Novel Cobalt Bis-o-semiquinonato Complexes with Bidentate N-Donor Ligands
- Authors: Zolotukhin A.A.1, Bubnov M.P.1, Rumyantsev R.V.1, Fukin G.K.1, Bogomyakov A.S.2, Cherkasov V.K.1
-
Affiliations:
- Razuvaev Institute of Organometallic Chemistry, Russian Academy of Sciences, Nizhny Novgorod, Russia
- International Tomography Center, Siberian Branch, Russian Academy of Sciences, Novosibirsk, Russia
- Issue: Vol 49, No 3 (2023)
- Pages: 174-182
- Section: Articles
- URL: https://bakhtiniada.ru/0132-344X/article/view/137276
- DOI: https://doi.org/10.31857/S0132344X22700165
- EDN: https://elibrary.ru/BOCLWY
- ID: 137276
Cite item
Full Text
Abstract
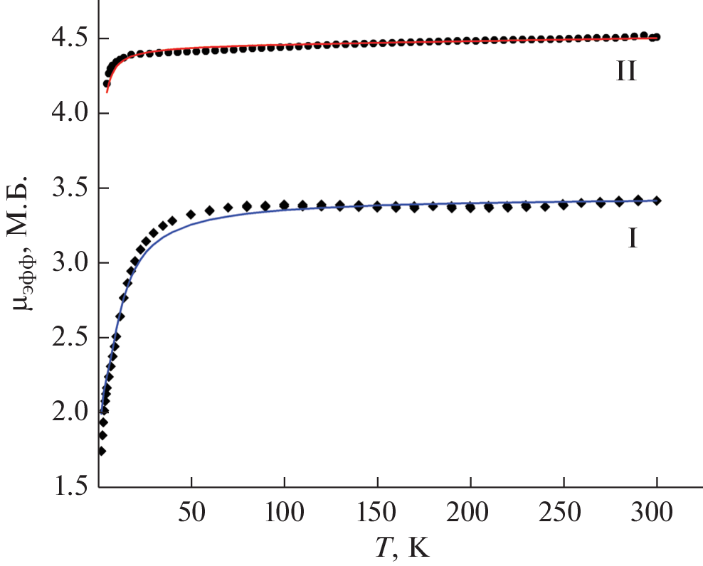
Two new cobalt bis-o-semiquinonato complexes, (Pyz-Phen)Co(3,6-DBSQ)2 (I) and (Bpyz)Co(3,6-DBSQ)2 (II) (Pyz-Phen = pyrazino[2,3-f][1,10]phenanthroline, Bpyz = bipyrazine, 3,6-DBSQ = 3,6-di-tert-butyl-o-benzoquinone radical anion), were synthesized. According to X-ray diffraction data, both complexes have a trigonal-prismatic geometry of the inner coordination sphere. The distribution of C–O and Co–O bond lengths, which reflects the valence state of the metal and the ligands, indicates that the complexes are formed by cobalt(II) surrounded by two semiquinone radical anions. The results of magnetochemical measurements show that the pyrazino[2,3-f][1,10]phenanthroline complex is a derivative of low-spin divalent cobalt, whereas its bipyrazine structural analogue is a high-spin cobalt(II) derivative.
About the authors
A. A. Zolotukhin
Razuvaev Institute of Organometallic Chemistry, Russian Academy of Sciences, Nizhny Novgorod, Russia
Email: aaz@iomc.ras.ru
Россия, Нижний Новгород
M. P. Bubnov
Razuvaev Institute of Organometallic Chemistry, Russian Academy of Sciences, Nizhny Novgorod, Russia
Email: aaz@iomc.ras.ru
Россия, Нижний Новгород
R. V. Rumyantsev
Razuvaev Institute of Organometallic Chemistry, Russian Academy of Sciences, Nizhny Novgorod, Russia
Email: aaz@iomc.ras.ru
Россия, Нижний Новгород
G. K. Fukin
Razuvaev Institute of Organometallic Chemistry, Russian Academy of Sciences, Nizhny Novgorod, Russia
Email: aaz@iomc.ras.ru
Россия, Нижний Новгород
A. S. Bogomyakov
International Tomography Center, Siberian Branch, Russian Academy of Sciences, Novosibirsk, Russia
Email: aaz@iomc.ras.ru
Россия, Новосибирск
V. K. Cherkasov
Razuvaev Institute of Organometallic Chemistry, Russian Academy of Sciences, Nizhny Novgorod, Russia
Author for correspondence.
