Heteroleptic Metal-Organic Frameworks of Lanthanides (Lа, Ce, and Ho) Based on Ligands of the Anilate Type and Dicarboxylic Acids
- Authors: Trofimova O.Y.1, Maleeva A.V.1, Arsen’eva K.V.1, Klimashevskaya A.V.1, Cherkasov A.V.1, Piskunov A.V.1
-
Affiliations:
- Razuvaev Institute of Organometallic Chemistry, Russian Academy of Sciences, Nizhny Novgorod, Russia
- Issue: Vol 49, No 5 (2023)
- Pages: 278-289
- Section: Articles
- URL: https://bakhtiniada.ru/0132-344X/article/view/137291
- DOI: https://doi.org/10.31857/S0132344X22600473
- EDN: https://elibrary.ru/POTLZC
- ID: 137291
Cite item
Full Text
Abstract
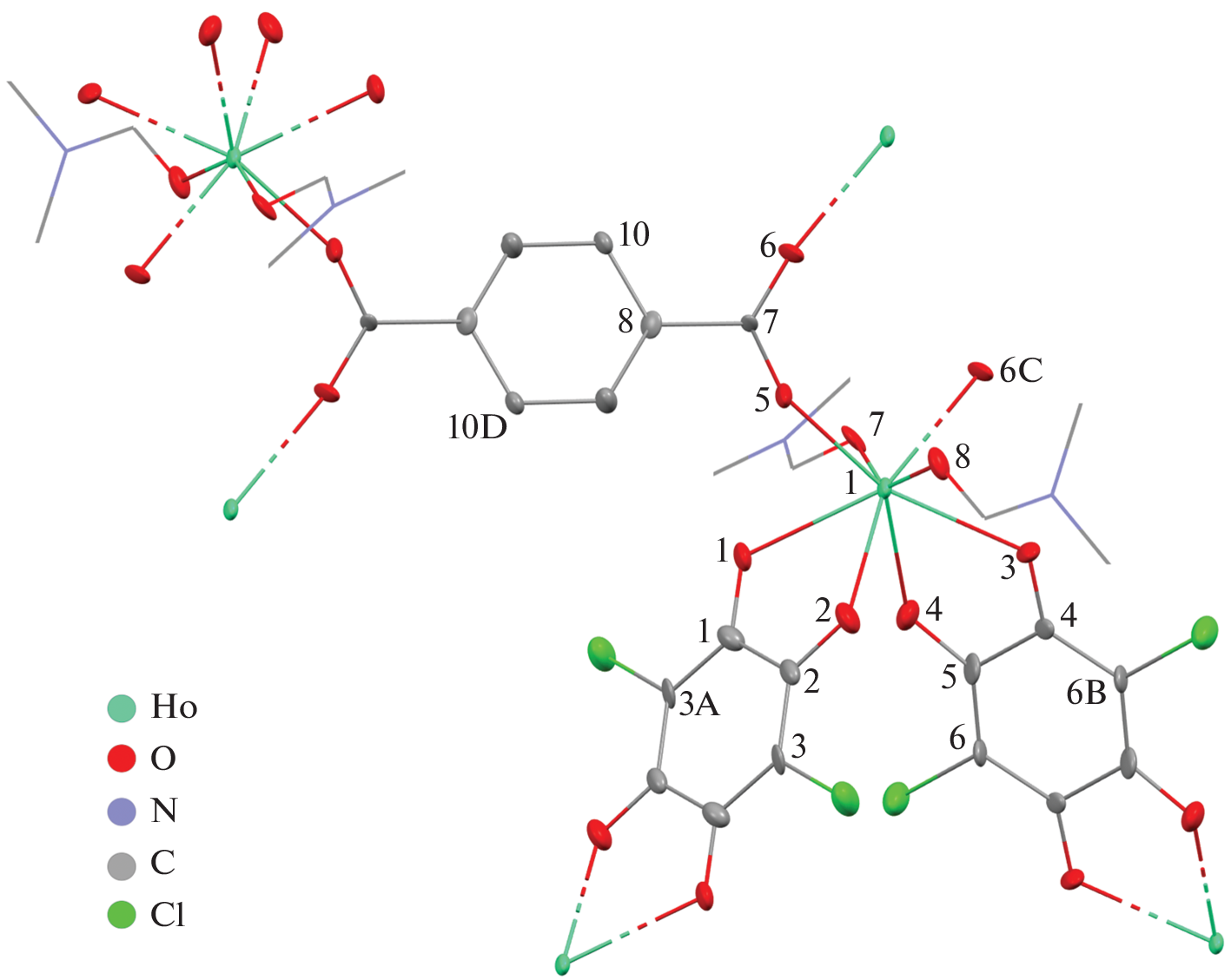
New heteroleptic metal-organic frameworks of lanthanides, units of which contain anionic organic ligands of two types, are prepared by the solvothermal synthesis in N,N-dimethylformamide (DMF). The cross-linked coordination polymer [Ho2(CA)2(Bdc)·4DMF] (I) and two scaffold derivatives [La2(pQ)2(Bpdc)·4DMF] (II) and [Ce2(CA)(Bdc)2·4DMF]·2DMF (III·2DMF), where CA is chloranilic acid dianion, pQ is 2,5-dihydroxy-3,6-di-tert-butyl-para-benzoquinone dianion, Bdc is terephthalic acid dianion, and Bpdc is 4,4'-biphenyldicarboxylic acid dianion, are synthesized. The structures of compounds I, II, and III·2DMF are studied by X-ray diffraction (XRD) (CIF file CCDC nos. 2212230, 2212231, and 2212232, respectively).
