Coordination Polymer or Cluster: Zinc Bis(3,5-di-tert-octyl-semiquinolate) with Pyrazine
- Авторлар: Maleeva A.V.1, Trofimova O.Y.1, Kocherova T.N.1, Yakushev I.A.2, Bogomyakov A.S.3, Piskunov A.V.1
-
Мекемелер:
- Razuvaev Institute of Organometallic Chemistry, Russian Academy of Sciences, Nizhny Novgorod, Russia
- Kurnakov Institute of General and Inorganic Chemistry, Russian Academy of Sciences, Moscow, Russia
- International Tomography Center, Siberian Branch, Russian Academy of Sciences, Novosibirsk, Russia
- Шығарылым: Том 49, № 11 (2023)
- Беттер: 693-705
- Бөлім: Articles
- URL: https://bakhtiniada.ru/0132-344X/article/view/162360
- DOI: https://doi.org/10.31857/S0132344X23600315
- EDN: https://elibrary.ru/NBZBCX
- ID: 162360
Дәйексөз келтіру
Толық мәтін
Аннотация
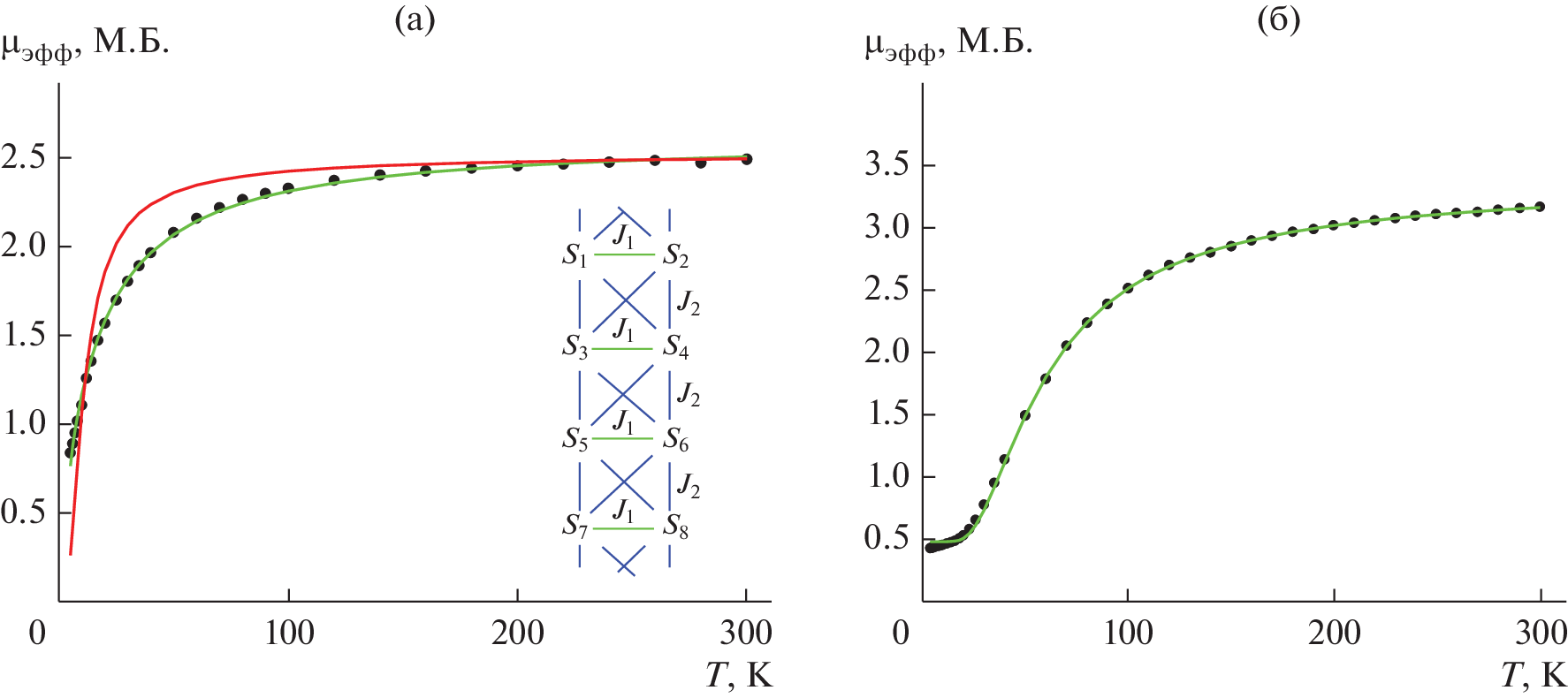
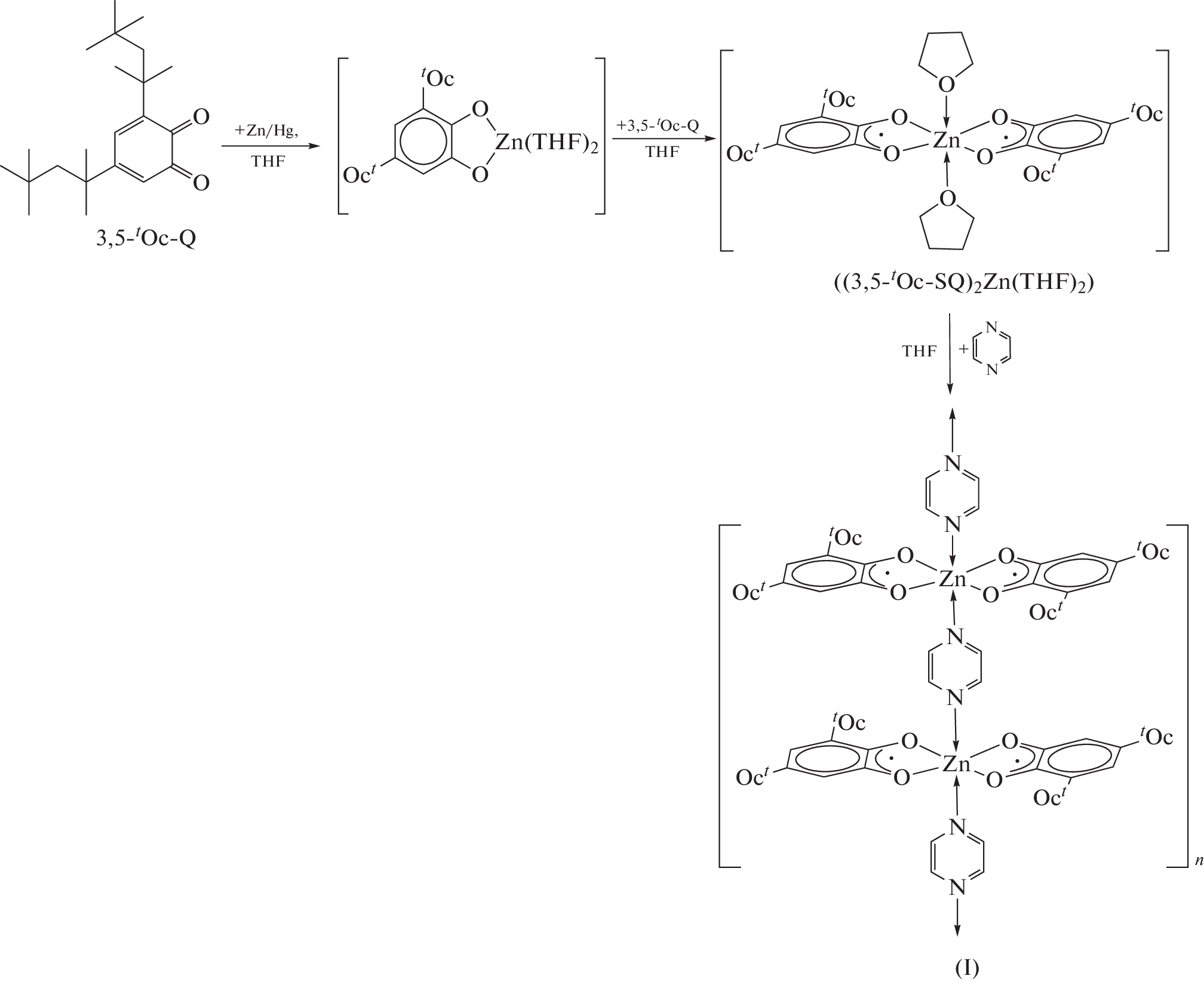
New zinc bis-o-semiquinolate complexes based on 3,5-di-tert-octyl-o-benzoquinone bearing the N-donor ligand (pyrazine) coordinated to the metal are synthesized. Two different products can be obtained depending on the synthesis method: coordination polymer (direct oxidation of metallic zinc with o-quinone (CIF file CCDC no. 2250574 (I)) or polynuclear cluster (exchange reaction (CIF file CCDC no. 2250575 (II)). The coordination polymer is linear and free of intermolecular π,π interactions between the aromatic fragments of the adjacent molecules. The magnetochemical study of complexes I and II shows that intramolecular antiferromagnetic exchange interactions between spins of the o-semiquinolate radical centers dominate.