Email: aaz@iomc.ras.ru
Россия, Нижний Новгород
References
- Pierpont C.G. // Coord. Chem. Rev. 2001. V. 216–217. P. 99. https://doi.org/10.1016/S0010-8545(01)00309-5
- Tezgerevska T., Alley K.G., Boskovic C. // Coord. Chem. Rev. 2014. V. 268. P. 23. https://doi.org/10.1016/j.ccr.2014.01.014
- Золотухин А.А., Бубнов М.П., Черкасов В.К. и др. // Коорд. химия. 2018. 44. № 2. С. 123 (Zolotukhin A.A., Bubnov M.P., Cherkasov V.K. et al. // Russ. J. Coord. Chem. 2018. V. 44. P. 272). https://doi.org/10.7868/S0132344X18020056
- Buchanan R.M., Pierpont C.G. // J. Am. Chem. Soc. 1980. V. 102. P. 4951. https://doi.org/10.1021/ja00535a021
- Абакумов Г.А., Черкасов В.К., Бубнов М.П. и др. // Докл. РН. 1993. Т. 328. № 3. С. 332 (Abakumov G.A., Cherkasov V.K., Bubnov M.P. et al. // Dokl. Akad. Nauk. 1993. V. 328. P. 332). https://doi.org/S0020-1693(22)00023-8/h0080
- Roux C., Adams D.M., Itie J.P. et al. // Inorg. Chem. 1996. V. 35. P. 2846. https://doi.org/10.1021/ic951080o
- Markevtsev I.N., Monakhov M.P., Platonov V.V. et al. // J. Magn. Magn. Mater. 2006. V. 300. P. e407. https://doi.org/10.1016/j.jmmm.2005.10.134
- Yokoyama T., Okamoto K., Nagai K. et al. // Chem. Phys. Lett. 2001. V. 345. P. 272. https://doi.org/10.1016/S0009-2614(01)00888-0
- Francisco T.M., Gee W.J., Shepherd H.J. // J. Phys. Chem. Lett. 2017. V. 8. № 19. P. 4774. https://doi.org/10.1021/acs.jpclett.7b01794
- Lukyanov A. Yu. Bubnov M.P., Skorodumova N.A. et al. // Solid State Sci. 2015. V. 48. P. 13. https://doi.org/10.1016/j.solidstatescienes.2015.06.011
- Jung O.-S., Jo D.H., Lee Y.-A. et al. // Inorg. Chem. 1997. V. 36. P. 19. https://doi.org/10.1021/ic961214d
- Zolotukhin A.A., Bubnov M.P., Arapova A.V. et al. // Inorg. Chem. 2017. V. 56. P. 14751. https://doi.org/10.1021/acs.inorgchem.7b02597
- Adams D.M., Dei A., Rheingold A.L. et al. // J. Am. Chem. Soc. 1993. V. 115. P. 8221. https://doi.org/10.1021/ja00071a035
- Арапова А.В., Бубнов М.П., Абакумов Г.А. и др. // Журн. физ. химии. 2009. Т. 83. № 8. С. 1417.
