Spin Order Transfer from a Parahydrogen Molecule to a Cyanide Ion in the Iridium Complex under the SABRE Conditions
- Authors: Novikov V.V.1,2, Zlobina V.V.1,3, Spiridonov K.A.1,4, Nikovskii I.A.1, Peregudov A.S.1, Kiryutin A.S.5,6, Yurkovskaya A.V.5,6, Polezhaev A.A.7
-
Affiliations:
- Nesmeyanov Institute of Organoelement Compounds, Russian Academy of Sciences, Moscow, Russia
- Moscow Institute of Physics and Technology (National Research University), Dolgoprudnyi, Moscow oblast, Russia
- Moscow Institute of Physics and Technology (National Research University), Dolgoprudny, Moscow oblast, Russia
- Moscow State University, Moscow, Russia
- International Tomography Center, Siberian Branch, Russian Academy of Sciences, Novosibirsk, Russia
- Novosibirsk State University, Novosibirsk, Russia
- Bauman State Technical University (National Research University), Moscow, Russia
- Issue: Vol 49, No 8 (2023)
- Pages: 458-465
- Section: Articles
- URL: https://bakhtiniada.ru/0132-344X/article/view/137306
- DOI: https://doi.org/10.31857/S0132344X22600606
- EDN: https://elibrary.ru/SAHMQF
- ID: 137306
Cite item
Full Text
Abstract
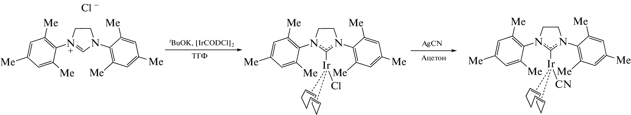
A possibility of generating a high degree of spin polarization of 13C and 15N nuclei in the cyanide ion, which forms the coordination bond with the metal ion, using parahydrogen is demonstrated for the first time for the new iridium carbene complex as an example. The spin–spin interaction constants in the synthesized complex and the structure of the hydride intermediate are determined by an analysis of the 13С NMR spectra detected using broadband and selective heteronuclear decoupling. The cyanide ion is shown to coordinate to the metal ion by the carbon atom in one of two equatorial positions, and two pyridine molecules are arranged in the axial and equatorial positions. The signal amplification factors for 13С and 15N nuclei of the cyanide anion (5665 and –49 555, respectively) are estimated by NMR spectroscopy of the polarized substrate using the SABRE method from an ultralow magnetic field of 0.5 μT. This amplification corresponds to 15.5% polarization of nitrogen nuclei achieved within several seconds at room temperature.
About the authors
V. V. Novikov
Nesmeyanov Institute of Organoelement Compounds, Russian Academy of Sciences, Moscow, Russia; Moscow Institute of Physics and Technology (National Research University), Dolgoprudnyi, Moscow oblast, Russia
Email: novikov84@ineos.ac.ru
Россия, Москва; Россия, Московская обл., Долгопрудный
V. V. Zlobina
Nesmeyanov Institute of Organoelement Compounds, Russian Academy of Sciences, Moscow, Russia;Moscow Institute of Physics and Technology (National Research University), Dolgoprudny, Moscow oblast, Russia
Email: novikov84@ineos.ac.ru
Россия, Москва; Россия, Долгопрудный
K. A. Spiridonov
Nesmeyanov Institute of Organoelement Compounds, Russian Academy of Sciences, Moscow, Russia; Moscow State University, Moscow, Russia
Email: novikov84@ineos.ac.ru
Россия, Москва; Россия, Москва
I. A. Nikovskii
Nesmeyanov Institute of Organoelement Compounds, Russian Academy of Sciences, Moscow, Russia
Email: novikov84@ineos.ac.ru
Россия, Москва
A. S. Peregudov
Nesmeyanov Institute of Organoelement Compounds, Russian Academy of Sciences, Moscow, Russia
Email: novikov84@ineos.ac.ru
Россия, Москва
A. S. Kiryutin
International Tomography Center, Siberian Branch, Russian Academy of Sciences, Novosibirsk, Russia; Novosibirsk State University, Novosibirsk, Russia
Email: novikov84@ineos.ac.ru
Россия, Новосибирск; Россия, Новосибирск
A. V. Yurkovskaya
International Tomography Center, Siberian Branch, Russian Academy of Sciences, Novosibirsk, Russia; Novosibirsk State University, Novosibirsk, Russia
Email: novikov84@ineos.ac.ru
Россия, Новосибирск; Россия, Новосибирск
A. A. Polezhaev
Bauman State Technical University (National Research University), Moscow, Russia
Author for correspondence.