Негізгі сөздер
Авторлар туралы
A. Maleeva
Razuvaev Institute of Organometallic Chemistry, Russian Academy of Sciences, Nizhny Novgorod, Russia
Email: arina@iomc.ras.ru
Россия, Нижний Новгород
O. Trofimova
Razuvaev Institute of Organometallic Chemistry, Russian Academy of Sciences, Nizhny Novgorod, Russia
Email: pial@iomc.ras.ru
Россия, Нижний Новгород
T. Kocherova
Razuvaev Institute of Organometallic Chemistry, Russian Academy of Sciences, Nizhny Novgorod, Russia
Email: pial@iomc.ras.ru
Россия, Нижний Новгород
I. Yakushev
Kurnakov Institute of General and Inorganic Chemistry, Russian Academy of Sciences, Moscow, Russia
Email: pial@iomc.ras.ru
Россия, Москва
A. Bogomyakov
International Tomography Center, Siberian Branch, Russian Academy of Sciences, Novosibirsk, Russia
Email: pial@iomc.ras.ru
Россия, Новосибирск
A. Piskunov
Razuvaev Institute of Organometallic Chemistry, Russian Academy of Sciences, Nizhny Novgorod, Russia
Хат алмасуға жауапты Автор.
Email: pial@iomc.ras.ru
Россия, Нижний Новгород
Әдебиет тізімі
- Pierpont C.G. // Coord. Chem. Rev. 2001. V. 219−221. P. 415.
- Ершова И.В., Пискунов А.В., Черкасов В.К. // Успехи химии. 2020. Т. 89. № 11. С. 1157 (Ershova I.V., Piskunov A.V., Cherkasov V.K. // Russ. Chem. Rev. 2020. V. 89. P. 1157). https://doi.org/10.1070/RCR4957
- Бубнов М.П., Пискунов А.В., Золотухин А.А. и др. // Коорд. химия. 2020. Т. 46. № 4. С. 204 (Bubnov M.P., Piskunov A.V., Zolotukhin A.A. et al. // Russ. J. Coord. Chem. 2020. V. 46. P. 224). https://doi.org/10.31857/S0132344X20030019
- Kaim W., Das A., Fiedler J. et al. // Coord. Chem. Rev. 2020. V. 404. Art. e213114.
- Rajput A., Sharma A.K., Barman S.K., et al. // Coord. Chem. Rev. 2020. V. 414. Art. e213240.
- Pashanova K.I., Poddel’sky A.I., Piskunov A.V. // Coord. Chem. Rev. 2022. V. 459. P. 214399.
- Чегерев М.Г., Пискунов А.В. // Коорд. химия. 2018. Т. 44. С. 109 (Chegerev M.G., Piskunov A.V. // Russ. J. Coord. Chem. 2018. V. 44. P. 258). https://doi.org/10.7868/S0132344X18020044
- Ершова И.В., Пискунов А.В. // Коорд. химия. 2020. Т. 46. № 3. С. 132 (Ershova I.V., Piskunov A.V. // Russ. J. Coord. Chem. 2020. V. 46. № 3. P. 154). https://doi.org/10.31857/S0132344X20030020
- Pierpont C.G. // Coord. Chem. Rev. 2001. V. 216–217. P. 99.
- Buchanan R.M., Pierpont C.G. // J. Am. Chem. Soc. 1980. V. 102. P. 4951.
- Shapovalova S.O., Guda A.A., Bubnov M.P. et al. // Chem. Lett. 2021. V. 50. P. 1933.
- Bubnov M.P., Skorodumova N.A., Fukin G.K. et al. // Polyhedron. 2021. V. 209. P. 115485.
- Tezgerevska T., Alley K.G., Boskovic C. // Coord. Chem. Rev. 2014. V. 268. P. 23.
- Drath O., Gable R.W., Moubaraki B. et al. // Inorg. Chem. 2016. V. 55. P. 4141.
- Hendrickson D.N., Pierpont C.G. // Top. Curr. Chem. 2004. V. 234. P. 63.
- Jung O.-S., Pierpont C.G. // J. Am. Chem. Soc. 1994. V. 116. P. 2229.
- Bubnov M.P., Kozhanov K.A., Skorodumova N.A. et al. // Inorg. Chem. 2020. V. 59. P. 6679.
- Zolotukhin A.A., Bubnov M.P., Arapova A.V. et al. // Inorg. Chem. 2017. V. 56. P. 14751.
- Guda A.A., Chegerev M.G., Starikov A.G. et al. // J. Phys.: Condens. Matter. 2021. V. 33. P. 215405.
