New 5-n-C4H9-C2B9-Carborane Ligand and Its Ruthenium Complexes
- Authors: Zimina A.M.1, Kolpakova T.V.1, Anufriev S.A.2, Zueva E.I.1, Somov N.V.1, Sivaev I.B.2, Grishin I.D.1
-
Affiliations:
- Lobachevskii State University (National Research University), Nizhny Novgorod, Russia
- Nesmeyanov Institute of Organoelement Compounds, Russian Academy of Sciences, Moscow, Russia
- Issue: Vol 49, No 6 (2023)
- Pages: 323-332
- Section: Articles
- URL: https://bakhtiniada.ru/0132-344X/article/view/137279
- DOI: https://doi.org/10.31857/S0132344X22600618
- EDN: https://elibrary.ru/URBOGS
- ID: 137279
Cite item
Full Text
Abstract
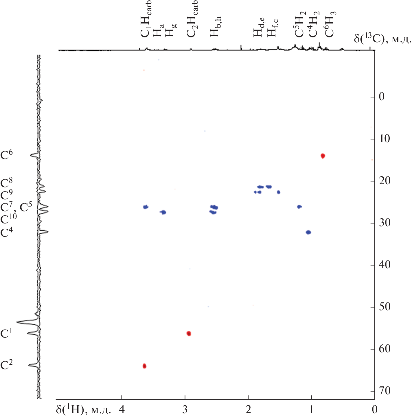
The reaction of 9-iodo-ortho-carborane with n-butylmagnesium bromide affords 9-n-butyl-ortho-carborane. The reaction of the latter with alkali in boiling ethanol gives new nido-carborane [5-Bu-7,8-C2B9H11]– (I) containing the n-butyl substituent at the lower rim of the basket. The reaction of compound I with RuCl2(PPh3)(Ph2P(CH2)4PPh2) results in the formation of the corresponding ruthenium(IV) closo complex 3,3-(Ph2P(CH2)4PPh2)-3-H-3-Cl-9-Bu-closo-3,1,2-RuC2B9H10 (II) characterized by 2D NMR spectroscopy. On heating compound II can react with carbon tetrachloride to form the 17-electron complex 3,3-(Ph2P(CH2)4PPh2)-3-Cl-9-Bu-closo-3,1,2-RuC2B9H10 (III). The structure of complex III is solved by X-ray diffraction (XRD) (CIF file CCDC no. 2180761). The electrochemical studies show that complex III undergoes the reversible transition Ru(II) → Ru(III) similarly to the earlier studied ruthenacarboranes.
Keywords
About the authors
A. M. Zimina
Lobachevskii State University (National Research University), Nizhny Novgorod, Russia
Email: grishin_i@ichem.unn.ru
Россия, Нижний Новгород
T. V. Kolpakova
Lobachevskii State University (National Research University), Nizhny Novgorod, Russia
Email: grishin_i@ichem.unn.ru
Россия, Нижний Новгород
S. A. Anufriev
Nesmeyanov Institute of Organoelement Compounds, Russian Academy of Sciences, Moscow, Russia
Email: grishin_i@ichem.unn.ru
Россия, Москва
E. I. Zueva
Lobachevskii State University (National Research University), Nizhny Novgorod, Russia
Email: grishin_i@ichem.unn.ru
Россия, Нижний Новгород
N. V. Somov
Lobachevskii State University (National Research University), Nizhny Novgorod, Russia
Email: grishin_i@ichem.unn.ru
Россия, Нижний Новгород
I. B. Sivaev
Nesmeyanov Institute of Organoelement Compounds, Russian Academy of Sciences, Moscow, Russia
Email: sivaev@ineos.ac.ru
Россия, Москва
I. D. Grishin
Lobachevskii State University (National Research University), Nizhny Novgorod, Russia
Author for correspondence.