- Jung O.-S., Pierpont C.G. // Inorg. Chem. 1994. V. 33. P. 2227. https://doi.org/10.1021/ic00088a027
- Protasenko N.A., Poddel’sky A.I., Bogomyakov A.S. et al. // Polyhedron. 2013. V. 49. P. 239. https://doi.org/10.1016/j.poly.2012.10.016
- Zolotukhin A.A., Bubnov M.P., Bogomyakov A.S. et al. // Inorg. Chim. Acta. 2020. V. 502. 119346. https://doi.org/10.1016/j.ica.2019.119346
- Gomez-Coca S., Cremades E., Aliaga-Alcalde N. et al. // J. Am. Chem. Soc. 2013. V. 135. P. 7010. https://doi.org/10.1021/ja4015138
- Novikov V.V., Pavlov A.A., Nelyubina Y.V. et al. // J. Am. Chem. Soc. 2015. V. 137. P. 9792. https://doi.org/10.1021/jacs.5b05739
- Perrin D.D., Armarego W.L.F., Perrin D.R. Purification of Laboratory Chemicals. Oxford: Pergamon Press, 1980.
- Litvinenko A.S., Mikhaleva E.A., Kolotilov S.V., Pavlishchuk V.V. // Theor. Exp. Chem. 2011. V. 46. P. 422. https://doi.org/10.1007/s11237-011-9174-1
- Rigaku Oxford Diffraction. CrysAlis Pro Software System. Version 1.171.38.46. Wroclaw (Poland): Rigaku Corporation, 2015.
- SAINT. Data Reduction and Correction Program. Madison (WI, USA): Bruker AXS, 2014.
- Kraus L., Herbst-Irmer R., Sheldrick G.M., Stalke D. // J. Appl. Crystallogr. 2015. V. 48. P. 3. https://doi.org/10.1107/S1600576714022985
- Sheldrick G.M. // Acta Crystallogr. A. 2015. V. 71. P. 3. https://doi.org/10.1107/S2053273314026370
- Sheldrick G.M. // Acta Crystallogr. C. 2015. V. 71. P. 3. https://doi.org/10.1107/S2053229614024218
- Pierpont C.G., Buchanan R.M. // Coord. Chem. Rev. 1981. V. 38. P. 45. https://doi.org/10.1016/S0010-8545(00)80499-3
- Brown S.N. // Inorg. Chem. 2012. V. 51. P. 1251. https://doi.org/10.1021/ic202764j
- Adams D.M., Dei A., Rheingold A.L. et al. // Angew. Chem. Int. Ed. 1993. V. 32. P. 880. https://doi.org/10.1002/anie.199308801
- Wang J.-H., Dai J.-W., Li Z.-Y. et al. // New J. Chem. 2020. V. 44. P. 8471. https://doi.org/10.1039/D0NJ00767F
- Janiak C. // Dalton Trans. 2000. P. 3885. https://doi.org/10.1039/b003010o
- Guda A.A., Chegerev M., Starikov A.G. et al. // J. Phys.: Condens. Matter. 2021. V. 33. 215405. https://doi.org/10.1088/1361-648X/abe650
- Protasenko N.A., Poddel’sky A.I. // Theor. Exp. Chem. 2020. V. 56. P. 338. https://doi.org/10.1007/s11237-020-09663-1
- Graf M., Wolmershauser G., Kelm H. et al. // Angew. Chem. Int. Ed. 2010. V. 49. P. 950. https://doi.org/10.1002/anie.200903789
- Фарус О.А., Балашев К.П., Иванов М.А. и др. // Журн. общ. химии. 2006. T. 76. С. 328.
- Kawanishi Y., Kitamura N., Tazuke S. // Inorg. Chem. 1989. V. 28. P. 2968. https://doi.org/10.1021/ic00314a019
- Hendrickson D.N., Pierpont C.G. // Top. Curr. Chem. 2004. V. 234. P. 63. https://doi.org/10.1007/b95413
- Jung O.-S., Pierpont C.G. // J. Am. Chem. Soc. 1994. V. 116. P. 1127. https://doi.org/10.1021/ja00082a043
Supplementary files