About the authors
O. Yu. Trofimova
Razuvaev Institute of Organometallic Chemistry, Russian Academy of Sciences, Nizhny Novgorod, Russia
Email: pial@iomc.ras.ru
Россия, Нижний Новгород
A. V. Maleeva
Razuvaev Institute of Organometallic Chemistry, Russian Academy of Sciences, Nizhny Novgorod, Russia
Email: pial@iomc.ras.ru
Россия, Нижний Новгород
K. V. Arsen’eva
Razuvaev Institute of Organometallic Chemistry, Russian Academy of Sciences, Nizhny Novgorod, Russia
Email: pial@iomc.ras.ru
Россия, Нижний Новгород
A. V. Klimashevskaya
Razuvaev Institute of Organometallic Chemistry, Russian Academy of Sciences, Nizhny Novgorod, Russia
Email: pial@iomc.ras.ru
Россия, Нижний Новгород
A. V. Cherkasov
Razuvaev Institute of Organometallic Chemistry, Russian Academy of Sciences, Nizhny Novgorod, Russia
Email: pial@iomc.ras.ru
Россия, Нижний Новгород
A. V. Piskunov
Razuvaev Institute of Organometallic Chemistry, Russian Academy of Sciences, Nizhny Novgorod, Russia
Author for correspondence.
Email: pial@iomc.ras.ru
Россия, Нижний Новгород
References
- Коваленко К.А., Потапов А.С., Федин В.П. // Успехи химии. 2022. Т. 91. № 4. RCR5026 (Kovalenko K.A., Potapov A.S., Fedin V.P. // Russ. Chem. Rev. 2022. V. 91. RCR5026). https://doi.org/10.1070/RCR5026
- Агафонов М.А., Александров Е.В., Артюхова Н.А. и др. // Журн. структур. химии. 2022. Т. 63. № 5. С. 535. https://doi.org/10.26902/JSC_id93211
- Monni N., Oggianu M., Sahadevan S.A. et al. // Magnetochemistry. 2021. V. 7. P. 109.
- Benmansour S., Gómez-García C.J. // Magnetochemistry. 2020. V. 6. P. 71.
- Liu K.-G., Sharifzadeh Z., Rouhani F. et al. // Coord. Chem. Rev. 2021. V. 436. P. 213827.
- Wang C., Liao K. // ACS Appl. Mater. Interfaces. 2021. V. 13. P. 56752.
- Fasna F., Sasi S. // ChemSelect. 2021. V. 6. P. 6365.
- Антипин И.С., Алфимов М.В., Арсланов В.В. и др. // Успехи химии. 2021. Т. 90. № 8. С. 895 (Antipin I.S., Burilov V.A., Gorbatchuk V.V. et al. // Russ. Chem. Rev. 2021. V. 90. P. 895). https://doi.org/10.1070/RCR5011
- Kitagawa S., Matsuda R. // Coord. Chem. Rev. 2007. V. 251. P. 2490.
- Kingsbury C.J., Abrahams B.F., Auckett J.E. et al. // Chem. Eur. J. 2019. V. 25. P. 5222.
- Abrahams B.F., Dharma A.D., Dyett B. et al. // Dalton Trans. 2016. V. 45. P. 1339.
- Adil K., Belmabkhout Y., Pillai R. S. et al. // Chem. Soc. Rev. 2017. V. 46. P. 3402.
- Ezugwu C.I., Liu S., Li C. et al. // Coord. Chem. Rev. 2021. V. 450. P. 214245.
- Hu Z., Zhao D. // CrystEngComm. 2017. V. 19. P. 4066.
- Huangfu M., Wang M., Lin C. et al. // Dalton Trans. 2021. V. 50. P. 3429.
- Li P., Zhou Z., Zhao Y.S. et al. // Chem. Commun. 2021. V. 57. P. 13678.
- Wang Y., Liu X., Li X. et al. // J. Am. Chem. Soc. 2019. V. 141. P. 8030.