- Ilyakina E.V., Poddel’sky A.I., Cherkasov V.K. et al. // Mendeleev Commun. 2012. V. 22. P. 208.
- Cherkasov V.K., Abakumov G.A., Grunova E.V. et al. // Chem. Eur. J. 2006. V. 12. P. 3916.
- Arsenyeva K.V., Klimashevskaya A.V., Pashanova K.I. et al. // Appl. Organomet. Chem. 2022. V. 36. № 4. Art. e6593.
- Ershova I.V., Meshcheryakova I.N., Trofimova O.Y. et al. // Inorg. Chem. 2021. V. 60. P. 12309.
- Ershova I.V., Meshcheryakova I.N., Trofimova O.Y. et al. // Inorg. Chim. Acta. 2022. V. 535. P. 121031.
- Pashanova K.I., Bitkina V.O., Yakushev I.A. et al. // Molecules. 2021. V. 26. P. 4622.
- Maleeva A.V., Ershova I.V., Trofimova O.Y. et al. // Mendeleev Commun. 2022. V. 32. P. 83.
- Ершова И.В., Малеева А.В., Айсин Р.Р. и др. // Изв. АН. Сер. хим. 2023. Т. 72. № 1. С. 193 (Ershova I.V., Maleeva A.V., Aysin R.R. et al. // Russ. Chem. Bull. 2023. V. 72. № 1. P. 193). https://doi.org/10.1007/s11172-023-3724-2
- Малеева А.В., Трофимова О.Ю., Ершова И.В. и др. // Изв. АН. Сер. хим. 2023. № 7. С. 1441 (Maleeva A.V., Trofimova O.Y., Ershova I.V. et al. // Russ. Chem. Bull. 2022. V. 71. P. 1441). https://doi.org/10.1007/s11172-022-3550-y
- Cameron L.A., Ziller J.W., Heyduk A.F. // Chem. Sci. 2016. V. 7. P. 1807.
- Kramer W.W., Cameron L.A., Zarkesh R.A. et al. // Inorg. Chem. 2014. V. 53. P. 8825.
- Archer S., Weinstein J.A. // Coord. Chem. Rev. 2012. V. 256. P. 2530.
- BaniKhaled M.O., Becker J.D., Koppang M. et al. // Cryst. Growth Des. 2016. V. 16. P. 1869.
- Tichnell C.R., Daley D.R., Stein B.W. et al. // J. Am. Chem. Soc. 2019. V. 141. P. 3986.
- Stein B.W., Tichnell C.R., Chen J. et al. // J. Am. Chem. Soc. 2018. V. 140. P. 2221.
- Kirk M.L., Shultz D.A., Chen J. et al. // J. Am. Chem. Soc. 2021. V. 143. P. 10519.
- Kirk M.L., Shultz D.A., Hewitt P. et al. // Chem. Sci. 2021. V. 12. P. 13704.
- Kirk M.L., Shultz D.A., Hewitt P. et al. // J. Am. Chem. Soc. 2022. V. 144. P. 12781.
- Shavaleev N.M., Davies E.S., Adams H. et al. // Inorg. Chem. 2008. V. 47. P. 1532.
- Yang J., Kersi D., Giles L.J. et al. // Inorg. Chem. 2014. V. 53. P. 4791.
- Sobottka S., Noßler M., Ostericher A.L. et al. // Chem. Eur. J. 2020. V. 26. P. 1314.
- Ovcharenko V.I., Sagdeev R.Z. // Russ. Chem. Rev. 1999. V. 68. P. 345.
- Koivisto B.D., Hicks R.G. // Coord. Chem. Rev. 2005. V. 249. P. 2612.
- Ratera I., Veciana J. // Chem. Soc. Rev. 2012. V. 41. P. 303.
- Iwamura H. // Polyhedron. 2013. V. 66. P. 3.
- Faust T.B., D’Alessandro D.M. // RSC Adv. 2014. V. 4. P. 17498.
- Vostrikova K.E. // Coord. Chem. Rev. 2008. V. 252. № 12–14. P. 1409.
- Halcrow M.A. N.Y.: John Wiley & Sons, Ltd., 2013. 576 p.
- Poddel’sky A.I., Cherkasov V.K., Abakumov G.A. // Coord. Chem. Rev. 2009. V. 253. P. 291.
- Paretzki A., Hubner R., Ye S. et al. // Mater. Chem. C. 2015. V. 3. P. 4801.
- Paretzki A., Bubrin M., Fiedler J. et al. // Chem. Eur. J. 2014. V. 20. P. 5414.
- Piskunov A.V., Maleeva A.V., Bogomyakov A.S. et al. // Polyhedron. 2015. V. 102. P. 715.