Email: novikov84@ineos.ac.ru
Россия, Москва
References
- Atkinson K.D., Cowley M.J., Duckett S.B. et al. // Inorg. Chem. 2009. V. 48. P. 663.
- Terreno E., Castelli D.D., Viale A. et al. // Chem. Rev. 2010. V. 110. P. 3019.
- Bhattacharya P., Ross B., Bünger R. // Exp. Biol. Med. 2009. V. 234. P. 1395.
- Carravetta M., Johannessen O.G., Levitt M.H. // Phys. Rev. Lett. 2004. V. 92. P. 153003.
- Ardenkjaer-Larsen J.H., Fridlund B., Gram A. // Proc. Natl. Acad. Sci. 2003. V. 100. P. 10158.
- Kaptein R., Oosterhoff L.J. // Chem. Phys. Lett. 1969. V. 4. P. 214.
- Becker J., Bermuth J., Ebert M. et al. // Nucl. Instrum. Methods Phys. Res. A. 1998. V. 402. P. 327.
- Frossati G. // Nucl. Instrum. Methods Phys. Res. A. 1998. V. 402. P. 479.
- Bouchiat M.A., Carver T.R., Varnum C.M. // Phys. Rev. Lett. 1960. V. 5. P. 373.
- Bowers C.R., Weitekamp D.P. // Phys. Rev. Lett. 1986. V. 57. P. 2645.
- Adams R.W., Aguilar J.A., Atkinson K.D. et al. // Science. 2009. V. 323. P. 1708.
- Eisenschmid T.C., Kirss R.U., Deutsch P.P. et al. // J. Am. Chem. Soc. 1987. V. 109. P. 8089.
- Buntkowsky G., Theiss F., Lins J. et al. // RSC Adv. 2022. V. 12. P. 12477.
- Dücker E.B., Kuhn L.T., Münnemann K. et al. // J. Magn. Reson. 2012. V. 214. P. 159.
- Wong C.M., Fekete M., Nelson-Forde R. et al. // Catal. Sci. Technol. 2018. V. 8. P. 4925.
- Barskiy D.A., Knecht S., Yurkovskaya A.V. et al. // Prog. Nucl. Magn. Reson. Spectrosc. 2019. V. 114. P. 33.
- Rayner P.J., Duckett S.B. // Angew. Chem. Int. Ed. 2018. V. 57. P. 6742.
- Garaeva V.V., Spiridonov K.A., Nikovskii I. A. et al. // Russ. J. Coord. Chem. 2022. V. 48. P. 572. https://doi.org/10.1134/S1070328422080036
- Kerr W.J., Reid M., Tuttle T. // ACS Catal. 2015. V. 5. P. 402.
- Shen M.-H., Ren X.-T., Pan Y.-P. et al. // Org. Chem. Front. 2018. V. 5. P. 46.
- Kiryutin A.S., Sauer G., Hadjiali S. et al // J. Magn. Reson. 2017. V. 285. P. 26.
- Hadjiali S., Bergmann M., Kiryutin A. et al // J. Chem. Phys. 2019. V. 151. P. 244201.
- Knecht S., Kiryutin A.S., Yurkovskaya A.V. et al. // J. Magn. Reson. 2018. V. 287. P. 10.
- Knecht S., Hadjiali S., Barskiy D.A. et al. // J. Phys. Chem. 2019. V. 123. P. 16288.
- Limbach H.-H., Ulrich S., Gründemann S. et al. // J. Am. Chem. Soc. 1998. V. 120. P. 7929.
- Pravdivtsev A.N., Ivanov K.L., Yurkovskaya A.V. et al. // J. Magn. Reson. 2015. V. 261. P. 73.
- Haake M., Natterer J., Bargon J. // J. Am. Chem. Soc. 1996. V. 118. P. 8688.
- Kiryutin A.S., Yurkovskaya A.V., Zimmermann H. et al. // Magn. Reson. Chem. 2018. V. 56. P. 651.
- Zhukov I.V., Kiryutin A.S., Yurkovskaya A.V. et al. // Phys. Chem. Chem. Phys. 2018. V. 20. P. 12396.
- Carlton L., Belciug M.-P. // J. Organomet. Chem. 1989. V. 378. P. 469.
- Kiryutin A.S., Yurkovskaya A.V., Ivanov K.L. // Chem. Phys. Chem. 2021. V. 22. P. 1470.
Supplementary files








