Ch., Ferkous H., Delimi A. et al. // Inorg. Chem. Commun. 2023. V. 150. № 4. Р. 110451.
- Gerbeleu N.V., Arion V.B., Burges J. Template Synthesis of Macrocyclic Compounds. Wiley-VCH: Weinheim, 1999. 565 p.
- Graur V., Mardari A., Bourosh P. et al. // Acta Chim. Slov. 2023. V. 70. № 1. P. 122.
- Graur V., Usataia I., Bourosh P. et al. // Appl. Organomet. Chem. 2021. V. 35. № 5. P. e6172.
- Eram-Jamal S., Iqbal A., Abdul Rahman K., Tahmeena K. // J. Drug. Deliv. Ther. 2019. V. 9. P. 689.
- Devi J., Yadav M., Jindal D.K. et al. // Appl. Organometal. Chem. 2019. V. 33. P. 1.
- Ishak N.N.M., Jamsari J., Ismail A.Z. et al. // J. Mol. Struct. 2019. V. 1198. P. 126888.
- Zhang S., Dong J., Fan X. et al. // J. Coord. Chem. 2012. V. 65. P. 3098.
- Arion V.B. // Coord. Chem. Rev. 2019. V. 387. P. 348.
- Revenko M.D., Bourosh P.N., Stratulat E.F. et al. // Russ. J. Inorg. Chem. 2010. V. 55. № 9. P. 1387. https://doi.org/10.1134/S0036023610090093
- Боурош П.Н., Ревенко М.Д., Стратулат Е.Ф. и др. // Журн. неорган. химии. 2014. Т. 59. № 6. С. 720 (Bourosh P.N., Revenko M.D., Stratulat E.F. et al. // Russ. J. Inorg. Chem. 2014. V. 59. № 6. P. 545). https://doi.org/
- Liu Z.-Ch., Wang B.-D., Yang Zh.-Y. et al. // Eur. J. Med. Chem. 2009. V. 44. P. 4477.
- Hewawasam P., Fan W., Knipe J. et al. // Bioorg. Med. Chem. Lett. 2002. V. 12. P. 1779.
- Ukrainets I.V., Gorokhova V.O., Benzuglyi A.P., Sidorenko V.L. // Farm. Zh. 2000. V. 1. P. 75.
- Laverick R.J., Zhang N., Reid E. et al. // J. Coord. Chem. 2021. V. 74. P. 321.
- Ревенко М.Д., Боурош П.Н., Стратулат Е.Ф. и др. // Журн. неорган. химии. 2009. Т. 54. № 4. С. 584 (Revenko M.D., Bourosh P.N., Stratulat E.F. et al. // Russ. J. Inorg. Chem. 2009. V. 54. № 4. P. 530). https://doi.org/10.1134/S003602360904007X
- Stratulat E., Revenco M., Prisacari V. et al. // Analele ştiinţifice ale Universităţii de Stat din Moldova. Ser. Stiinte Chim. — Biol. 2006. P. 448.
- Revenko M.D., Prisakar′ V.I., Dizdar′ A.V. et al. // Khim.-Farm. Zh. 2011. V. 44. № 12. P. 40.
- Graur V., Chumakov Yu., Garbuz O. et al. // Bioinorg Chem Appl. 2022. Art. 2705332. https://doi.org/10.1155/2022/2705332
- Ablov A.V., Gerbeleu N.V., Oloi B.T. // Zh. Neorg. Khim. 1970. V. 15. № 10. P. 2705.
- Ablov A.V., Gerbeleu N.V., Oloi B.T. // Zh. Neorg. Khim. 1970. V. 15. № 11. P. 3114.
- Ablov A.V., Gerbeleu N.V., Oloi B.T. // Zh. Neorg. Khim. 1971. V. 16. № 1. P. 189.
- Caric S., Petrovic D., Lazar D., Leovac V. // Z. Kristallogr., Kristallgeom., Kristallphys., Kristallchem. 1978. V. 148. P. 153.
- Petrovic D., Ribar B., Caric S., Leovac V. // Z. Kristallogr., Kristallgeom., Kristallphys., Kristallchem. 1979. V. 150. P. 3.
- Cattelain E. // Bull. Soc. Chim. 1944. № 11. Р. 249.
- Gerbeleu N.V., Arion V.V., Leovac V.M. et al. // J. Serb. Chem. Soc. 1992. № 57. P. 761.
- Leovac V.M., Jovanovic L.S., Cesljevicw V.I. et al. // Polyhedron. 1994. V. 13. P. 3005.
- Sheldrick G.M. // Acta Crystallogr. A. 2007. V. 64. P. 112.
- Sheldrick G.M. // Acta Crystallogr. C. 2015. V. 71. P. 3.
- Беллами Л. Инфракрасные спектры сложных молекул / Под ред. Ю.А. Пентина. М.: ИЛ, 1963. 592 с.
- Гордон А., Форд Р. Спутник химика. Физико-химические свойства, методики, библиография. М.: Мир, 1976. 541 с.
- Наканиси К. Инфракрасные спектры и строение органических соединений // Под ред. А.А. Мальцева. М.: Мир, 1965. 216 с.
- Тарасевич Б.Н. ИК-спектры основных классов органических соединений. Справочные материалы. М.: МГУ, 2012. 54 с.
- Накамото K. ИК-спектры и спектры КР неорганических и координационных соединений / Под ред. Ю.А. Пентина. М.: Мир, 1991. 536 с.
- Кокшарова Е.В. // Висник ОНУ. Хiмiя. 2014. Т. 19. Вип. 2(50). C. 27.
Дополнительные файлы