- Piskunov A.V., Maleeva A.V., Fukin G.K. et al. // Inorg. Chim. Acta. 2017. V. 455. P. 213.
- Piskunov A.V., Maleeva A.V., Bogomyakov A.S. et al. // Russ.Chem. Bull. 2017. V. 66. P. 1618.
- Bellan E.V., Poddel’sky A.I., Protasenko N.A. et al. // Inorg. Chem. Commun. 2014. V. 50. P. 1.
- Пискунов А.В., Малеева А.В., Богомяков А.С. и др. // Коорд. химия. 2019. Т. 45. № 5. С. 259 (Piskunov A.V., Maleeva A.V., Bogomyakov A.S. et al. // Russ. J. Coord. Chem. 2019. V. 45. P. 309). https://doi.org/10.1134/S0132344X19050025
- Perrin D.D., Armarego W.L.F., Perrin D.R. Purification of Laboratory Chemicals. Oxford: Perrin Pergamon Press, 1980. 568 p.
- Кочерова Т.Н., Дружков Н.О., Арсеньев М.В. и др. // Изв. АН. Сер. хим. 2023. Т. 72. № 5. С. 1192 (Kocherova T.N., Druzhkov N.O., Arsenyev M.V. et al. // Russ. Chem. Bul. 2023. V. 72. № 5. P. 1192).
- Пискунов А.В., Малеева А.В., Абакумов Г.А. и др. // Коорд. химия. 2011. Т. 37. № 4. С. 243 (Piskunov A.V., Maleeva A.V., Abakumov G.A. et al. // Russ. J. Coord. Chem. 2011. V. 37. P. 243). https://doi.org/10.1134/S1070328411030092
- Piskunov A.V., Mescheryakova I.N., Bogomyakov A.S. et al. // Inorg. Chem. Commun. 2009. V. 12. P. 1067.
- Bruker, APEX3, SAINT, and, SADABS. Madison (WI, USA): Bruker, AXS, Inc., 2016.
- Krause L., Herbst-Irmer R., Sheldrick G.M., Stalke D. // J. A-ppl. Cryst. 2015. V. 48. P. 3.
- Sheldrick G.M. // Acta Crystallogr. A. 2015. V. 71. P. 3.
- Sheldrick G.M. // Acta Crystallogr. C. 2015. V. 71. P. 3.
- Spek A.L. // Acta Crystallogr. C. 2015. V. 71. P. 9.
- Dolomanov O.V., Bourhis L.J., Gildea R.J. et al. // J. Ap-pl. Cryst. 2009. V. 42. P. 339.
- Brown S.N. // Inorg. Chem. 2012. V. 51. P. 1251.
- Glavinović M., Qi F., Katsenis A.D. et al. // Chem. Sci. 2016. V. 7. P. 707.
- Piskunov A.V., Meshcheryakova I.N., Maleeva A.V. et al. // Eur. J. Inorg. Chem. 2014. № 20. P. 3252.
- Batsanov S.S. // Russ. J. Inorg. Chem. 1991. V. 36. № 12. P. 1694.
- Emsley J. Elements. Oxford: Clarendon Press, 1991. 251 p.
- Dankert F., Hänisch C. // Inorg. Chem. 2019. V. 58. P. 3518.
- Sugimoto K., Takaya H., Maekawa M. et al. // Cryst. Growth Des. 2018. V. 18. P. 571.
- Dange D., Choong S.L., Schenk C. et al. // Dalton Trans. 2012. V. 41. P. 9304.
- Li F., Yin H., Wang D. // Acta Crystallogr. E. 2006. V. 62. P. m437.
- Zábranský M., Císařováa I., Štěpnička P. // Dalton Trans. 2015. V. 44. Art. e14494.
- Raston C.L., Whitaker C.R., White A.H. // Aust. J. Chem. 1989. V. 42. P. 1393.
- Voegel J.C., Thierry J.C., Weiss R.// Acta Crystallogr. B. 1974. V. 30. P. 56.
- Knölker H.-J., Baum E., Goesmann H. et al. // Angew. Chem. Int. Ed. 1999. V. 38. P. 2064.
- Ozarowski A., McGarvey B.R., Peppe C. et al. // J. Am. Chem. Soc. 1991. V. 113. P. 3288.
- Ovcharenko V.I., Gorelik E.V., Fokin S.V. et al. // J. Am. Chem. Soc. 2007. V. 129. P. 10512.
- Piskunov A.V., Ershova I.V., Bogomyakov A.S. et al. // Inorg. Chem. 2015. V. 54. P. 6090.
Қосымша файлдар