Email: grishin_i@ichem.unn.ru
Россия, Нижний Новгород
References
- D’yachikhin D.I., Dolgushin F.M., Godovikov I.A., Chizhevsky I.T. // Mendeleev Commun. 2010. V. 20. № 3. P. 174. https://doi.org/10.1016/j.mencom.2010.05.018
- Powley S.L., Rosair G.M., Welch A.J. // Dalton Trans. 2016. V. 45. № 26. P. 11742. https://doi.org/10.1039/C6DT01888B
- Jones J.J., English L.E., Robertson A. et al. // J. Organomet. Chem. 2018. V. 865. P. 65. https://doi.org/10.1016/j.jorganchem.2018.02.007
- D’yachihin D.I., Kostyukovich A.Yu., Godovikov I.A. et al. // Mendeleev Commun. 2019. V. 29. № 1. P. 69. https://doi.org/10.1016/j.mencom.2019.01.023
- Kellert M., Sárosi I., Rajaratnam R. // Molecules. 2020. V. 25. № 10. P. 2322. https://doi.org/10.3390/molecules25102322
- Стогний M.Ю., Богданова Е.В., Ануфриев С.А., Сиваев И.Б. // Журн. неорган. химии. 2022. Т. 67. № 10. С. 1390 (Stogniy M.Yu., Bogdanova E.V., Anufriev S.A. Sivaev I.B. // Russ. J. Inorg. Chem. 2022. V. 67. № 10. P. 1537). https://doi.org/10.1134/S0036023622600858
- Tutusaus O., Vinas C., Nunez R. et al. // J. Am. Chem. Soc. 2003. V. 125. № 39. P. 11830. https://doi.org/10.1021/ja036342x
- Ануфриев С.А., Сиваев И.Б., Брегадзе В.И. // Изв. АН. Сер. хим. 2015. № 3. С. 712 (Anufriev S.A., Sivaev I.B., Bregadze V.I. // Russ. Chem. Bull. 2015. V. 64. № 3. P. 712). https://doi.org/10.1007/s11172-015-0924-4
- Гришин И.Д., Тюрмина Е.С., Чижевский И.Т., Гришин Д.Ф. // Высокомол. соед. Б. 2012. Т. 54. С. 1304 (Grishin I.D., Turmina E.S., Chizhevsky I.T., Grishin D.F. // Polym. Sci. В. 2012. V. 54. № 7–8. P. 383). https://doi.org/10.1134/S1560090412080027
- Гришин И.Д., Князева Н.А., Пенкаль А.М. // Изв. АН. Сер. хим. 2020. № 8. С. 1520 (Grishin I.D., Knyazeva N.A., Penkal’ A.M. // Russ. Chem. Bull. 2020. V. 69. № 8. P. 1520). https://doi.org/10.1007/s11172-020-2931-3
- Зимина А.М., Ануфриев С.А., Дерендяева М.А. и др. // Докл. РАН. 2021. Т. 498. № 1. С. 34 (Zimina A.M., Derendyaeva M.A., Knyazeva N.A. et al. // Dokl. Chem. 2021. V. 498. № 2. P. 97). https://doi.org/10.31857/S2686953521030110
- Grishin I.D., Zimina A.M., Anufriev S.A. et al. // Catalysts. 2021. V. 11. № 11. P. 1409. https://doi.org/10.3390/catal11111409
- Jung C.W., Garrou P.E., Hoffman P.R., Caulton K.G. // Inorg. Chem. 1984. V. 23. № 6. P. 726. https://doi.org/10.1021/ic00174a018
- Andrews J.S., Zayas J., Jones M. // Inorg. Chem. 1985. V. 24. № 22. P. 3715. https://doi.org/10.1021/ic00216a053
- Руководство по неорганическому синтезу. Т. 6 / Под ред. Брауэра Г.М.: Мир, 1986. С. 2122 (Handbuch der Präparativen Anorganischen Chemie / Ed. Brauer G. Stuttgart (Germany): Ferdinand Enke Verlag, 1981).
- Armarego W.L.F., Chai C.L.L. Purification of Laboratory Chemicals. Burlington (NJ, USA); Butterworth-Heinemann, 2009. 744 p.
- Zakharkin L.I., Kovredov A.I., Ol’shevskaya V.A., Shaugumbekova Zh.S. // J. Organomet. Chem. 1982. V. 226. № 3. P. 217. https://doi.org/10.1016/S0022-328X(00)83405-1
- Sheldrick G.M. // Acta Crystallogr. A. 2015. V. 71. № 1. P. 3. https://doi.org/10.1107/S2053273314026370
- Hübschle C.B., Sheldrick G.M., Dittrich B. // J. Appl. Cryst. 2011. V. 44. № 6. P. 1281. https://doi.org/10.1107/S0021889811043202
- Grishin I.D., D’yachihin D.I., Piskunov A.V. et al. // Inorg. Chem. 2011. V. 50. № 16. P. 7574. https://doi.org/10.1021/ic200487w
- Гришин И.Д., Агафонова К.С., Тюрин А.П. и др. // Изв. АН. Сер. хим. 2014. № 4. С. 945 (Grishin I.D., Agafonova K.S., Grishin D.F. et al. // Russ. Chem. Bull. 2014. V. 63. № 4. P. 945). https://doi.org/10.1007/s11172-014-0532-8
Supplementary files