- Chang C.-H., Li A.-C., Popovs I. et al. // J. Mater. Chem. A. 2019. V. 7. P. 23770.
- Calbo J., Golomb M.J., Walsh A. // J. Mater. Chem. A. 2019. V. 7. P. 16571.
- Wang M., Dong R., Feng X. // Chem. Soc. Rev. 2021. V. 50. P. 2764.
- Dong R., Feng X. // Nature Materials. 2021. V. 20. P. 122.
- Benmansour S., Gómez-García C.J. // Gen. Chem. 2020. V. 6. P. 190033.
- Espallargas G.M., Coronado E. // Chem. Soc. Rev. 2018. V. 47. P. 533.
- Sahadevan S.A., Manna F., Abhervé A. et al. // Inorg. Chem. 2021. V. 60. P. 17765.
- Trofimova O., Maleeva A.V., Ershova I.V. et al. // Molecules. 2021. V. 26. P. 2486.
- Sahadevan S.A., Monni N., Oggianu M. et al. // ACS Appl. Nano Mater. 2020. V. 3. P. 94.
- Lysova A.A., Kovalenko K.A., Dybtsev D.N. et al. // Microporous Mesoporous Mater. 2021. V. 328. Art. 111477.
- Lysova A.A., Samsonenko D.G., Kovalenko K.A. et al. // Angew. Chem. Int. Ed. 2020. V. 59. P. 20561.
- Lysova A.A., Samsonenko D.G., Dorovatovskii P.V. et al. // J. Am. Chem. Soc. 2019. V. 141. P. 17260.
- Trofimova O.Y., Maleeva A.V., Arsenyeva K.V. et al. // Crystals. 2022. V. 12. P. 370.
- Трофимова О.Ю., Ершова И.В., Малеева А.В. и др. // Коорд. химия. 2021. Т. 47. № 9. С. 552 (Tro-fimova O.Y., Ershova I.V., Maleeva A.V. et al. // Russ. J. Coord. Chem. 2021. V. 47. P. 610). https://doi.org/10.1134/S1070328421090086
- Kharitonov A.D., Trofimova O.Y., Meshcheryakova I.N. et al. // CrystEngComm. 2020. V. 22. P. 4675.
- Хамалетдинова Н.М., Мещерякова И.Н., Пискунов А.В. и др. // Журн. cтруктур. химии. 2015. Т. 56. № 2. С. 249 (Khamaletdinova N.M., Meshcheryakova I.N., Piskunov A.V. et al. // J. Struct. Сhem. 2015. V. 56. P. 233). https://doi.org/10.1134/S0022476615020055
- APEX3. Madison (WI, USA): Bruker AXS Inc., 2018.
- Rigaku Oxford Diffraction. CrysAlisPro Software System. Version 1.171.38.46. Wroclaw (Poland): Rigaku Corporation, 2015.
- Krause L., Herbst-Irmer R., Sheldrick G.M. et al. // J. Appl. Cryst. 2015. V. 48. P. 3.
- Sheldrick G.M. // Acta Crystallogr. C. 2015. V. 71. P. 3.
- Sheldrick G.M. // Acta Crystallogr. A. 2015. V. 71. P. 3.
- Benmansour S., Gómez-García C.J., Hernández-Paredes A. // Crystals. 2022. V. 12. P. 261.
- Benmansour S., López-Martínez G., Canet-Ferrer J. et al. // Magnetochemistry. 2016. V. 2. P. 32.
- Dubraja L.A., Molcanov K., Zilic D. et al. // New J. Chem. 2017. V. 41. P. 6785.
- Vuković V., Molčanov K.I., Jelsch C. et al. // Cryst. Growth Des. 2019. V. 19. P. 2802.
- Cao H.-Y., Liu Q.-Y., Gao M.-J. et al. // Inorg. Chim. Acta. 2014. V. 414. P. 226.
- Blatov V.A., Shevchenko A.P., Proserpio D.M. // Cryst. Growth Des. 2014. V. 14. P. 3576.
- Alexandrov E.V., Blatov V.A., Kochetkov A.V. et al. // CrystEngComm. 2011. V. 13. P. 3947.
- Александров Е.В., Шевченко А.П., Некрасова Н.А. et al. // Успехи химии. 2022. Т. 91. RCR5032 (Aleksandrov E.V., Shevchenko A.P., Nekrasova N.A. et al. // Russ. Chem. Rev. 2022. V. 91. RCR5032). https://doi.org/10.1070/RCR5032
- Alvarez S., Alemany P., Casanova D. et al. // Coord. Chem. Rev. 2005. V. 249. P. 1693.
- Llunell M., Casanova D., Cirera J. et al. // Universitat de Barcelona. 2013.
- Ruiz-Martinez A., Casanova D., Alvarez S. // Chem. Eur. J. 2008. V. 14. P. 1291.
Supplementary files













